FIGURE 1.

FIGURE 2.

FIGURE 3.

FIGURE 4.

FIGURE 5.

FIGURE 6.

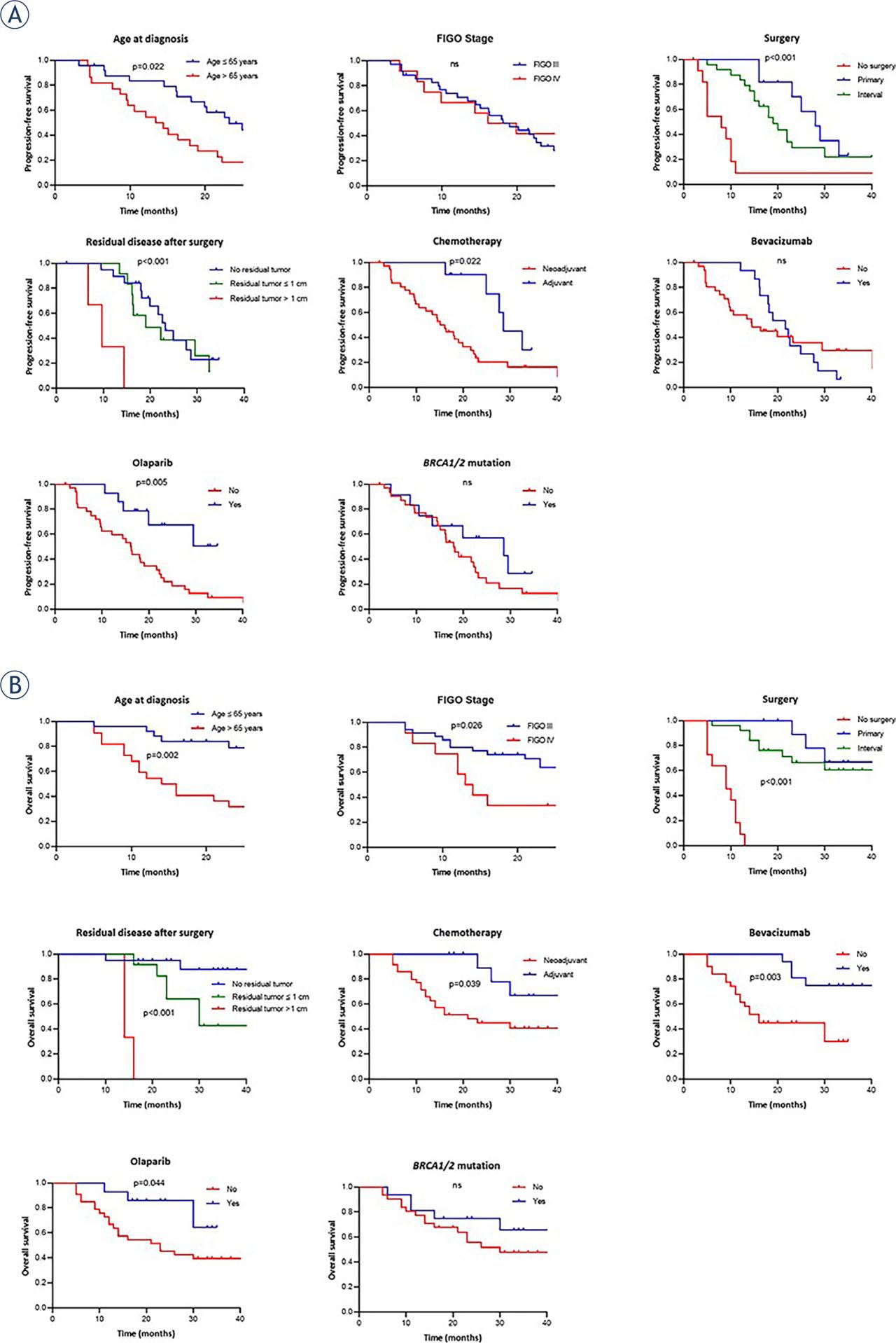
Univariate analysis of patient's survival based on treatment characteristics
| Progression-free survival | Overall survival | |||||
|---|---|---|---|---|---|---|
| HR (95% Cl) | P-value | HR (95% Cl) | P-value | |||
| Age at diagnosis (≤ 65 vs. > 65 years) | 0.504 | 0.266–0.954 | 0.022 | 0.271 | 0.117–0.627 | 0.002 |
| FIGO stage (III vs. IV) | 1.331 | 0.691–2.566 | 0.381 | 0.312 | 0.112–0.872 | 0.026 |
| Surgery | < 0.001 | < 0.001 | ||||
| no vs. primary | 3.365 | 1.248–9.072 | 0.002 | 9.907 | 3.045–32.23 | < 0.001 |
| no vs. interval | 2.981 | 1.133–7.845 | 0.001 | 8.529 | 2.270–32.05 | < 0.001 |
| primary vs. interval | 0.570 | 0.253–1.282 | 0.192 | 0.605 | 0.186–1.973 | 0.239 |
| Residual disease after surgery | < 0.0001 | < 0.001 | ||||
| no residual tumor vs. ≤ 1cm | 0.764 | 0.314–1.858 | 0.538 | 0.189 | 0.045 –0.799 | 0.020 |
| no residual tumor vs. > 1cm | 0.121 | 0.006–2.256 | < 0.001 | 0.066 | 0.003–1.408 | < 0.001 |
| residual tumor ≤ 1cm vs. > 1cm | 0.131 | 0.008–2.209 | < 0.001 | 0.131 | 0.009–1.988 | < 0.001 |
| Chemotherapy (adjuvant vs. neoadjuvant) | 0.358 | 0.177–0.725 | 0.022 | 0.307 | 0.129–0.732 | 0.039 |
| Bevacizumab (no/yes) | 0.979 | 0.500–1.917 | 0.950 | 4.280 | 1.888–9.703 | 0.003 |
| BRCA1/2 mutation (no vs. yes) | 1.721 | 0.827–3.584 | 0.186 | 1.734 | 0.698–4.307 | 0.274 |
| Olaparib (no vs. yes) | 3.486 | 1.765–6.884 | 0.005 | 3.148 | 1.329–7.629 | 0.044 |
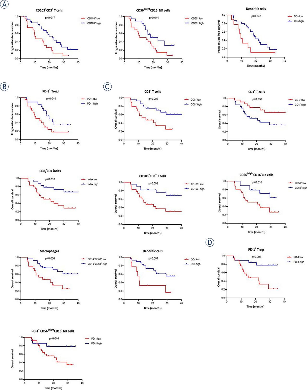
Multivariate analysis of the treatment characteristics and immune cells
| Variables included in the multivariate analysis | Progression-free survival | Overall survival | ||||
