A saturated non-cohesive soil can exhibit features typical of both solid or liquid phases, depending on circumstances or the history of loading. Fully drained or saturated sands can be characterised by parameters typical of solids, such as elasticity, plasticity, high shear strength or viscosity. This kind of behaviour is described by the corresponding constitutive relation, that is, elasticity, plasticity or limit state theory. The classical geotechnical literature on the modelling of soils and soil–structure interactions within the range of the limit state is rich [e.g.10, 50].
One of the main aspects of sand modelling is the description of the stress–strain behaviour. The literature presents some simplified methods based on the theory of elasticity, see for example [17]. These methods, however, are insufficient and out of date. Therefore, scientists have begun to develop more sophisticated models such as the theory of elasticity and plasticity [28], hypoplasticity [54] or hyper plasticity, refer to [52, 53]. Many of these models have been developed recently, see for example [1, 19]. Recent studies on deformation modelling and soil stability are described in [6, 7] (bounding surface plasticity); [11, 21] (generalised plasticity); [43,44,45,46] (fractional plasticity); [5, 18] (thermomechanical approach); and [20] (Discrete Element Method). However, the bearing capacity of the subsoil is still one of the main problems for engineers and much attention should, therefore, be paid to this issue. The models currently used in geotechnical engineering are usually very comprehensive and numerically extensive. The most popular of them include the Hardening Soil Model, [2], the Cam-Clay Model, [49] or the Nor-Sand Model, [14]. There are also many other models that aim to describe pre-failure soil behaviour, but all of them are still in the development phase.
This article deals with a new approach to the modelling of pre-failure deformations of soils. The basic constitutive equations were first proposed by Sawicki and Świdziński in [30] and further developed in [39,40,41]. A large set of experimental data for Gdynia sand needed to calibrate the model can be found in [34]. The structure, calibration and predictions of this model, corresponding to complex loading paths for Skarpa sand, are presented in greater detail in [40, 41]. The model describes the behaviour of granular sand, such as deformations or liquefaction, before sand reaches a limit state. Constitutive equations are proposed for an accurate description of the behaviour of sand in two cases: drained (saturated and fully drained) and undrained conditions.
The constitutive equations proposed here have a semi-empirical form. Similar to hypoplasticity, the incremental model does not rely on ideas associated with elasticity and plasticity (e.g. the yield surface) and does not assume decomposition of deformation into elastic and plastic. The model is based only on the concepts of loading and unloading (which are built into the structure of equations) and on material constants introduced.
The model has a simple mathematical structure and is based on a solid empirical foundation. The set of data used to calibrate the model can be obtained from standard triaxial investigations. Furthermore, the model has the form of several incremental equations and is capable of describing volumetric and deviatoric deformations of granular soil as a function of invariants: mean effective stress and deviator stress. The invariant form of the equations makes it possible to extend the model to 3D conditions, see [31, 35, 36]. A verification of this model based on plane strain tests is presented in [38, 42].
Although the original model gives good predictions for many complex triaxial tests, its authors suggested the algorithmisation of the model and a clear definition of only one form of equations. In the latest version of the Sawicki and Świdziński model [40, 41], predictions sometimes depend on the value of deviator increments and, at other times, on the value of quotient increase. In general, there is no rule when particular equations should be used, and only experimental verification can determine which increase is important. The first attempt to solve this problem was made in [37], but a closed form of the model has not been proposed.
A brief literature review, summarising the development of this model, leads to the conclusion that there is a need to propose one form of general equations that will make it possible to algorithmise this model and thus clearly formulate definitions of deviatoric loading and unloading. This article proposes consistent definitions of deviatoric loading and unloading, one general form of incremental equations, predictions of the model for complex stress paths and application of the algorithmised model to determine the soil stability in Hill’s criterion. Experimental tests necessary for the calibration of the model were carried out and base functions were redefined.
The results presented in this article are based on experiments carried out in a classical triaxial apparatus manufactured by GDS Instruments [see 25, 47]. Vertical and lateral local displacements are measured by special gauges, which use the Hall effect. The gauges are installed directly on the sand sample. Vertical stress is controlled by moving the table on which the sample is placed, and lateral stresses are applied through the water pressure in the chamber. In the case of saturated or fully drained samples, the pore pressure and volume of water in the sample are read from a pneumatic controller. Figure 1 presents the preparation of a sample for testing.

