Figure 1

Figure 2

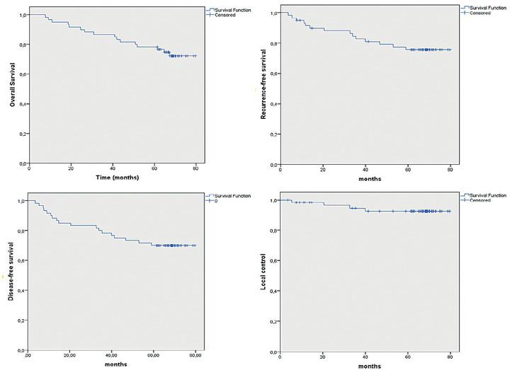
Overall survival (OS) and disease free survival (DSF) according to pTumor and pNodal stage on univariate analysis
| Factor | OS | DFS | ||
|---|---|---|---|---|
| pTumor stage | ||||
| pT0-2 | 85% | 85.7% | ||
| pT3-4 | 60.9% | p=0.043 | 61.8% | p=0.044 |
| pNodal stage | ||||
| pN0 | 81% | 81% | ||
| pN+ | 37.5% | 41.7% | p=0.003 |
Late grade 33 adverse events in CRAB trial
| Event | N | Time to appearance (after the operation) | Procedure |
|---|---|---|---|
| Fistula rectovaginalis | 1 | 12 months | Hartman operation |
| 1 | 31 months | Abdominoperineal excision | |
| Fistula enteroperinealis | 1 | 74 months | No action due to local and distant progression of the disease |
| Fistula enteroglutealis | 1 | 54 months | Incision, drain |
| Fistula uretroperinealis | 1 | 87 months | Conservative |
| Fistula enteroperinealis | 1 | 54 months | No action due to poor performance status |
| Abscessus perinealis | 1 | 48 months | Incision, drain |
| Abscessus presacralis | 1 | 36 months | Incision, transversostomy |
| Stenosis ureteri bill. | 1 | 43 months | J splint bill |
Health related quality of life analysis: Comparisons of mean scores with standard deviations (SD) before and 1 year after completed treatment for all scales of EORTC QLQ-C30 and EORTC QLQ-CR38
| Scale | Item | Number responding before and 1 year after treatment | Before treatment mean (SD) | 1 year after treatment mean (SD) | p value Wilcoxon signed-rank test statistically significant values (p < 0.050) are bolded |
|---|---|---|---|---|---|
| EORTC QLQ-C30 | |||||
| Global health status/quality of life | 29,30 | 50 | 62.5 (20.8) | 68.0 (19.7) | 0.087 |
| Functional scales | |||||
| Physical functioning | 1 to 5 | 50 | 89.9 (15.3) | 84.7 (14.9) | 0.008 |
| Role functioning | 6.7 | 50 | 85.3 (23.4) | 81.3 (24.4) | 0.557 |
| Emotional functioning | 21 to 24 | 50 | 80.6 (19.0) | 83.0 (20.8) | 0.259 |
| Cognitive functioning | 20,25 | 50 | 89.4 (17.1) | 86.7 (20.2) | 0.346 |
| Social functioning | 26,27 | 50 | 86.7 (16.2) | 77.7 (21.7) | 0.007 |
| Symptom scales | |||||
| Fatigue | 10,12,18 | 50 | 21.5 (22.0) | 20.7 (18.8) | 0.607 |
| Nausea and vomiting | 14,15 | 50 | 2,5 (6.0) | 2.3 (6.7) | 1.000 |
| Pain | 9,19 | 50 | 19.7 (27.5) | 11.7 (15.9) | 0.017 |
| Dyspnoea | 8 | 50 | 3.3 (11.8) | 4.7 (13.5) | 0.782 |
| Insomnia | 11 | 50 | 24.4 (25.9) | 15.3 (22.5) | 0.044 |
| Appetite loss | 13 | 50 | 7.8 (20.7) | 6.7 (17.8) | 0.726 |
| Constipation | 16 | 50 | 4.4 (14.3) | 12.0 (23.1) | 0.126 |
| Diarrhoea | 17 | 50 | 31.1 (30.6) | 12.0 (18.8) | 0.002 |
| Financial difficulties | 28 | 49 | 11.9 (22.1) | 18.0 (24.5) | 0.103 |
| EORTC QLQ-CR38 | |||||
| Functional scales | |||||
| Body image | 13,14,15 | 50 | 8.8 (16.1) | 23.1 (24.9) | 0.001 |
| Sexual functioning | 17,18 | 47 | 28.7 (22.9) | 29.4 (26.5) | 0.859 |
| Future perspective | 16 | 50 | 54.0 (30.5) | 49.7 (30.1) | 0.420 |
| Sexual enjoyment | 19 | 22 | 44.4 (24.6) | 48.1 (29.7) | 0.527 |
| Symptom scales | |||||
| Chemotherapy side effects | 10,11,12 | 51 | 7.3 (11.8) | 10.7 (13.7) | 0.021 |
| General gastrointestinal symptoms | 4 to 8 | 51 | 22.1 (19.3) | 18.0 (18.3) | 0.084 |
| Defecation problems | 25 to 31 | 26 | 27.5 (21.1) | 30.2 (16.4) | 0.456 |
| Stoma-related problems | 32 to 38 | 0 | 28.0 (12.3) | ||
| Sexual dysfunction of men | 20,21 | 23 | 15.3 (18.0) | 42.6 (35.6) | 0.006 |
| Sexual dysfunction of women | 22,23 | 4 | 16.7 (18.6) | 11.1 (27.2) | 1.000 |
| Radiation-induced effects micturition | 1,2,3 | 51 | 21.1 (18.3) | 21.4 (19.0) | 0.945 |
| Weight loss | 9 | 50 | 19.9 (27.4) | 8.5 (18.7) | 0.016 |