|---|---|---|---|---|---|---|
| HR (95% Cl) | P-value | HR (95% Cl) | P-value | |||
| Primary surgery (no vs. yes) | 0.640 | 0.194–2.114 | 0.509 | 0.592 | 0.101–3.454 | 0.560 |
| Residual disease after surgery (no residual tumor and ≤ 1 cm of residual tumor vs. > 1 cm residual tumor) | 0.408 | 0.169–0.983 | 0.046 | 0.009 | 0.001–0.092 | < 0.001 |
| CD103+CD3+ (low vs. high) | 0.605 | 0.266–1.374 | 0.230 | 0.632 | 0.182–1.307 | 0.470 |
| CD56brightCD16− NK cells (low vs. high) | 1.707 | 0.683–4.265 | 0.252 | NA | NA | NA |
| DCs (no vs. yes) | 0.394 | 0.155–0.998 | 0.049 | 0.419 | 0.135–1.307 | 0.134 |
| Macrophages (low vs. high) | NA | NA | NA | 0.592 | 0.101–3.545 | 0.560 |
Clinical characteristics of the patients included in the study
| Age at diagnosis (years) | |
| Mean | 64 |
| Range | 41–84 |
| FIGO stage (N, %) | |
| IIIB | 1 (2) |
| IIIC | 34 (72) |
| IVA | 7 (15) |
| IVB | 5 (11) |
| Surgery (N, %) | |
| Primary | 11 (23) |
| Interval | 23 (49) |
| No surgery (remained inoperable) | 13 (28) |
| Residual disease after surgery (N, %) | |
| No residual tumor | 19 (40) |
| Residual tumor ≤ 1 cm | 12 (26) |
| Residual tumor > 1 cm | 3 (6) |
| Chemotherapy (N, %) | |
| Adjuvant | 11 (23) |
| Neoadjuvant* | 36 (77) |
| Bevacizumab (N, %) | |
| No | 31 (66) |
| Yes | 16 (34) |
| Positive family history (N, %) | |
| No | 30 (64) |
| Yes | 17 (36) |
| BRCA1/2 mutation (N, %) | |
| No | 31 (66) |
| Yes | 12 (26) |
| Unknown | 4 (9) |
| Olaparib (N, %) | |
| No | 35 (74) |
| Yes | 12 (26) |
| Disease progression | |
| No | 11 (23) |
| Yes | 36 (47) |
| Death | |
| No | 24 (51) |
| Yes | 23 (49) |
