Figure 1.

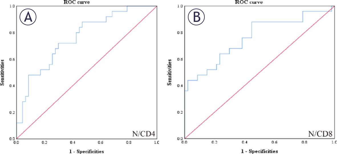
Figure 2A

Figure 2B

Univariate Cox regression analysis of the relationship between pathophysiological parameters and survival time of patients
| Parameter | 95% CI | P-value |
|---|---|---|
| Sex | 0.5551–0.7782 | 0.863 |
| Age | 0.7621–0.9324 | 0.424 |
| Smoking history | 0.1238–0.3206 | 0.150 |
| Drinking history | 0.1356–0.3366 | 0.073 |
| Differentiation | 1.8861–2.1416 | 0.876 |
| Tumor site | 1.9172–2.2495 | 0.977 |
| Histology | 0.9993–1.1951 | 0.150 |
| T-staging | 1.4667–1.7000 | 0.484 |
| N-staging | 0.4812–0.7133 | 0.644 |
| ECOG score | 0.3196–0.6248 | 0.000 |
| Lymphocytes | 1.1019–1.3953 | 0.690 |
| Neutrophils | 4.5463–6.0399 | 0.101 |
| CD4 | 494.9039–630.8183 | 0.003 |
| CD8 | 318.8047–410.5008 | 0.099 |
| B | 127.2621–174.9045 | 0.441 |
| NK | 311.61–429.0567 | 0.345 |
| CD4/CD8 | 1.5587–1.9595 | 0.380 |
| NLR | 4.11727–5.9177 | 0.219 |
| N/CD4 | 0.00989131–0.01451622 | 0.000 |
| N/CD8 | 0.01492113–0.02114241 | 0.000 |
| N/B | 0.04171439–0.07256377 | 0.020 |
| N/NK | 0.01579055–0.02567177 | 0.141 |
Association of pathological features and neutrophil-to-CD4+ T-cell ratio (N/CD4) in patients
| Characteristic, n = 72 | N/CD4 ≤ 0.01053329 | N/CD4 > 0.01053329 | P-value |
|---|---|---|---|
| Sex | |||
| Female | 12 | 12 | |
| Male | 28 | 20 | 0.502 |
| Age | |||
| ≥ 64 years old | 33 | 28 | |
| < 64 years old | 7 | 4 | 0.558 |
| History of smoking | |||
| Yes | 8 | 8 | |
| No | 24 | 32 | 0.612 |
| Drinking history | |||
| Yes | 10 | 7 | |
| No | 30 | 25 | 0.756 |
| Differentiation | |||
| Highly differentiation | 6 | 5 | |
| Medium differentiation | 29 | 22 | |
| Low differentiation | 5 | 5 | 0.228 |
| Tumor site | |||
| Upper thoracic portion | 9 | 6 | |
| Middle thoracic portion | 23 | 13 | |
| Low thoracic portion | 8 | 13 | 0.032 |
| Histology | |||
| Squamous | 36 | 32 | |
| Nonsquamous | 1 | 0 | |
| Small cell | 3 | 0 | 0.368 |
| T-staging | |||
| T1 + T2 | 15 | 15 | |
| T3 + T4 | 25 | 17 | 0.423 |
| N-staging | |||
| N0 | 19 | 10 | |
| N1 + N2 | 21 | 22 | 0.162 |
| Nutriture | |||
| Benign | 19 | 13 | |
| Unbenign | 21 | 19 | 0.56 |
| Anemic state | |||
| Not anemic | 7 | 15 | |
| Anemia | 33 | 17 | 0.007 |
| Coagulation state | |||
| Normal | 30 | 23 | |
| Abnormal | 10 | 9 | 0.765 |
| ECOG score | |||
| 0 point | 24 | 20 | |
| 1 point | 11 | 11 | |
| 2 point | 5 | 1 | 0.366 |
| Treatment efficacy | |||
| CR + PR | 26 | 21 | |
| SD + PD | 14 | 11 | 0.956 |
Multivariate Cox regression analysis of the relationship between clinical variables and patient survival
| Parameter | HR | 95% CI Lower | 95% CI Upper | P-value |
|---|---|---|---|---|
| N/CD4 | 4.14E+73 | 3.39128E+18 | 5.07E+128 | 0.009 |
| ECOG | 2.151826047 | 1.202835884 | 3.849532092 | 0.010 |
