Figure 1

Figure 2

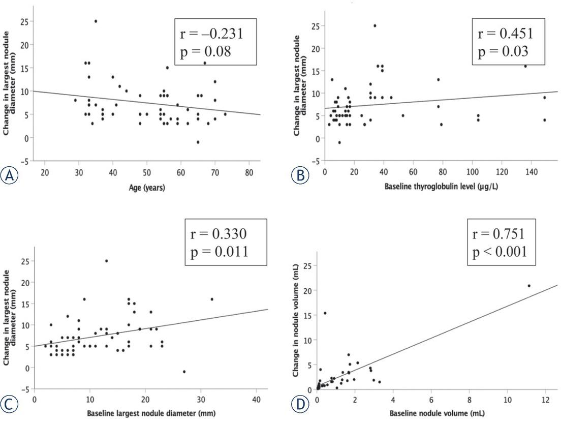
Figure 3

Figure 4

Basic characteristics of patients included in the study (N = 118)
| Parameter | All patients (N = 118) | Nodule Growth | New nodules detected | ||||
|---|---|---|---|---|---|---|---|
| Without (N = 72) | With (N = 46) | p | Without (N = 102) | With (N = 16) | p | ||
| Age (years) | 51.6 ± 13.4 | 51.8 ± 13.6 | 51.2 ± 13.2 | 0.81 | 51.2 ± 13.6 | 53.9 ± 11.9 | 0.46 |
| TSH (mIU/L) | 1.64 ± 0.85 | 1.73 ± 0.83 | 1.49 ± 0.85 | 0.07 | 1.63 ± 0.83 | 1.72 ± 1.00 | 0.80 |
| Tg (μg/L) | 42.4 ± 184.9 | 51.3 ± 237.2 | 28.8 ± 33.4 | 0.08 | 43.7 ±196.6 | 33.2 ± 70.5 | 0.68 |
| Maximum diameter of the largest nodule (mm) | 12.2 ± 8.2 | 11.7 ± 8.4 | 12.9 ± 7.7 | 0.11 | 12.2 ± 8.3 | 12.2 ± 7.6 | 0.86 |
| Volume of the largest nodule (mL) | 1.4 ± 2.4 | 1.4 ± 2.6 | 1.4 ± 2.1 | 0.17 | 1.4 ± 2.5 | 1.2 ± 1.4 | 0.70 |
| Multinodularity (%) | 55 (46.6%) | 27 (37.5%) | 28 (60.9%) | 0.02 | 48 (47.1%) | 7 (43.8%) | 1.0 |