FIGURE 1.

FIGURE 2.

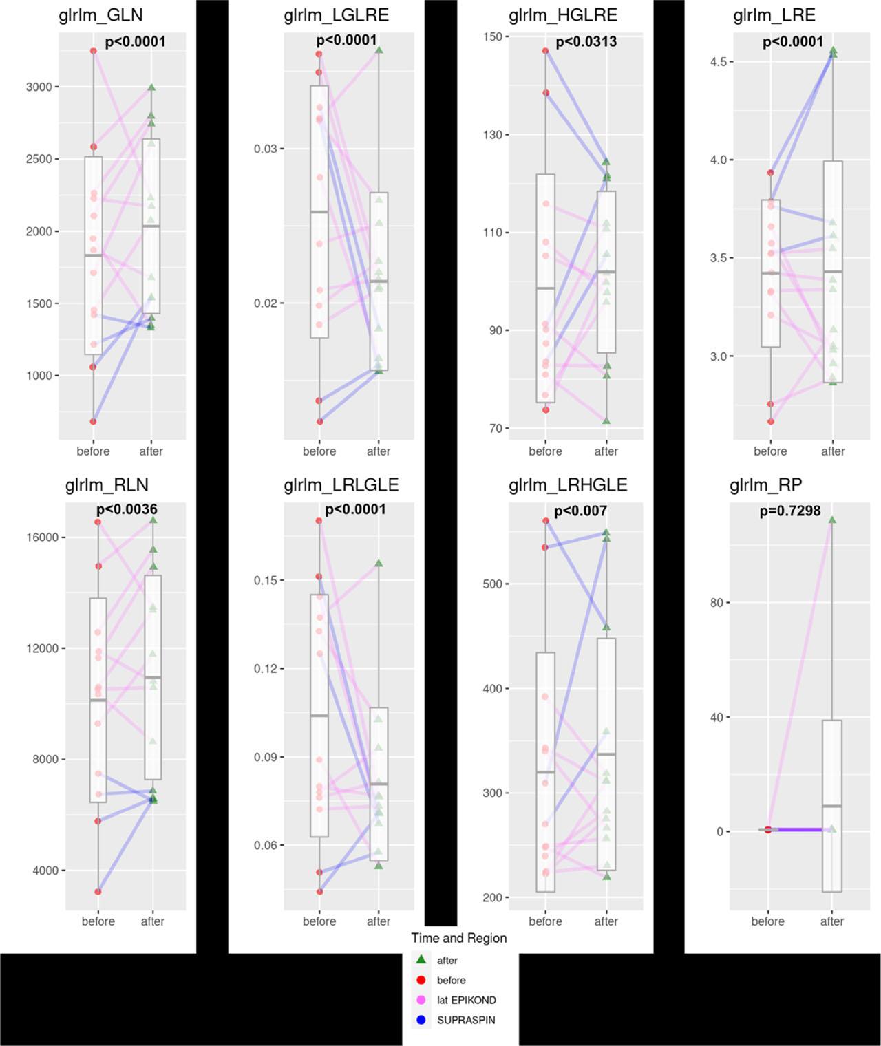
FIGURE 3.




© 2023 Karlo Pintaric, Vladka Salapura, Ziga Snoj, Andrej Vovk, Mojca Bozic Mijovski, Jernej Vidmar, published by Association of Radiology and Oncology
This work is licensed under the Creative Commons Attribution 4.0 License.