FIGURE 1.

FIGURE 2.

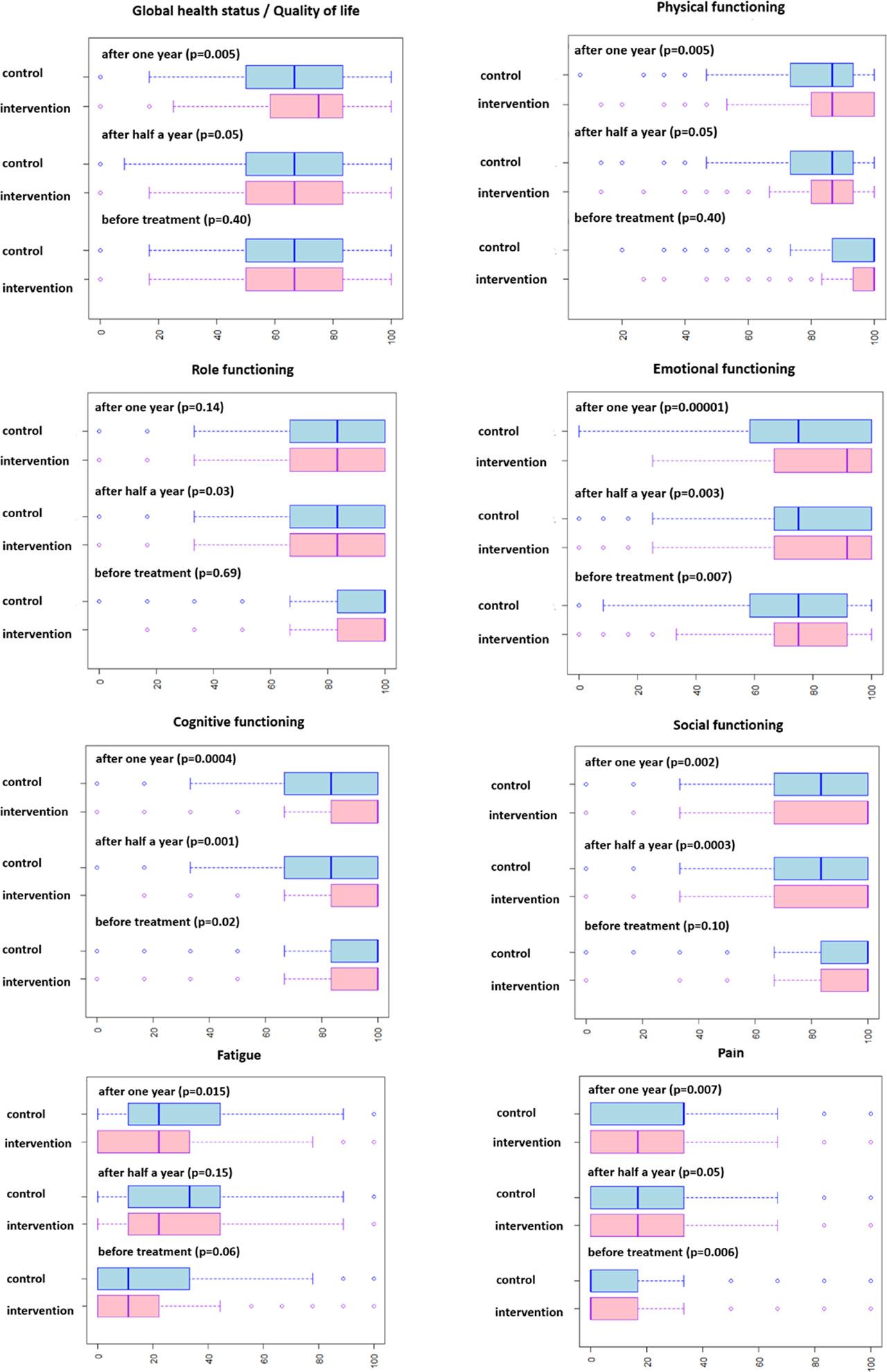
FIGURE 3.

FIGURE 4.