Sand sample preparation for testing with gauges installed (photo by W. Świdziński).
The whole system for triaxial testing consists of a tri-axial chamber, three pressure/volume controllers, an electronic control system and a computer. The apparatus has a Bishop and Wesley chamber [see 3] with a built-in force sensor and a lower load cell, which imposes a vertical load on the sample. The table is moved by increasing the pressure in the lower load cell. With a rigid piston in the upper part of the chamber, a vertical compression force is generated.
The controllers are used for controlling the pressure in the main chamber of the apparatus, for controlling the load in the lower cell and for measuring the pore pressure in the sand sample. They can operate in a pressure change mode or a water volume change mode, so it is possible to perform stress- or strain-controlled tests.
This article presents the results of experiments performed on samples with a diameter of 38 mm and a height of 80 mm. It is important to ensure the homogeneity of the soil sample when it is being formed. The soil samples were prepared in a membrane-lined split moulder. Loose samples were formed by the moist tamping method and dense samples by water pluviation.
All experiments presented in this article were performed on coarse quartz Skarpa sand characterised by the following parameters: mean particle size D50 = 0.42 mm, uniformity coefficient U = 2.5, minimum void ratio emin = 0.432, maximum void ratio emax = 0.677, angle of internal friction for loose/dense sand = 34°/41°. In all analyses, the soil mechanics sign convention is applied, in which compression is positive.
The original incremental model proposed by Sawicki and Świdziński [40, 41] has the form of semi-empirical incremental equations and describes the deformation of soils before the limit state is reached. The equations are given as follows:
The functions M, N, P, Q are determined from analytical approximations of selected experimental results [see 40]. The definitions of loading and unloading assumed in this model are the following:
In Sawicki’s original model, the signs of dq or dη determine whether loading or unloading is applied (Eqs. 5 and 6), but this generally leads to contradictions. One has to consider the sign of dη, because the information on the sign of dq is not sufficient to clearly determine whether loading or unloading is applied, which is shown by predictions for stress paths for q = const. Therefore, to definite deviatoric loading and unloading, it was necessary to include a condition in which the sign of dη is specified. When this fact is taken into account, the model gives good predictions of soil deformations corresponding to the stress path for q = const or stress paths characteristic of the liquefaction phenomenon [see 41]. However, such definitions lead to some contradictions, and there is a part of the stress plane in which whether the case considered represents deviatoric loading or unloading is unknown. To prove it, let us consider a stress path originating at a point K in the p′ − q space located within the grey zone in Figure 2 – for example, the path KL. It is evident that the path KL can be described by conditions dq > 0 and dη < 0. Therefore, in this case, conditions (5) and (6) are unclear, and the kind of loading cannot be clearly defined. Consequently, it is unclear how precisely to build equations (1) and (2). In Sawicki’ s model, this problem is solved experimentally. It is simply checked, which sign (dq or dη) results in a better prediction. However, with this approach, the model still cannot be algorithmised, and, therefore, the present authors propose new definitions of deviatoric loading and unloading and, hence, a modification of the main equations.

The stress plane p′ − q with a grey zone in which the definitions of deviatoric loading and unloading are unclear.
The revised definitions have the following forms:
The functions M, N, P, Q are determined from analytical approximations of selected experimental results. However, their forms are different from those of M, N, P, Q in Eqs. (1) and (2). The basic stress paths that are needed to determine these functions are different too.
To illustrate the physical meaning of the variable η, the possible directions and signs of its increments are shown in the p′ − η plane in Figure 3. The proposed incremental equations (12) and (13) are built based on the p′ and η invariants, and, therefore, this space is used in the description. When the stress path is defined by the condition dη > 0, the soil is approaching the limit state. The condition dη < 0 means that the soil is ‘moving away’ from collapse, whereas at a constant η, the soil is stable.