Univariate analysis of patient's survival based on the low/high percentages of immune cells in the ascites at disease presentation
| Progression-free survival | Overall survival | |||||
|---|---|---|---|---|---|---|
| HR (95% Cl) | P-value | HR (95% Cl) | P-value | |||
| CD3+ (low vs. high) | 1.098 | 0.563–2.142 | 0.777 | 0.670 | 0.301–1.493 | 0.324 |
| CD4+ (low vs. high) | 0.547 | 0.260–1.150 | 0.110 | 0.401 | 0.174–0.928 | 0.038 |
| CD8+ (low vs. high) | 1.918 | 0.887–4.148 | 0.066 | 2.854 | 1.182–6.889 | 0.008 |
| CD8/CD4 index (low vs. high) | 1.076 | 0.560–2.069 | 0.820 | 2.973 | 1.304–6.780 | 0.010 |
| Tregs (low vs. high) | 0.856 | 0.412–1.778 | 0.677 | 0.807 | 0.324–2.006 | 0.649 |
| CD103+CD3+ (low vs. high) | 2.152 | 1.050–4.408 | 0.017 | 3.234 | 1.365–7.661 | 0.009 |
| CD103+CD4+ (low vs. high) | 0.515 | 0.232–1.147 | 0.108 | 0.816 | 0.328–2.031 | 0.661 |
| CD103+CD8+ (low vs. high) | 1.984 | 0.899–4.379 | 0.085 | 1.744 | 0.706–4.309 | 0.245 |
| NKT cells (low vs. high) | 0.520 | 0.246–1.101 | 0.060 | 1.208 | 0.507–2.878 | 0.661 |
| CD56brightCD16− NK cells (low vs. high) | 2.111 | 1.013–4.396 | 0.044 | 2.903 | 1.304–6.464 | 0.016 |
| CD56dim16+ NK cells (low vs. high) | 1.399 | 0.694–2.820 | 0.362 | 1.851 | 0.756–4.533 | 0.157 |
| Macrophages (low vs. high) | 0.601 | 0.245–1.478 | 0.275 | 1.943 | 0.754–5.006 | 0.008 |
| M1-like macrophages (low vs. high) | 0.868 | 0.224–3.370 | 0.835 | 1.562 | 0.321–7.604 | 0.533 |
| M2-like macrophages (low vs. high) | 2.142 | 0.553–8.297 | 0.224 | 2.854 | 1.182–6.889 | 0.080 |
| B cells (low vs. high) | 1.161 | 0.560–2.450 | 0.686 | 0.464 | 0.188–1.141 | 0.102 |
| DCs (low vs. high) | 2.245 | 0.799–6.310 | 0.042 | 3.307 | 0.939–11.65 | 0.007 |