FIGURE 1.

FIGURE 2.

FIGURE 3.

FIGURE 4.

FIGURE 5.

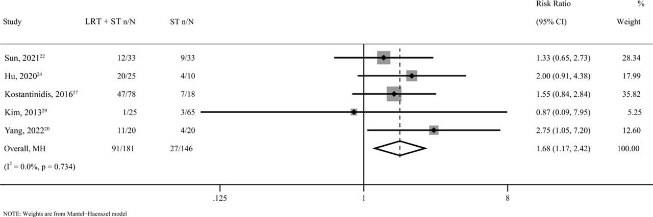
FIGURE 6.

Main study characteristics of included studies
| Study | Country | Treatment | Sample | Age (years) | Sex (F:M) | Outcomes | |||||
|---|---|---|---|---|---|---|---|---|---|---|---|
| LRT + ST | ST | LRT + ST | ST | LRT + ST | ST | LRT + ST | ST | ||||
| Yang, 202220 | China | ADT: DEB-TACE (Doxorubicin) | ICIs (Camrelizumab or Sintilimab) | Gemcitabine + Cisplatin | 20 | 20 | 59 | 59 | 9:11 | 7:13 | OS, PFS, ORR, AEs |
| Yan, 202221 | China | Ablation: RFA / MWA | Gemcitabine* | Gemcitabine* | 36 | 36 | NR | NR | 14:22 | 15:21 | OS |
| Sun, 202122 | China | ADT: TACI (5-Fluoruracil + cisplatin) | Gemcitabine + S-1 | Gemcitabine + Cisplatin + S-1 | 33 | 33 | NR | NR | NR | NR | OS, PFS, ORR, AEs |
| Gairing, 202123 | Germany | ADT: TACE (Mitomycin C / Doxorubicin) | Gemcitabine* | Gemcitabine* | 14 | 59 | 61.3 | 66.8 | 8:6 | 29:30 | OS |
| Hu, 202024 | China | ADT: DEB-TACE (Gemcitabine + Cisplatin) / cTACE (Gemcitabine + Cisplatin + lipiodol) | Apatinib | Apatinib | 13 | 10 | 55.9 | 58.7 | 7:6 | 2:8 | OS, PFS, ORR, AEs |
| Verma, 201825,& | America | EBRT | SYS | SYS | 666 | 2176 | 65 | 65 | 309:357 | 1095:1081 | OS |
| Chang, 201826,& | China | EBRT: CCRT / CTRT | Fluoropyrimidine* / Gemcitabine* | Fluoropyrimidine* / Gemcitabine* | 211 | 211 | 60.11 | 60.80 | 81:130 | 84:127 | OS |
| Konstantinidis, 201627 | America | ADT: HAI (Floxuridine*) | Gemcitabine* / Irinotecan* / 5-Fluoruracil* | Gemcitabine* / 5-Fluoruracil* | 78 | 26 | 62 | 26 | 47:31 | 13:13 | OS, ORR |
| Edeline, 201528,& | France | ADT: 90Y SIRT | Gemcitabine* / 5-Fluoruracil* | Gemcitabine + Cisplatin# | 24 | 33 | NR | NR | NR | NR | OS, PFS |
| Kim, 201329 | Korea | EBRT: CCRT | Capecitabine + Cisplatin | Capecitabine + Cisplatin | 25 | 67 | 56 | 58 | 6:19 | 14:53 | OS, PFS, ORR, AEs |