The meaning of the variable η and the sign of dη.
The following units are adopted in the model: 105 N/m2, corresponding to 100 kPa, for stress and 10−3, corresponding to 0.1%, for strain. The values of all stresses and strains used in the proposed model follow this convention, and the experimental data are presented in these units.
In the modified equations, the functions M, P correspond to deformations for the stress paths η = const, whereas the functions N, Q correspond to deformations for p′ = const. In each of the functions M, N, P, Q, a distinction has to be made regarding the sign of dp′ and dη, which results in two types of each function. The upper indices l and u correspond, respectively, to loading and unloading. The definitions of these functions are the following:
To effectively describe the results of experiments and to determine the functions M, N, P, Q, the idea of a ‘common’ curve is adopted, see [40]. To obtain the functions M, P, a series of experiments for different slopes of the stress paths OA and AO are conducted by the authors. The experiments are performed for two cases, namely, for contractive and dilative ‘Skarpa’ sands. Both these states of soil are defined by the position with respect to the steady-state line, see [40].
To investigate the behaviour of contractive soil and to determine volumetric and deviatoric strains, experiments in a triaxial apparatus are performed for a set of different stress paths for η = const. Each test consists of two phases. In the first stage, the soil sample is subjected to anisotropic compression through the confining pressure, so, in this case, the mean effective stress p′ increases, and the specimen is subjected to pure spherical loading (OA path). In the second phase, a return path is applied, with the same value η = const and a decreasing p′ (AO path). Therefore, the sample is subjected to pure spherical unloading. In this way, the soil behaviour during single loading–unloading loop is tested. Thus a series of experiments are performed to analytically determine the functions Ml, Pl, Mu, Pu describing the behaviour of volumetric and deviatoric strains.
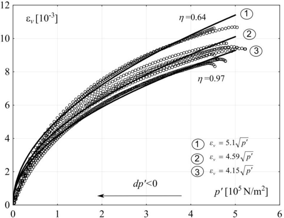
Figure 4 shows the stress paths tested. Figure 5 shows the development of volumetric strain corresponding to contractive soil behaviour for each stress path in Figure 4 for spherical loading paths. Figure 6 shows the development of volumetric strain for spherical unloading paths. Table 1 presents a list of experiments performed on contractive sand samples and their results for a single spherical loading–unloading loop.

Stress paths η = const used for the calibration of the incremental model.

Experimental results and an approximation curve for volumetric strain that develops during anisotropic consolidation of contractive sand.