Mean values of psychological factors and pain reported by patients before, half a year and one year after the beginning of treatment
| Factor | Time of assessment | Group | Mean value | Standard deviation | p-value |
|---|---|---|---|---|---|
| Depression level | Before therapy | Control | 4.2 | 2.8 | 0.013 |
| Intervention | 3.6 | 2.5 | |||
| After half year | Control | 3.0 | 2.4 | < 0.001 | |
| Intervention | 2.2 | 1.7 | |||
| After one year | Control | 3.2 | 2.4 | < 0.001 | |
| Intervention | 2.3 | 1.9 | |||
| Anxiety level | Before treatment | Control | 4.2 | 2.7 | 0.041 |
| Intervention | 3.8 | 2.6 | |||
| After half year | Control | 3.2 | 2.5 | < 0.001 | |
| Intervention | 2.4 | 1.8 | |||
| After one year | Control | 3.5 | 2.6 | < 0.001 | |
| Intervention | 2.6 | 2.0 | |||
| Level of difficulty concentrating | Before treatment | Control | 3.2 | 2.5 | 0.96 |
| Intervention | 3.1 | 2.3 | |||
| After half year | Control | 3.2 | 2.4 | 0.02 | |
| Intervention | 2.8 | 2.1 | |||
| After one year | Control | 3.6 | 2.4 | < 0.001 | |
| Intervention | 2.7 | 2.1 | |||
| Constant fatigue | Before treatment | Control | 3.2 | 2.4 | 0.59 |
| Intervention | 3.1 | 2.2 | |||
| After half year | Control | 3.8 | 2.6 | 0.018 | |
| Intervention | 3.3 | 2.4 | |||
| After one year | Control | 4.0 | 2.7 | 0.001 | |
| Intervention | 3.3 | 2.3 | |||
| Disturbing fatigue | Before treatment | Control | 2.8 | 2.3 | 0.50 |
| Intervention | 2.9 | 2.2 | |||
| After half year | Control | 3.9 | 2.5 | 0.003 | |
| Intervention | 3.3 | 2.3 | |||
| After one year | Control | 3.8 | 2.5 | < 0.001 | |
| Intervention | 3.2 | 2.2 | |||
| Insomnia | Before treatment | Control | 4.2 | 3.0 | 0.22 |
| Intervention | 3.9 | 2.8 | |||
| After half year | Control | 4.8 | 3.0 | 0.002 | |
| Intervention | 4.0 | 2.7 | |||
| After one year | Control | 4.8 | 3.0 | < 0.001 | |
| Intervention | 3.9 | 2.9 | |||
| Pain | Before treatment | Control | 2.8 | 2.4 | 0.005 |
| Intervention | 2.3 | 2.0 | |||
| After half year | Control | 3.4 | 2.4 | 0.006 | |
| Intervention | 2.9 | 2.1 | |||
| After one year | Control | 3.7 | 2.5 | < 0.001 | |
| Intervention | 2.7 | 1.8 |
The influence of all included variables simultaneously on fatigue half a year and a year after the beginning of treatment
| Half a year after treatment | One year after treatment | |||||
|---|---|---|---|---|---|---|
| OR | 95% CI | p-value | OR | 95% CI | p-value | |
| Control group | 1.4 | 0.9–2.0 | 0.100 | 1.5 | 1.0–2.2 | 0.044 |
| Age group 45–54 years | 1.1 | 0.7–1.7 | 0.822 | 1.1 | 0.7–1.9 | 0.617 |
| Age group 55–64 years | 1.0 | 0.6–1.6 | 0.931 | 0.6 | 0.3–1.0 | 0.052 |
| Chemotherapy – yes | 1.6 | 1.1–2.5 | 0.025 | 1.3 | 0.9–2.1 | 0.206 |
| Hormonal therapy – yes | 1.1 | 0.7–1.8 | 0.616 | 1.6 | 0.9–2.6 | 0.088 |
| Radiotherapy – yes | 0.7 | 0.4–1.2 | 0.196 | 0.7 | 0.4–1.3 | 0.277 |
| Surgery – not done | 1.2 | 0.3–4.4 | 0.745 | 0.9 | 0.2–3.9 | 0.879 |
| Surgery – Tumorectomy – yes | 1.6 | 0.9–2.6 | 0.080 | 1.4 | 0.8–2.4 | 0.256 |
| Axillary lymphadenectomy – yes | 0.7 | 0.4–1.2 | 0.232 | 0.7 | 0.4–1.2 | 0.148 |
| Presence of distant metastases | 1.4 | 0.5–3.7 | 0.491 | 2.1 | 0.8–5.9 | 0.145 |
Demographic and clinical characteristics of patients, pathological characteristics of tumors and treatment_ P-value refers to difference between control and intervention group; it is calculated by t-test in case of comparing means and by chi-squared test in case of counts
| Factor | Subgroup | All patients (N = 600) | Control group (N = 301) | Intervention group (N = 299) | P-value |
|---|---|---|---|---|---|
| Mean age of patients (years) | 50.78 | 50.59 | 50.97 | 0.601 | |
