The annual incidence of malignant melanoma is still rising steadily; in Europe it varies between 3 to 5 people per 100.000 in Mediterranean countries and 12 to 35 people per 100.000 in Nordic countries.1 As for Slovenia, the average annual melanoma incidence rate is estimated to increase to 34 men and 26 women per 100.000 (95% prediction interval) for the year 2019. That makes Slovenia one of the European countries with the highest annual incidence of malignant melanoma. Approximately 78% of Slovenian patients with melanoma initially present with localized disease, 19% with regional disease and 3% with distant metastatic disease.2 All Slovenian melanoma patients in stage III and IV are treated with systemic treatment at the Institute of Oncology Ljubljana.
Historically, patients with advanced melanoma had a median overall survival of around 8 months, with a 5 year overall survival of less than 10%.3 New treatment options, such as immunotherapy and targeted therapy are changing the landscape for these patients. Programmed cell death 1 (PD-1) blockade is now a standard of care for all advanced and metastatic melanoma patients in the first-line setting.1 A recent publication about the 5-year outcomes from a randomised, phase 3 trial Keynote-006 of pembrolizumab for ipilimumabnaive advanced or metastatic melanoma patients, showed a median overall survival (OS) of 38.7 months (95% CI, 27.3–50.7 months), median progression-free survival (PFS) of 11.6 months (95% CI, 8.2–16.4), 5 year OS rate of 43.2% and 46% (95% CI, 41.0–51.4) objective response rate in an analysis of a subgroup of patients who received first-line treatment. They also showed a good toxicity profile, with grade 3–4 immune-related adverse events (irAE) reported by 17% of patients treated with pembrolizumab mono-immunotherapy.4
In melanoma patients treated with immunotherapy or targeted treatment, it was shown that serum lactate dehydrogenase (LDH) and the number of organs with metastatic involvement have the strongest predictive value for clinical outcome and for durable benefit.5, 6 These factors were not presented in recently published papers on patients treated with pembrolizumab.4, 7, 8
However, it is still unclear whether these remarkable results are also obtained in daily clinical practice. In this paper, we aim to assess the efficacy and the toxicity of pembrolizumab in treatmentnaive patients with metastatic melanoma in daily clinical practice and compare these parameters to those reported in clinical studies.
We conducted an observational retrospective cohort study analyzing 138 consecutive treatmentnaive patients with metastatic melanoma, who received pembrolizumab at the Institute of Oncology Ljubljana between January 2016 and December 2018. Patients received pembrolizumab in two different dosages: either 2 mg per kilogram of body weight every 3 weeks or a flat dose of 200 mg every 3 weeks (flat dose since May 2018). Patients with prior systemic therapy and patients treated with a combination of PD-1/ cytotoxic T-lymphocyte-associated antigen 4 (CTLA-4) inhibitors were excluded from the analysis. The period of data collection took place from January 2016 to July 2019.
All relevant data was collected from medical files and entered into a data base. Baseline data was analysed with regard to age, anatomic site of primary melanoma, actionable mutation, baseline serum LDH, number of organs with metastatic involvement and metastatic stage (M1a(0/1)-d(0/1), determined by using 8th version of the American Joint Committee on Cancer (AJCC) tumour, node, metastases (TNM) classification system).9, 10 Efficacy was evaluated according to the response evaluation criteria in solid tumours (RECIST, version 1.1) by using computed tomography (CT) scan, positron emission tomography using 18F-fluorodeoxyglucose (FDG-PET), magnetic resonance scans (MRI), clinical examination and laboratory tests.11 Toxicity was assessed according to the National Cancer Institute Common Toxicity Criteria for Adverse Events (NCI-CTCAE), version 5.0.12
Statistical data was obtained using the SPSS software version 22 and survival rate was calculated by Kaplan-Meier method and compared using log-rank tests.
The study was approved by the Institutional Review Board Committee (Approval number: ERIDEK-0084/2019) and was conducted in accordance with the ethical standards defined by the Declaration of Helsinki. The study was conducted with acknowledgement and consent of the subjects. Prior to treatment, patients have signed an informed consent for treatment and a consent allowing the usage of their data for scientific purposes.