Experimental results and an approximation curve for volumetric strain that develops in contractive sand for various stress paths η = const when dp′ < 0.
List of experiments performed on contractive sand samples and the corresponding results for a single spherical loading–unloading loop.
| Test | η = const | dp′ > 0 | dp′ < 0 | ||
|---|---|---|---|---|---|
| LH75d | η = 0.64 | 0.077 | 10.75 | 0.239 | 5.10 |
| LH77d | η = 0.97 | 0.146 | 8.82 | 0.280 | 4.15 |
| LH79d | η = 0.44 | 0.23 | 8.69 | 0.356 | 5.07 |
| LH80d | η = 1.12 | 0.113 | 9.02 | 0.248 | 4.17 |
| LH81d | η = 1.27 | 0.082 | 10.26 | 0.204 | 4.49 |
| LH81dd | η = 1.22 | 0.057 | 10.42 | 0.201 | 4.45 |
| LH82d | η = 0.23 | 0.094 | 8.3 | 0.181 | 4.54 |
| LH84d | η = 0 | 0.056 | 8.4 | 0.178 | 4.72 |
Figure 5 shows the experimental results and an analytical fit. An analytical approximation of these curves can be described using the following formula:
Numbers 1 and 3 in Figure 5 denote a limit and an analytical approximation of experimental results, and number 2 denotes an averaged approximation of all approximations, whose equations for each test are given in Table 1. The limit values of the coefficient Av are 8.3 and 10.75, whereas the average value is 9.33. In order to formulate the function Ml, it was assumed that its character does not depend on the value of η.
Similarly, analytical approximations corresponding to spherical unloading are presented in Figure 6 and described in detail in Table 1. The boundary values of the coefficient
The averaged approximation is
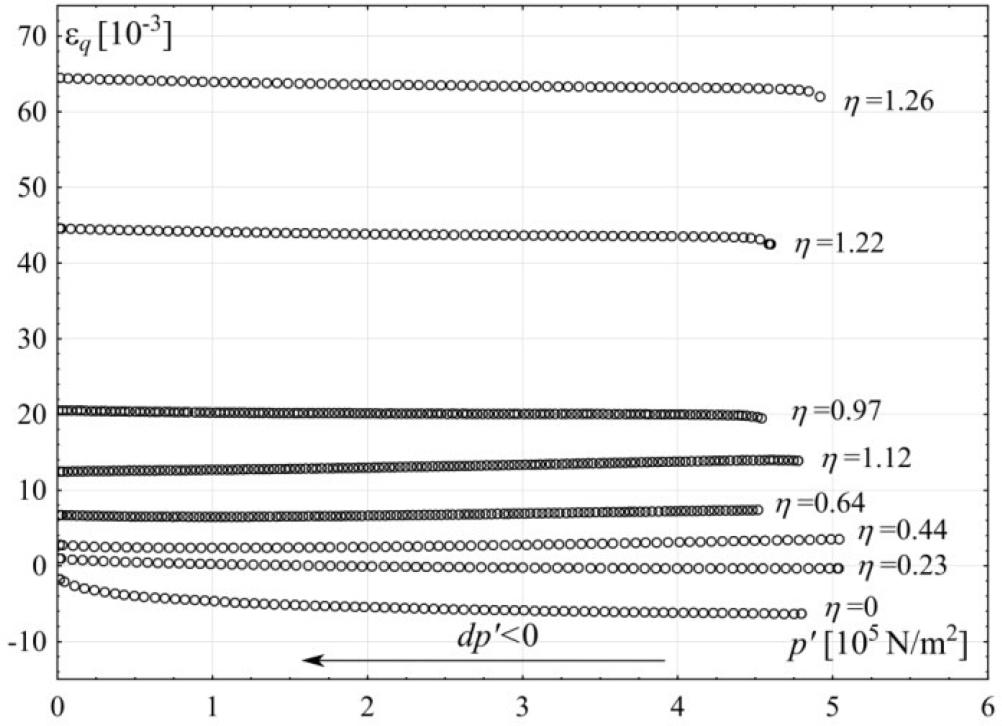
To determine the functions Pl and Pu, it is necessary to introduce a ‘common’ curve to approximate experimental results describing the development of deviatoric strains. To determine the function Pl for the set of experimental results presented in Figure 7, the following steps need to be performed. An analytical approximation of the experimental data can be defined using the following formula:

Experimental results and an approximation of deviatoric strain that develops in contractive sand for stress paths η = const when dp′ > 0.
Figure 7 shows that each stress–strain relation can be approximated with very good accuracy. The data presented correspond to stress paths given in Figure 6. In Figure 7, on the right side of each set of experimental data, the corresponding η value is shown. Table 2 presents the values of the parameter Aq corresponding to the selected stress path and the initial relative density of soil samples.
Series of experiments performed to calibrate the model for contractive sand.
| Test | η = const | First phase: dp′ > 0 | |
|---|---|---|---|
| Aq | |||
| LH75d | η = 0.64 | 0.077 | 2.94 |
| LH77d | η = 0.97 | 0.146 | 6 |
| LH79d | η = 0.44 | 0.23 | 1.3 |
| LH80d | η = 1.12 | 0.113 | 9.76 |
| LH81d | η = 1.27 | 0.082 | 28.3 |
| LH81dd | η = 1.22 | 0.057 | 20.2 |
| LH82d | η = 0.23 | 0.094 | 0.21 |
| LH84d | η = 0 | 0.056 | −2.63 |
The coefficient Aq (similar to the coefficient Av for volumetric strain) represents the magnitude of deviatoric strain for a given stress path η = const. The higher the value of Aq, the greater the value of deviatoric strain for the corresponding anisotropic stress path and for a given value of the mean effective stress p′. The greatest value of Aq = 28.3 corresponds to the stress path η = 1.27, whereas the smallest Aq = −2.63 corresponds to the stress path η = 0. Figure 7 and Table 2 present that the value of the coefficient Aq increases monotonically with an increasing value of η.
Figure 8 presents the function Aq (η) obtained from experimental data and its analytical approximation. Aq (η) is given using the following formula:

Relationship Aq (η): experimental results and their analytical approximation for deviatoric strain that develops in contractive sand for stress paths η = const when dp′ > 0.
The curve described using Eq. (24) is a ‘common’ curve containing information about the behaviour of deviatoric strain for every anisotropic consolidation test. Despite the complex behaviour of soil in this case, the approximation contains only two coefficients: a and b.
According to definition (16), the function Pl is defined as
To determine the function Pu, it is necessary to analyse the experimental results given in Figure 9, where η = const. The case considered is spherical unloading. The function Pu describes deviatoric strains, so according to (17), for such a case,

Experimental results for deviatoric strain that develops in contractive for stress paths η = const when dp′ < 0.
The results of experiments needed to determine the functions Nl, Nu, Ql, Qu are presented in [40]. However, the form of these functions is different from that in the original model. According to Eqs. (15) and (17), the functions for contractive Skarpa sand are given as follows:
Similar to contractive sand, a series of experiments are performed to determine the ‘basic functions’ for dilative sand. The qualitative character of the functions Ml, Mu, Pl, Pu is the same as in the previous case, but their quantitative nature is different. Table 3 lists and describes all experiments performed on dilative sand samples.
List of experiments performed on contractive sand samples and the corresponding results for a single spherical loading–unloading loop.
| Test | η = const | First phase: | Second phase: dp′ < 0 | |||
|---|---|---|---|---|---|---|
| Av | Aq | |||||
| SH73d | η = 0.96 | 0.702 | 3.3 | 1 | 0.749 | 2.59 |
| SH75d | η = 1.23 | 0.701 | 3.28 | 2.22 | 0.749 | 3.04 |
| SH76d | η = 0.64 | 0.669 | 3.72 | 0.52 | 0.722 | 3.04 |
| SH77d | η = 0.34 | 0.703 | 3.52 | 0.62 | 0.753 | 2.9 |
| SH78d | η = 0 | 0.701 | 3.45 | 0 | 0.750 | 2.96 |
| SH80d | η = 1.35 | 0.632 | 3.27 | 6.5 | 0.678 | 3.35 |
For the case considered, the average values of the parameters Av and

Relationship Aq (η): experimental results and their analytical approximation for deviatoric strain that develops in dilative sand for stress paths η = const when dp′ > 0.
Similar to that for the contractive sand, it can be seen that the higher the value of Aq, the greater the value of deviatoric strain for the corresponding anisotropic stress path and a given value of the mean effective stress p′. The greatest value of corresponds to the stress path and the smallest value (Aq = 0) corresponds to the stress path η = 0. Figure 10 and Table 3 show that the value of the coefficient increases monotonically with an increase in the value of η. Figure 10 presents the function obtained from experimental data. An analytical approximation of this function is given by
The curve defined using Eq. (34) is a ‘common’ curve containing information about the development of deviatoric strain for every anisotropic consolidation test. Despite the complex response of soil in this case, the approximation function has only one coefficient b.
According to definition (16), the function Pl is
Figure 11 presents the experimental results for pure shearing of dilative sand in the form of a single ‘common’ curve. The function given by Eq. (42) has a simpler form than Eq. (41), as it is characterised by only three coefficients.

