Studies concerning the assessment of properties of dump soils have been conducted in Poland since the 1960s (Dmitruk, 1965; Borecka, 2006). A dump soil is a specific anthropogenic soil with a very diverse structure and properties (Hungr et al., 2002; Borecka & Rybicki, 2004; Borecka, 2007; Azam et al., 2009; Drągowski, 2010; Bagińska et al., 2016; Bishwal et al., 2017). The process of forming the properties of a dump soil can be divided into three stages: excavation, transport and dumping (Borecka, 2006, 2007; Bagińska et al., 2017). A heterogeneous soil deposited within the waste dump is subject to further processes: consolidation, compaction and creeping (Bagińska et al., 2017). These processes are long lasting and may change the structure and properties of a dump soil over the years (Rybicki & Woźniak, 2010).
The main natural hazards in opencast mines include slope landslides (Fityus et al., 2008; Jakóbczyk et al., 2015; Bednarczyk, 2019). This is largely the case for slopes of waste dumps whose landslides directly threaten people and may cause major economic losses (Hungr et al., 2002; Kasmer et al., 2006; Poulsen et al., 2014; Behera et al., 2016; Rada & Faur, 2019). Proper recognition of the geotechnical parameters of a dump soil has a huge impact on the assessment of stability and, consequently, the way of designing and constructing the slopes of waste dumps (Borecka & Rybicki, 2004; Lazăr at al., 2012; Roy et al., 2014; Pells, 2016; Steiakakis et al., 2016). The assessment of landslide hazards is a dynamic process that requires continuous verification of geotechnical conditions in particular time periods (Flisiak et al., 2014).
The dumping of lignite in the Turów open-pit mine (Europe, Poland) has been taking place since 2006 only on the inside of the exploited part of the excavation (Sondaj & Mrówczyńska, 2012). The soil material from the overburden of the lignite deposit is mainly tipped in the northern and north-western parts of the excavation. About 40–45 million m3 of overburden is removed annually. The dumping takes place on several levels with a height of 15–35 m and a general inclination angle of the waste dump of 7.5°. The width of the levels is very diverse and ranges from several dozen to several hundred metres. The waste dump covers an area of more than 12 km2.
The soil material is deposited on the waste dump, which is a mixture of subsoils occurring in the overburden of the lignite deposit. The dumped soil is a mixture of cohesive soils, represented by clays with different gravel and sand contents and admixture of lignite. Both quantitative and spatial distributions of soil in the waste dump are typically random (Borecka, 2006; Drągowski, 2010; Bagińska et al., 2018), which makes the material problematic in geotechnical design (Borecka, 2007; Steiakakis at al., 2009; Bagińska et al., 2016; Bishwal et al., 2017).
This is the first research carried out on such a large scale on the properties of soil from the internal waste dump in the Turów open-pit mine. More than 20 boreholes are planned to be drilled with samples collected up to a depth of over 100 m. Previous research on the properties of the dump soil has concerned the material deposited on the external waste dump (Rybicki et al., 1999; Borecka & Rybicki, 2004; Borecka, 2006). The structure of the external waste dump differs significantly from the structure of the internal waste dump. The external waste dump is an embankment piled on a hill, whereas the internal waste dump is an earthwork structure formed on the inside slopes of the mine. Despite the formation of a cone of depression, groundwater flows into the internal waste dump, which has an impact on consolidation and the shaping of dump soil properties in the internal waste dump. This article concerns the assessment of selected properties of the dump soil collected from the first six test boreholes of the internal waste dump.
Laboratory tests were carried out on dump soil collected from six test boreholes. The boreholes were located in different parts and at different heights of the internal waste dump. Their locations correspond to the cross sections determined for the waste dump.
Drilling was performed by the geotechnical services of the mine. Research material was collected from different depths (Table 1) and delivered successively to the laboratory. For technological reasons, samples were collected every 2–4 m using thin-walled sampling probes. Soil samples were collected in accordance with standard PN-EN 1997-2:2009 for sampling category A. Bearing in mind technological and economic considerations, the depth from which samples were collected was selected in such a way so as to collect material representing the full profile of dump soils in the waste dump.
General information on the samples.
| Borehole | Depth range [m] | Number of samples |
|---|---|---|
| GTO-9 | 61.0–99.0 | 14 |
| GTO-1 | 10.0–38.5 | 11 |
| GTO-2 | 40.0–72.0 | 10 |
| GTO-5 | 56.4–93.0 | 16 |
| GTO-3 | 21.0–62.3 | 13 |
| HSdr-14D | 23.0–46.6 | 8 |
In the case of several samples, there was an evident change in the soil type depending on the depth from which the sample was collected. In total, 78 samples were tested, from which 480 specimens were selected. The research of the dump soil concerned the consistency, water content, bulk density, cohesion and angle of internal friction.
Classification of dump soils and the assessment of their consistency were performed using macroscopic methods (PN-EN ISO 14688-1:2018-05). In preliminary studies (GTO-9), the macroscopic evaluation of soil consistency often did not correspond to that calculated on the basis of laboratory tests of Atterberg limits and water content. The liquidity index of the dump soil under laboratory conditions is difficult to determine due to great difficulties in selecting a representative portion of soil from the samples. This is related to the local variability of the properties of the dump soil even within a single sample (Rybicki et al., 1999; Borecka & Rybicki, 2004; Borecka, 2006). Additionally, there are several types of clay in the dump soil and their share is highly diversified (Fig. 1c).