| N/CD8 | 4.27E-41 | 2.01E-75 | 9.04E-07 | 0.021 |
| N/B | 0.00138624 | 6.32E-12 | 303904.1296 | 0.502 |
| CD4 | 0.999658052 | 0.997587163 | 1.00173324 | 0.747 |
Association of pathological features and neutrophil-to-CD8+ T-cell ratio (N/CD8) in patients
| Characteristic, n = 72 | N/CD8 ≤ 0.01184294 | N/CD8 > 0.01184294 | P-value |
|---|---|---|---|
| Sex | |||
| Female | 9 | 15 | |
| Male | 20 | 28 | 0.734 |
| Age | |||
| ≥ 64 years old | 26 | 35 | |
| < 64 years old | 3 | 8 | 0.339 |
| History of smoking | |||
| Yes | 6 | 10 | |
| No | 23 | 33 | 0.797 |
| Drinking history | |||
| Yes | 6 | 11 | |
| No | 23 | 32 | 0.632 |
| Differentiation | |||
| Highly differentiation | 5 | 6 | |
| Medium differentiation | 19 | 32 | |
| Low differentiation | 5 | 5 | 0.040 |
| Tumor site | |||
| Upper thoracic portion | 4 | 11 | |
| Middle thoracic portion | 15 | 21 | |
| Low thoracic portion | 10 | 11 | 0.047 |
| Histology | |||
| Squamous | 27 | 41 | |
| Nonsquamous | 1 | 0 | |
| Small cell | 1 | 2 | 0.802 |
| T-staging | |||
| T1 + T2 | 12 | 18 | |
| T3 + T4 | 17 | 25 | 0.968 |
| N-staging | |||
| N0 | 13 | 16 | |
| N1 + N2 | 16 | 27 | 0.518 |
| Nutriture | |||
| Benign | 15 | 17 | |
| Unbenign | 14 | 26 | 0.307 |
| Anemic state | |||
| Not anemic | 7 | 15 | |
| Anemia | 22 | 28 | 0.332 |
| Coagulation state | |||
| Normal | 20 | 33 | |
| Abnormal | 9 | 10 | 0.463 |
| ECOG score | |||
| 0 point | 22 | 22 | |
| 1 point | 7 | 15 | |
| 2 point | 0 | 6 | 0.035 |
| Treatment efficacy | |||
| CR + PR | 26 | 21 | |
| SD + PD | 3 | 22 | 0.000 |
Basic physiological and physiological characteristics of 72 patients
| Characteristic | No of patents (%) |
|---|---|
| All patients (%) | 72 (100%) |
| Sex | |
| Female | 24 (33.3%) |
| Male | 48 (66.7%) |
| Age | |
| Mean-SD | 64 years |
| Range | 52-98 |
| 64-year old or older | 61 (84.7%) |
| Under 64-year old | 11 (15.3%) |
| History of smoking | |
| Yes | 16 (22.2%) |
| No | 56 (77.8%) |
| Drinking history | |
| Yes | 17 (23.6%) |
| No | 55 (76.4%) |
| Differentiation | |
| Highly differentiation | 11 (15.3%) |
| Medium differentiation | 51 (70.8%) |
| Low differentiation | 10 (13.9%) |
| Tumor site | |
| Upper thoracic portion | 15 (20.8%) |
| Middle thoracic portion | 36 (50.0%) |
| Low thoracic portion | 21 (29.2%) |
| Histology | |
| Squamous | 68 (94.4%) |
| Non-squamous | 1 (1.4%) |
| Small cell | 3 (4.2%) |
| T-staging | |
| T1 + T2 | 30 (41.7%) |
| T3 + T4 | 42 (58.3%) |
| N-staging | |
| N0 | 29 (40.3%) |
| N1 + N2 | 43 (59,7%) |
| Nutriture | |
| Benign | 32 (44.4%) |
| Unbenign | 40 (55.6%) |
| Anemic state | |
| Not anemic | 51 (70.8%) |
| Anemia | 21 (29.2%) |
| Coagulation state | |
| Normal | 63 (87.5%) |
| Abnormal | 9 (12.5%) |
| ECOG score | |
| 0 point | 44 (61.1%) |
| 1 point | 22 (30.6%) |
| 2 point | 6 (8.3%) |