Demographic and disease characteristics are detailed in Table 1. All patients were Caucasians. The median age was 65.4 years (range 25–87), the majority of patients (60.9%) were males and in ECOG performance status 1 (51.4%). Among all patients, 116 (84.1%) had cutaneous subtype of melanoma. Twenty-five (18.1%) patients had BRAF V600 mutation, 21 (84%) of which had normal baseline lactate
Demographic and disease characteristics of the patients
| Median age (range) – years | 65.4 (25-87) |
| Older than 70 years – n (%) | 47 (48.9%) |
| Male gender –n (%) | 84 (60.9) |
| Average body weight (range) – kilograms | 79.5 (46 – 138) |
| ECOG performance status –n (%) | |
| 0 | 53 (38.4) |
| 1 | 71 (51.4) |
| 2 | 12 (8.7) |
| 3 | 2 (1.4) |
| Anatomic site of primary | |
| Cutaneous | 116 (84.1) |
| Ocular | 8 (5.8) |
| Mucosal | 7 (5.1) |
| Unknown primary | 7 (5.1) |
| Actionable mutation –n (%) | |
| Wild type | 94 (68.1) |
| BRAF V600E | 22 (15.9) |
| BRAF V600K/M | 3 (2.2) |
| NRAS | 3 (2.2) |
| Not provided | 16 (11.6) |
| Elevated baseline LDH level (> 4.31 microkat/L) – n (%) | 36 (26.1) |
| Elevated baseline S100 level (> 0.105 microg/L) – n (%) | 72 (52.2) |
| Metastatic stage – n (%)* | |
| M1a (0) | 28 (20.3) |
| M1a (1) | 6 (4.3) |
| M1b (0) | 29 (21.0) |
| M1b (1) | 2 (1.4) |
| M1c (0) | 32 (23.2) |
| M1c (1) | 22 (15.9) |
| M1d (0) | 13 (9.4) |
| M1d (1) | 6 (4.3) |
| Organs with metastatic involvement –n (%) | |
| 1 | 47 (34.1) |
| 2 | 52 (37.7) |
| 3 | 19 (13.8) |
| >3 | 20 (14.5) |
| Further lines of systemic therapy – n (%) | 41 (29.7) |
| Radiotherapy during immunotherapy –n (%) | 38 (27.5) |
LDH = lactate dehydrogenase
Following the 8th edition of the American Joint Committee on Cancer (AJCC) tumour, node, metastases (TNM) classification, to cases with normal level of the LDH are given the suffix (0) and to cases with elevated LDH level suffix (1).
dehydrogenase (LDH). Serum LDH was elevated in 26.1% of all melanoma patients. The majority – 52 (37.7%) patients – had two organs with metastatic involvement.
Median duration of exposure to pembrolizumab was 6.7 months. (range: 1 day – 36 months). At the time of data cut-off, 38 (27.5%) patients were still receiving pembrolizumab, others discontinued due to progressive disease (PD; n = 78; 56.5%), immune-related adverse events (n = 17; 12.3%) or physician decision (n = 5, 3.6%). Only two (1.4%) patients were retreated with pembrolizumab.
There were five (3.6%) patients with underlying autoimmune or inflammatory disease (AID), two of which had psoriasis, one had psoriatic arthritis, one suffered from sarcoidosis and one from chronic inflammatory bowel disease. Only the patient with psoriatic arthritis had a flare of his AID.
Most of the patients (n=118, 85.5%) received pembrolizumab per kilogram of body weight and only a minority (n=20, 14.5%) received a flat dose of 200 mg.
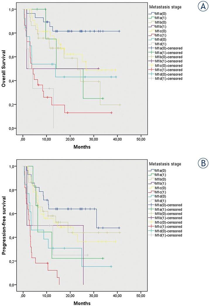
At data cut-off, 65 (47.1%) patients died. Estimated median OS was 25.1 months (95% CI, 14.7–35.6) and median PFS was 10.7 months (95% CI, 5.9–15.5) for all patients. In Figure 1, median OS and PFS according to different metastatic stages are shown.

Kaplan-Meier estimates for overall survival (A) and progression free survival (B) according to different metastatic stages (p < 0.001).
Among all of the 138 treated patients, 29 (21.0%) achieved complete response (CR), 31 (22.5%) achieved partial response (PR) and 23 (16.7%) achieved stable disease (SD). In total, 54 (39.1%) patients experienced a progression disease (PD). In survival rate analysis, median OS in patients with CR in PR was not yet reached, while median OS in patients with SD was 25.1 months (95% CI, 15.1–35.2) and in patients with PD was 3.8 months (95% CI, 3.1–4.4) (Table 2, Figure 2).