View of the dump soil samples: (a) after extracting from Shelby tube (∅ ∅70 mm), (b) after extracting from PVC tube (∅ ∅100 mm) and (c) cross sections.
The water content of soil (w) was determined both before and after the strength tests (PN-EN ISO 17892-1:2015-02). The bulk density of soil (ρ) was determined on regular specimens intended for strength tests (PN-EN ISO 17892-2:2015-02).
For strength tests, due to the very specific soil material, sets of tools for cutting out specimens were constructed. Specimens with a diameter of d = 38 mm were cut out from a properly prepared and secured soil sample with thin-walled samplers. After removal from the sampler, the specimen was cut to the height of h = 76 mm (h/d = 2).
All strength tests were performed in a triaxial testing apparatus and were carried out using the unconsolidated undrained (UU) method (PN-EN ISO 17892-8:2018-05). The water content in the specimen was maintained at a constant level. During the test, the water pressure in the pores of the soil u was measured. The tests were carried out for six pressures: σ3 = 100, 200, 300, 400, 500 and 600 kPa. The velocity of the axial displacement (shear velocity vs) was 0.05 mm/min. On the basis of triaxial tests, for total stresses σ1 and σ3, the angle of internal friction ϕu and cohesion cu of the tested soils were determined.
The strength parameters of the tested soils were calculated using the equation (Das, 2008): q = m + p · tan α, where
The large heterogeneity of soil material along and across the samples was confirmed (Borecka & Rybicki, 2004; Borecka, 2006; 2007). This was manifested by the presence of lumps and crumbs differing in lithology, colour and content of organic substance next to each other (Fig. 1).
Depending on the type, the tested soils were divided into two groups:
- –
A: clay with differentiated content of lignite;
- –
B: clay with admixture of sand and gravel and with differentiated content of lignite.
The majority of the tested material had a stiff consistency (51.2%). The percentage share of soils with firm consistency was 21.9%, very stiff consistency 17.5% and soft consistency 9.4%.
Both soils in groups A and B were characterised by different types of consistency. Therefore, for further analysis, the soil was divided into eight groups:
- –
A-1, B-1: soft consistency;
- –
A-2, B-2: firm consistency;
- –
A-3, B-3: stiff consistency;
- –
A-4, B-4: very stiff consistency.
The water content of the tested soils varies in a wide range from 10.08% to 44.46% and amounts to 24.03% on average, with a standard deviation of 6.64%. The heterogeneity of water content is linked not only to the diversity of the soil type and consistency but also to the different contents of organic material (Fig. 2). The organic material (lignite) contained in the samples will always overestimate the overall water content of the tested soil. The water content of “clean” lignite crumbs was in the wide range of 52%–131%. Probably, that is why the changes in the consistency of the dump soil are not accompanied by a clear change in its water content (Table 2).