Experimental results for pure shearing of dilative sand presented in the form of a single ‘common’ curve.
It should be noted that the behaviour of dilative sand during pure shearing is different from that of contractive sand. For contractive sand, volumetric strain increases in all stages of pure shearing until the sample is destroyed. For dilative sand, volumetric strain increases slightly and then, when the dimensionless stress η reaches η′, it begins to decrease rapidly. Hence, the function Nl for dilative sand is qualitatively different from that for contractive sand (see Eq. 15) and has the following form:
Strains corresponding to any stress path are defined using Eqs. (12) and (13). The information regarding the state of soil (contractive or dilative) is required to use the appropriate set of the functions M, N, P, Q. Table 4 presents all modified functions necessary to build Eqs. (12) and (13). Predictions for complex tests (other than basic stress paths) are always a combination of approximations of the designated M, N, P, Q in accordance with Eqs. (12) and (13).
Functions needed to build the incremental model.
| Function | Average values of coeflcients | |||
|---|---|---|---|---|
| Contractive | Dilative | Contractive | Dilative | |
| Ml | Av = 9.33 | Av = 3.48 | ||
| Pl | a = −0.68 | a = 0 | ||
| b = 9.74 | b = 1.62 | |||
| Nl | c1 = 2.97 | a1 = −0.74 * 10−4 | ||
| a2 = 6.39 | ||||
| a3 = 0.848 | ||||
| Ql | b1 = 0.023 | b1 = 3.5 × 10−4 | ||
| b2 = 6.245 | b2 = 6.648 | |||
| Mu | ||||
| Pu | 0 | - | - | |
| Nu | av = −0.87 | av = −0.39 | ||
| Qu | bq = 0.76 | bq = 0.4 | ||
Let us consider any point V0 in the p′ − η plane and draw two lines p′ = const and η = const running through this point. The plane p′ − η will thus be divided into four regions, see Figure 12. Any stress path starting at the point V0 can be located in one of the regions delimited by the lines p′ = const or η = const. Depending on the region in which it is located, appropriate functions will be used to build Eqs. (12) and (13). In this simple way, the complex behaviour of soil can be described for every linear loading path, focusing especially on deformations, as shown in Figure 12, on stability. The forms of base functions and appropriate coefficients are presented in Table 4.

Diagram illustrating the application of subsequent incremental equations.
In soil mechanics, the loss of stability is defined as a sudden impossibility of transferring loads through the soil, which takes place, for example, during liquefaction. Some literatures describe the differences between instability and strain softening [e.g.4, 22]. Strain softening can be defined as a rapid increase in deformation caused by a small load change occurring in a very short time. The problem of soil stability is discussed in many publications, where it is defined by Hill’s criterion, [8, 9, 24, 27]. Hill’s criterion defines the stability by the sign of the second-order work:
For example, let us consider region III in the p′ − q plane, and, for simplicity of calculations, let us define a linear stress path originating at the point V0 (p′0, q0) (see Figure 12). Every linear path located within the region is defined as a straight line given by the following equation:
Using the functions from Table 4 in Eq. (50), the second-order work for contractive sand is given as follows:
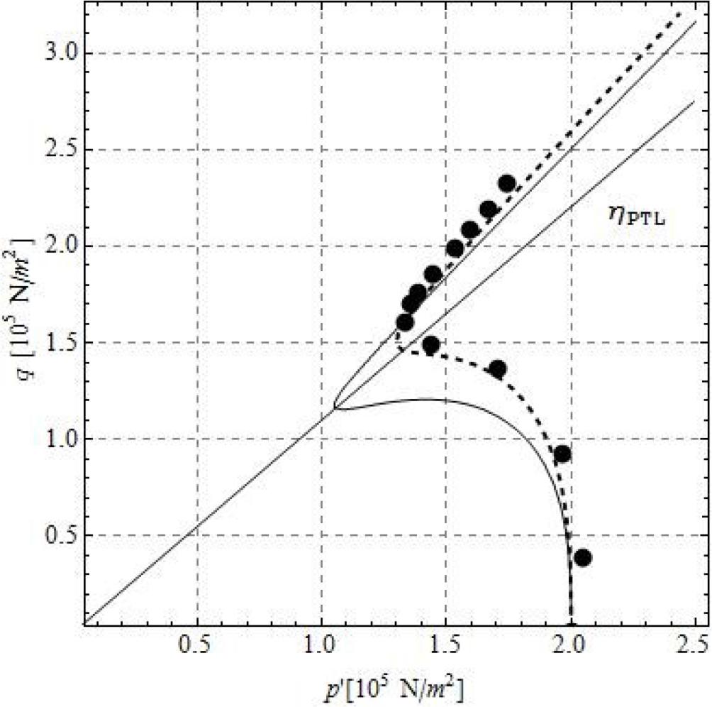
To examine the numerical results of the modified model and to show the unstable behaviour of contractive sand under certain conditions, let us consider three experiments performed in a classical triaxial apparatus. Each experiment is conducted in three stages. First, the soil sample is subjected to isotropic consolidation to 200 kPa. Then, each sample is subjected to pure shearing at different levels of deviatoric stress. Finally, deviatoric stress was kept constant, and the mean effective stress is being reduced. Spherical unloading was performed along three different stress paths described using Eq. (52), where α = 0.5, 1, 1.5 and β = 0, see Figure 13.