| Living areas | Urban | 287 | 125 | 162 | 0.003 |
| Suburban | 105 | 53 | 52 | ||
| Rural | 208 | 123 | 85 | ||
| Education (N = 599) | Primary school | 66 | 39 | 27 | 0.290 |
| Secondary school | 242 | 117 | 125 | ||
| Higher | 291 | 144 | 147 | ||
| Socioeconomic status | Low | 71 | 36 | 35 | 0.940 |
| Middle | 432 | 217 | 215 | ||
| Higher | 95 | 46 | 49 | ||
| With whom they live (N = 597) | Alone | 58 | 24 | 34 | 0.600 |
| With partner only | 145 | 71 | 74 | ||
| Partner and children | 289 | 147 | 142 | ||
| With children only | 42 | 22 | 20 | ||
| Other | 63 | 35 | 28 | ||
| Employment (N = 581) | Unemployed | 54 | 35 | 19 | 0.067 |
| Employed | 433 | 209 | 224 | ||
| Retired | 94 | 45 | 49 | ||
| Mean primary tumor size (mm) | 26.3 | 25.5 | 27.2 | 0.285 | |
| Tumor stage | In situ | 10 | 5 | 5 | 0.152 |
| I | 260 | 133 | 127 | ||
| II | 214 | 97 | 117 | ||
| III | 81 | 50 | 31 | ||
| IV | 35 | 16 | 19 | ||
| Concomitant diseases | No | 301 | 154 | 147 | 0.624 |
| Yes | 299 | 147 | 152 | ||
| Neoadjuvant chemotherapy and/or anti-HER-2 therapy | No | 465 | 227 | 237 | 0.241 |
| Yes | 135 | 74 | 61 | ||
| Breast surgery | Mastectomy | 252 | 135 | 117 | 0.357 |
| Tumorectomy | 326 | 156 | 170 | ||
| No surgery | 22 | 10 | 12 | ||
| Lymph node surgery | Lymphadenectomy | 151 | 83 | 86 | 0.337 |
| Sentinel node biopsy | 417 | 204 | 213 | ||
| No surgery | 32 | 14 | 18 | ||
| Breast reconstruction | No | 431 | 214 | 217 | 0.402 |
| Tissue expander | 127 | 69 | 58 | ||
| Free-flap | 42 | 18 | 24 | ||
| Breast external beam radiotherapy | No | 149 | 83 | 66 | 0.131 |
| Yes | 451 | 218 | 233 | ||
| Chemotherapy | No | 280 | 137 | 143 | 0.623 |
| Yes | 320 | 164 | 156 | ||
| Anti-HER2 therapy | No | 522 | 264 | 258 | 0.629 |
| Yes | 78 | 37 | 41 | ||
| Hormone therapy | No | 132 | 69 | 63 | 0.623 |
| Yes | 468 | 232 | 236 |
The influence of each individual variable on fatigue (univariate models) by individual logistic regressions before treatment, half a year and one year after the beginning of treatment_ OR – odds ratio; CI – confidence interval
| Before treatment | OR | 95% CI | p-value |
| Control group | 1.3 | 0.8–2.2 | 0.245 |
| Half a year after the beginning of treatment | OR | 95% CI | p-value |
| Control group | 1.3 | 0.9–1.9 | 0.114 |
| Age group 45–54 years | 1.0 | 0.7–1.6 | 0.855 |
| Age group 55–64 years | 0.9 | 0.6–1.5 | 0.803 |
| Chemotherapy – yes | 1.3 | 0.9–1.9 | 0.135 |
| Hormonal therapy – yes | 0.9 | 0.6–1.4 | 0.689 |
| Radiotherapy – yes | 0.8 | 0.5–1.3 | 0.364 |
| Neoadjuvant chemotherapy and/or anti-HER2 therapy | 1.3 | 0.9–1.9 | 0.227 |
| Surgery – not done | 1.7 | 0.6–4.4 | 0.308 |
| Surgery – Tumorectomy – yes | 1.3 | 0.9–1.8 | 0.208 |
| Axillary lymphadenectomy – yes | 0.7 | 0.5–1.1 | 0.162 |
| Breast reconstruction – yes | 0.8 | 0.5–1.2 | 0.256 |
| Presence of distant metastases | 1.4 | 0.7–2.8 | 0.403 |
| A year after the beginning of treatment | OR | 95% CI | p-value |
| Control group | 1.5 | 1.0–2.2 | 0.046 |
| Age group 45–54 years | 1.2 | 0.8–2.0 | 0.387 |
| Age group 55–64 years | 0.6 | 0.4–1.0 | 0.064 |
| Chemotherapy – yes | 1.4 | 0.8–1.7 | 0.493 |
| Hormonal therapy – yes | 1.3 | 0.8–2.2 | 0.246 |
| Radiotherapy – yes | 0.7 | 0.5–1.2 | 0.191 |
| Neoadjuvant chemotherapy and/or anti-HER2 therapy | 1.2 | 0.8–1.9 | 0.347 |
| Surgery – not done | 1.7 | 0.5–5.2 | 0.371 |
| Surgery – Tumorectomy – yes | 1.1 | 0.7–1.6 | 0.961 |
| Axillary lymphadenectomy – yes | 0.7 | 0.5–1.1 | 0.161 |
| Breast reconstruction – yes | 0.9 | 0.6–1.3 | 0.454 |
| Presence of distant metastases | 1.8 | 0.8–4.0 | 0.130 |