Histogram of the dump soil water content distribution.
Results of water content tests of the dump soil in particular soil groups.
| Dump soil group | Average [%] | Standard deviation [%] | Minimum [%] | Maximum [%] | Number of specimens |
|---|---|---|---|---|---|
| A-1 | 25.45 | 2.65 | 20.25 | 30.75 | 27 |
| A-2 | 26.87 | 7.05 | 17.64 | 40.30 | 71 |
| A-3 | 25.99 | 7.40 | 13.64 | 44.46 | 155 |
| A-4 | 25.50 | 5.21 | 15.90 | 37.81 | 45 |
| B-1 | 22.41 | 4.85 | 16.21 | 34.02 | 18 |
| B-2 | 21.99 | 5.55 | 16.55 | 38.17 | 34 |
| B-3 | 21.37 | 4.13 | 11.85 | 29.22 | 91 |
| B-4 | 17.10 | 4.65 | 10.08 | 31.69 | 39 |
For particular groups of dump soils, the results of the water content tests are collected in Table 2. The heterogeneity of soil water content is also visible in particular soil groups (Fig. 3).

Histograms of water content distribution of the dump soil in particular groups.
The bulk density of the dump soil ranged from 1.53 to 2.23×10−3 kg/m3, and its average value for the whole set of specimens was 1.97×10−3 kg/m3 (standard deviation 0.14×10−3 kg/m3). As in the case of water content, the bulk density is not homogeneous (Fig. 4), in addition to the type of soil and its consistency, a differentiated admixture of lignite with a bulk density (1.12–1.41×10−3 kg/m3) lower than the bulk density of clay is significant.

Histogram of the dump soil bulk density distribution.
For particular groups of dump soils, the results of bulk density are collected in Table 3. The heterogeneity of the bulk density of the soil is also visible in particular soil groups (Fig. 5).
Results of bulk density tests of the dump soil in particular soil groups.
| Dump soil group | Average [10−3 kg/m3] | Standard deviation [10−3 kg/m3] | Minimum [10−3 kg/m3] | Maximum [10−3 kg/m3] | Number of specimens |
|---|---|---|---|---|---|
| A-1 | 2.05 | 0.06 | 1.87 | 2.13 | 27 |
| A-2 | 1.94 | 0.14 | 1.71 | 2.15 | 71 |
| A-3 | 1.94 | 0.15 | 1.53 | 2.19 | 155 |
| A-4 | 1.92 | 0.13 | 1.66 | 2.14 | 45 |
| B-1 | 2.01 | 0.09 | 1.85 | 2.21 | 18 |
| B-2 | 1.98 | 0.13 | 1.68 | 2.12 | 34 |
| B-3 | 1.98 | 0.12 | 1.67 | 2.19 | 91 |
| B-4 | 2.10 | 0.11 | 1.79 | 2.23 | 39 |

Histograms of bulk density distribution of the dump soil in particular groups.
The variability of the water content of the dump soils is random and does not depend on depth (Fig. 6a). Therefore, it should be assumed that bulk density will increase with depth. Unfortunately, this is not reflected in the results obtained (Fig. 6b). The variability of the consistency of the dump soils is random as well and does not depend on depth (Fig. 6). This random variability is observed both in individual boreholes and in the entire population. However, there is a clear correlation between an increase in bulk density and a decrease in water content of the dump soils (Fig. 7).

Changes in the average water content, bulk density and consistency of the dump soil for particular sections of the samples.