Spherical unloading for different initial deviator stress levels.
According to Eqs. (12) and (46), the second-order work for this kind of stress paths has the following form:
Generally, the sign of the function describing the second-order work is the same as the sign of the function describing an increase in volumetric strains. The volumetric strains are given by

Volumetric strains corresponding to different stress paths.
The qualitative agreement with the experimental data is achieved, and the quantitative agreement is sufficient. During the first stage of spherical unloading, dilation takes place and the volume strain decreases. After it reaches the minimum, compaction occurs. The soil loses its stability at the moment when the sign of the volumetric strain increment changes.
The value of η at the moment whenchanges its sign is given as follows:
Saturated soil exhibits traits of a macroscopically solid body. When pore water drainage is prevented, soil can be liquefied, and then it exhibits liquid characteristics. Soil liquefaction is an undesirable phenomenon, often causing catastrophic damage (e.g. buildings sinking in the ground or pipelines being dislodged from the seabed). The phenomenon of liquefaction has been investigated in many monographs, see for example [12, 13, 15, 16, 23, 26, 29, 47].
Undrained conditions can also be investigated in the laboratory, for example, in a triaxial apparatus. First, the sample is isotropically loaded, and then it is sheared under undrained conditions. Only a contractive soil can liquefy. The proposed incremental model can also be used to describe the behaviour of saturated sand under undrained conditions, bearing in mind that liquefied soil behaves like an incompressible body, so it is characterised by a null volumetric strain:
The second-order work defined in terms of stress invariants [see 32] is the following:

Static liquefaction: experimental and numerical results.
The signs of the coefficients b1, b2 and the increment dη are positive, so expression (65) changes sign when dq = 0. Figure 15 shows that q = const only when function (63) reaches an extreme:
The behaviour of sheared dilative sand under undrained conditions is qualitatively different from that of contractive sand. The mean effective stress p′ decreases to the minimum and then starts to increase. The main general description of stresses is given by Eq. (61), and in the case of dilative sand,
Figure 16 shows the experimental and numerical results for an initial mean effective stress of 200 kPa. The continuous line represents the numerical results (see Eq. 69) for the average values of the coefficients (Table 4), whereas the dotted line represents the numerical results for slightly different values of the parameters a2 = 5.8, a3 = 0.6. The empty dots indicate experimental data. A satisfactory qualitative agreement with the experimental data is achieved, and the quantitative agreement for the slightly altered values of the parameters is very good.

The behaviour of dilative sand under undrained conditions: experimental and numerical results.
The equation describing the phase transformation line ηPTL is given as follows:
- a)
The semi-empirical model proposed by Sawicki and Świdziński is modified. A new form of equations that are consistent with the proposed definitions of deviatoric loading and unloading is presented. The necessary base functions have been designed and calibrated based on the experiments. In this way, the model is algorithmised and can predict the behaviour of granular soil for every stress path before the limit state is reached.
- b)
The modified structure of the equations makes them easier to use them and to determine the second-order work for every stress path, and thus to study the stability of sand under both fully drained and undrained conditions. An example of using the modified model to describe stability in Hill’s criterion is presented in the article.
- c)
The qualitative agreement between the numerical and experimental results is very good, and the quantitative agreement for slightly changed values of the parameters is also sufficient. Predictions from the model were obtained for drained and undrained conditions.
- d)
The model proposed here is based on the analysis of experimental data. The structure of equations is simple, so the model can be used to solve practical problems, especially to describe the liquefaction process or the behaviour of dilative sand under undrained conditions (which is also a novel feature in the modified model).