Figure 1

Figure 2

Figure 3

Figure 4

Figure 5

Figure 6

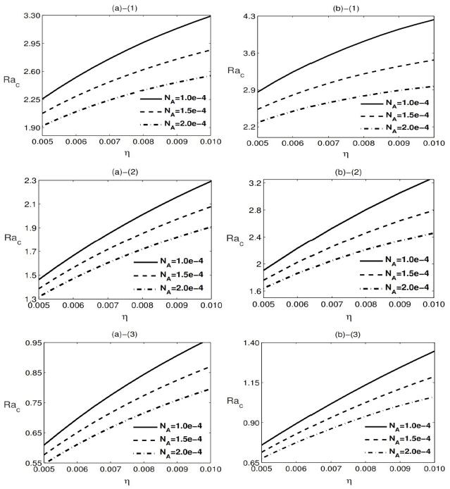
Figure 7

The values of the kc and Rac for three different boundary conditions_
| I_C-I_C | I_C-I_CHF | I_C-F_CHF | ||||||
|---|---|---|---|---|---|---|---|---|
| J | Y | η | kc | Rac | kc | Rac | kc | Rac |
| +1 | 1 | 0.001 | 2.23 | 0.6144 | 1.76 | 0.3656 | 1.35 | 0.1476 |
| 0.004 | 2.18 | 1.9434 | 1.74 | 1.2343 | 1.32 | 0.5100 | ||
| 0.007 | 2.12 | 2.7561 | 1.72 | 1.8437 | 1.29 | 0.7712 | ||
| 0.010 | 2.05 | 3.2883 | 1.70 | 2.2875 | 1.25 | 0.9622 | ||
| 5 | 0.001 | 2.22 | 0.1298 | 1.76 | 0.0761 | 1.36 | 0.0304 | |
| 0.004 | 2.23 | 0.4957 | 1.76 | 0.2934 | 1.35 | 0.1176 | ||
| 0.007 | 2.22 | 0.8236 | 1.76 | 0.4938 | 1.35 | 0.1980 | ||
| 0.001 | 2.22 | 1.1151 | 1.76 | 0.6776 | 1.34 | 0.2717 | ||
| 10 | 0.001 | 2.22 | 0.0653 | 1.76 | 0.0382 | 1.36 | 0.0153 | |
| 0.004 | 2.23 | 0.2549 | 1.76 | 0.1497 | 1.35 | 0.0597 | ||
| 0.007 | 2.23 | 0.4337 | 1.76 | 0.2561 | 1.35 | 0.1019 | ||
| 0.010 | 2.23 | 0.6013 | 1.76 | 0.3574 | 1.35 | 0.1418 | ||
| –1 | 1 | 0.001 | 2.18 | 0.6640 | 1.75 | 0.3920 | 1.35 | 0.1554 |
| 0.004 | 2.01 | 2.4104 | 1.69 | 1.5500 | 1.3 | 0.6131 | ||
| 0.007 | 1.82 | 3.5526 | 1.61 | 2.5300 | 1.24 | 1.0167 | ||
| 0.010 | 1.63 | 4.2320 | 1.53 | 3.2718 | 1.17 | 1.3456 | ||
| 5 | 0.001 | 2.22 | 0.1322 | 1.76 | 0.0773 | 1.36 | 0.0308 | |
| 0.004 | 2.20 | 0.5312 | 1.75 | 0.3117 | 1.35 | 0.1238 | ||
| 0.007 | 2.17 | 0.9254 | 1.74 | 0.5477 | 1.35 | 0.2172 | ||
| 0.010 | 2.15 | 1.3071 | 1.74 | 0.7831 | 1.35 | 0.3106 | ||
| 10 | 0.001 | 2.22 | 0.0659 | 1.76 | 0.0385 | 1.36 | 0.0154 | |
| 0.004 | 2.21 | 0.2647 | 1.76 | 0.1547 | 1.36 | 0.0615 | ||
| 0.007 | 2.21 | 0.4636 | 1.75 | 0.2712 | 1.36 | 0.1076 | ||
| 0.010 | 2.20 | 0.6614 | 1.75 | 0.3879 | 1.36 | 0.1537 | ||
Comparison of Ra c and k2_
| Hill [13] | Present study | ||||
|---|---|---|---|---|---|
| J | η | k c2 | Ra c | k c2 | Ra c |
| +1 | 0.001 | 4.9720 | 0.647667688 | 4.9720 | 0.647666602 |
| 0.005 | 5.1174 | 3.054321113 | 5.1175 | 3.054321508 | |
| 0.01 | 5.2908 | 5.699734754 | 5.2900 | 5.699684893 | |
| −1 | 0.001 | 4.8990 | 0.667125786 | 4.8991 | 0.667125722 |
| 0.005 | 4.7525 | 3.541442825 | 4.7524 | 3.541426234 | |
| 0.01 | 4.5617 | 7.666775544 | 4.5616 | 7.666778591 | |