Correlation between bulk density and water content of dump soils.
The heterogeneity of the dump soil was the main reason for the difficulties in interpretation of the results of the strength tests. In principle, each soil specimen prepared for the strength tests was not similar to another specimen.
The larger the volume of the soil specimen, the greater its internal heterogeneity. On the other hand, the use of specimens of the largest possible volume provides an opportunity to take into account the impact of real heterogeneity on the results of the study (Rybicki et al., 1999). Preparing 50 mm specimens from 70 and 100 mm samples significantly reduces the number of specimens from a single test. The interpretation of the research results for a group of three specimens prepared from one test of a dump soil in many cases does not offer an opportunity to obtain reliable results (Borecka & Rybicki, 2004; Borecka, 2006).
To minimise internal heterogeneity, the strength test specimens were 38 mm in diameter and 76 mm in height. Cutting specimens with a diameter of 38 mm made it possible to prepare quasi-homogeneous specimens within a given sample (same type of material and same consistency). From one sample, 5–14 (on average, 6) specimens were prepared, which had a significant impact on the interpretation of the results.
Soil specimens of soft and firm consistency (A-1, A-2, B-1 and B-2) deformed plastically (“barrels”) without a significant decrease in deviation stress with an increase in deformation (Figs. 8 and 9).

Illustration of the results of strength tests of soil of soft consistency (A-1 and B-1) from one sample.

Illustration of the results of strength tests of soil of firm consistency (A-2 and B-2) from one sample.
The destruction of soil specimens of stiff consistency (A-3 and B-3) took place on slip surfaces, but with significant plastic deformation of the specimens and without a significant decrease in deviation stress with an increase in deformation (Fig. 10). Occasionally, the specimens were destroyed with a significant decrease in deviation stress.

Illustration of the results of strength tests of soil of stiff consistency (A-3 and B-3) from one sample.
The destruction of soil specimens of very stiff consistency (A-4 and B-4) took place on slip surfaces. Some specimens were destroyed without a clear decrease in the deviation stress as the strain increased, while others were destroyed with a clear decrease. The method of destruction of the specimens was random and did not depend on the pressure σ3 (Fig. 11).

Illustration of the results of strength tests of soil of very stiff consistency (A-4 and B-4) from one sample.
The results of the strength tests for particular groups of dump soil are presented in Figures 12–19 and in Table 4.

Result of strength tests for soil A-1.

Result of strength tests for soil A-2.

Result of strength tests for soil A-3.

Result of strength tests for soil A-4.

Result of strength tests for soil B-1.

Result of strength tests for soil B-2.

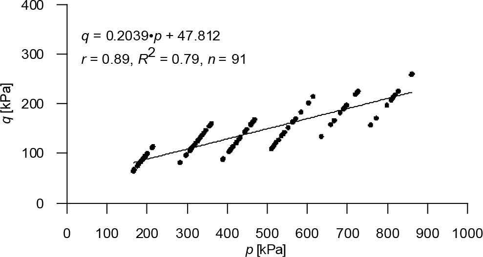
Result of strength tests for soil B-3.

