Figure 1.

Figure 2.

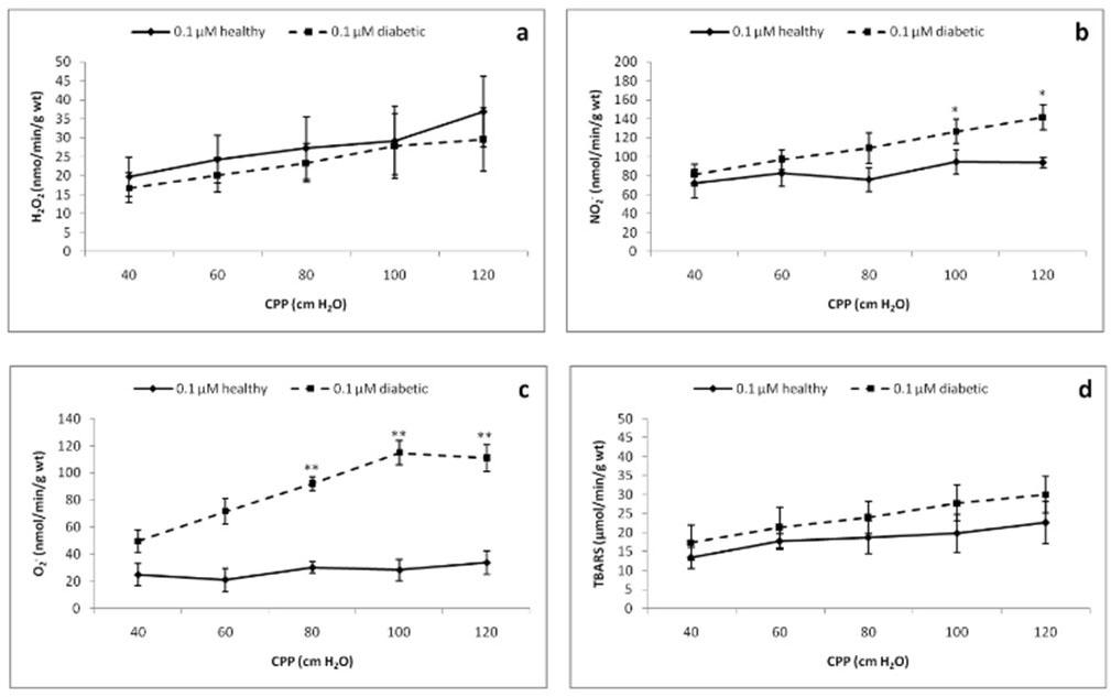
Figure 3.

Figure 4.

Percentage of reduction or increase in the each of the parameters of oxidative stress in healthy and diabetic rats treated with different spironolactone doses_
| 40 cmH2O | 60 cmH2O | 80 cmH2O | 100 cmH2O | 120 cmH2O | ||
|---|---|---|---|---|---|---|
| H2O2 | 0.1 μM spironolactone healthy vs. control | +20.49 | +1.34 | +1.30 | −7.57 | 0.00 |
| 3 μM spironolactone healthy vs. control | +11.12 | −3.88 | +0.79 | −12.62 | +9.40 | |
| 0.1 μM spironolactone diabetic vs. diabetic | −0.12 | −11.62 | −0.28 | +8.73 | −8.08 | |
| 3 μM spironolactone diabetic vs. diabetic | −12.22 | −33.73 | −37.84 | −20.12 | −43.83 | |
| NO2− | 0.1 μM spironolactone healthy vs. control | +13.69 | −10.83 | −20.12 | −19.92 | −31.26 |
| 3 μM spironolactone healthy vs. control | −2.03 | −13.64 | −0.36 | −4.74 | +0.90 | |
| 0.1 μM spironolactone diabetic vs. diabetic | +4.12 | −6.74 | −4.91 | +1.26 | −0.98 | |
| 3 μM spironolactone diabetic vs. diabetic | −3.46 | −11.98 | −14.09 | −9.54 | −11.25 | |
| O2− | 0.1 μM spironolactone healthy vs. control | +5.55 | −53.58 | −14.75 | +41.34 | −16.96 |
| 3 μM spironolactone healthy vs. control | +16.83 | −6.04 | −16.97 | −20.30 | −11.92 | |
| 0.1 μM spironolactone diabetic vs. diabetic | −21.85 | −3.80 | +32.66 | +19.34 | +67.14 | |
| 3 μM spironolactone diabetic vs. diabetic | +6.31 | −32.84 | −25.24 | −15.17 | −46.94 | |
| TBARS | 0.1 μM spironolactone healthy vs. control | +7.85 | +1.32 | −6.91 | −10.89 | −9.93 |
| 3 μM spironolactone healthy vs. control | +7.64 | +5.60 | +27.74 | +28.50 | +31.63 | |
| 0.1 μM spironolactone diabetic vs. diabetic | +5.25 | −6.02 | −7.06 | +0.60 | −3.87 | |
| 3 μM spironolactone diabetic vs. diabetic | −13.61 | −48.17 | −49.53 | −46.99 | −47.15 | |