Figure 1

Figure 2

Figure 3

Figure 4

Figure 5

Figure 6

Figure 7

Figure 8

Figure 9

Figure 10

Figure 11

Figure 12

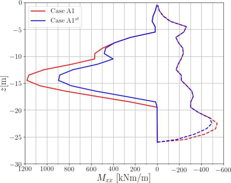
Preliminary design of reinforcement in the wall based on the results achieved for Case A1_
| Depth range, m | As1, cm2/m | As2, cm2/m |
|---|---|---|
| –7 | 12.5 | 12.5 |
| –10 | 25.0 | 12.5 |
| –18 | 50.0 | 12.5 |
| –20 | 12.5 | 12.5 |
| –26 | 12.5 | 18.75 |