Result of strength tests for soil B-4.
Result of strength tests.
| Dump soil group | Cohesion [kPa] | Angle of internal friction [°] | Number of samples/specimens | ||||
|---|---|---|---|---|---|---|---|
| cu | Min | Max | ϕu | Min | Max | ||
| A-1 | 23.19 | 12.18 | 37.23 | 2.75 | 1.00 | 3.95 | 6/27 |
| A-2 | 46.66 | 38.98 | 61.65 | 3.71 | 2.11 | 5.43 | 11/71 |
| A-3 | 73.25 | 50.76 | 109.61 | 5.22 | 1.61 | 8.15 | 25/155 |
| A-4 | 89.51 | 68.91 | 142.60 | 6.89 | 2.50 | 7.83 | 6/45 |
| B-1 | 12.07 | 5.81 | 19.49 | 3.90 | 3.40 | 4.37 | 4/18 |
| B-2 | 33.24 | 17.54 | 58.71 | 6.98 | 4.38 | 7.60 | 7/34 |
| B-3 | 48.84 | 27.62 | 93.71 | 11.60 | 5.51 | 12.91 | 13/91 |
| B-4 | 111.42 | 85.50 | 145.41 | 12.23 | 10.00 | 13.41 | 6/39 |
Correlations on the basis of which the selected mechanical characteristics of the dump soil were determined are high (0.5 < r ≤ 0.7) for soil A-3, very high (0.7 < r ≤ 0.9) for soils A-1, A-2, A-4, B-1, B-2 and B-3 and almost complete (0.9 < r ≤ 1.0) for soil B-4. Critical values of linear correlation coefficients r*0.05 at the level of significance 0.05 for all soil groups are significantly lower than the obtained values of linear correlation coefficients r (e.g. B-1, n = 18, r = 0.82, r*0.05(18) = 0.468; A-3, n = 155, r = 0.63, r*0.05(155) < 0.19). Correlations should be considered statistically significant.
The obtained results characterise well the average values of the selected mechanical properties of the dump soil divided into type and consistency of the soil. However, in most cases, the disparity of results of cohesion and angle of internal friction is large (Table 4). The large dispersion of results is mainly due to the heterogeneity of the dump soil. Considerable differences in real shear strength should be taken into account for particular samples classified in the same group of dump soils – for example, group A-3 (Fig. 20): cu(min) = 50.76 kPa, cu(max) = 109.61 kPa, ϕu(min) = 1.61° and ϕu(max) = 8.15°.

The disparity of results of cohesion and angle of internal friction for soil A-3.
The heterogeneity of the dump soil is reflected in the obtained results and makes it very difficult to interpret the results of physical and mechanical properties.
Comparison of the results of the properties of the external waste dump (Rybicki et al., 1999; Borecka & Rybicki, 2004; Borecka, 2006) with the results presented in this article can only be approximate. In 2006, the standards for soil classification and macroscopic examination changed. Additionally, different specimen sizes were used in strength and bulk density tests.
In principle, the evaluation of the consistency of dump soils is possible only on the basis of macroscopic tests as it is very difficult to select a representative sample for laboratory tests. This is related to the local variability of the properties of the dump soil even within a single sample. Moreover, there are several types of clay itself and its share is highly diversified. Therefore, macroscopic examinations were the basic method used to classify and evaluate the consistency of the tested dump soils. When profiling boreholes on the waste dump, it will also be more convenient to rely on macroscopic evaluation and assign laboratory tests a supporting and controlling function only.
In the internal waste dump, compared to the external waste dump, the share of soils with soft and firm consistency is higher and the share of soils with stiff consistency is lower. In both waste dumps, the variability of the consistency of dump soils is random and does not depend on depth.
The water content and bulk density of dump soils are very heterogeneous. They are related not only to the varied composition and consistency of the soil but also to the random content of organic material (lignite). The heterogeneity of water content and bulk density is observed in the whole population as well as in individual separated groups of dump soils. Particles of organic material accidentally contained in the soil overestimated the water content and underestimated the bulk density of the soil samples. Probably, that is why the changes in the consistency of the dump soil are not accompanied by a clear change in its water content. However, there is a clear correlation between an increase in the bulk density and a decrease in the water content of the dump soils.
The differences in water content and bulk density of soils from the external and internal waste dumps reach several percentages. In the case of both waste dumps, the variability of water content and bulk density of the dump soils is random and does not depend on depth.
Bearing in mind the heterogeneity of the tested material, a high convergence of the assessment of shear strength for total stresses may seem surprising. This allows for estimating these properties only on the basis of macroscopic analysis of the soil. However, when making such estimates, significant disparities in the obtained results of cohesion and angle of internal friction should be taken into account.
The differences in shear strength for total stresses between the external and internal waste dump soils reach several percentages. The soil from the internal waste dump, compared to the soil from the external waste dump, is characterised by a lower angle of internal friction with similar firm consistency and higher stiff consistency values of cohesion.
The creation of sufficiently rich databases concerning the properties of dumping materials (e.g. for cohesive soils divided by type and consistency) can significantly facilitate the design of day-to-day operations and future land reclamation.