Kaplan-Meier estimates of overall survival according to best overall response (p < 0.001).
Best overall responses and median overall survival for each group
| Response | n (%) |
|---|---|
| ORR | 60 (43.5) |
| DCR | 83 (60.2) |
| Best response | |
| CR | 29 (21.0) |
| PR | 31 (22.5) |
| SD | 23 (16.7) |
| PD | 54 (39.1) |
| No assessment | 1 (0.7) |
CR = complete response; DCR = disease control rate; ORR = overall response rate;
PD = progressive disease; PR = partial response; SD = stable disease
A survival rate analysis according to age (older or younger than 70 years), anatomic site of primary melanoma, actionable mutations, baseline LDH level and the number of organs with metastatic involvement was carried out. Older age, different anatomic sites of the primary melanoma and BRAF mutation were not associated with lower survival rates.
The differences in survival rates according to anatomical site were not statistically significant (p=0.071). Namely, patients with cutaneous melanoma had an estimated medium OS of 32.7 months (95% CI non-estimable). Patients with ocular melanoma had medium OS of 11.6 months (95% CI, 2.8–21.4) and patients with mucosal melanoma 4.4 months (95% CI, 2.8–5.9).
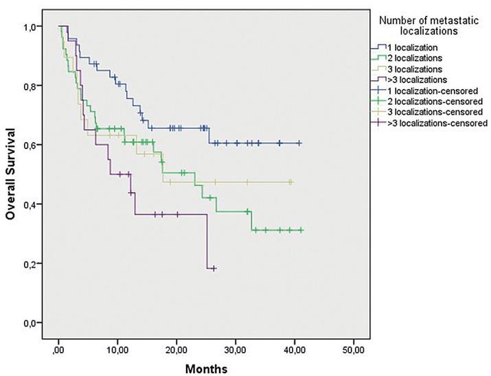
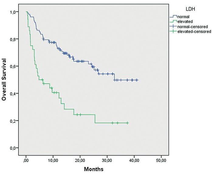
However, the survival rate differences were statistically significant (p=0.04) according to the number of organs with metastatic involvement. The median OS for patients with one organ site containing metastases was not reached, while patients with two organs involved had the median OS of 23.1 months (95% CI, 14.4–31.6), patients with three organs involved had 17.7 months (95% CI non-estimable), and patients with more than 3 organs with metastatic involvement had 8.8 months (95% CI, 1.3–16.2) (Figure 3). Similarly, the differences in survival rate according to the baseline levels of LDH were statistically significant (Figure 4, p < 0.001). The estimated median OS for patients with normal baseline LDH level was 32.7 months (95% CI non-estimable), whereas for patients with elevated baseline LDH the median OS was 4.8 (95% CI, 0.0. –11.2).

Kaplan-Meier estimates of overall survival according to number of organs with metastatic involvement (p = 0.04).

Kaplan-Meier estimates of overall survival according to serum lactate dehydrogenase (LDH) (p < 0.001).
Responses for patients with BRAF mutations were analysed in more details, out of all 25 (18.1%) patients, 7 (28%) achieved CR, 4 (16%) achieved PR and 5 (20%) patients SD, while 9 (36%) patients progressed.
As for the subsequent lines of therapy, 41 (29.7%) patients received it. Most of them, namely 35 (85.4%) patients received chemotherapy, 5 (12.2%) received targeted therapy with BRAF and MEK inhibitors and only 1 (2.4%) patient received CTLA-4 inhibitor ipilimumab monotherapy.
Table 3 presents the reported immune-related adverse events (irAE). They occurred in 88 (63%) patients, 12 (8.7) patients experienced grade 3 to 4 irAE and 16 (11.6%) patients permanently discontinued treatment due to irAE. There were no treatment-related deaths known from the data base.
Immune related adverse events
| Adverse event* | Any grade – no. (%) | Grade 3-4 – no. (%) |
|---|---|---|
| Any | 88 (63.8) | 12 (8.7) |
| High AST, ALT | 35 (25.4) | 3 (2.2) |
| Hypothyroidism | 33 (23.9) | 0 |
| Pruritus | 28 (20.3) | 0 |
| Rash | 25 (18.1) | 1 (0.7) |
| Arthralgia | 14 (10) | 2 (1.4) |
| Diarrhoea | 13 (9.4) | 1 (0.7) |
| Fatigue | 8 (5.8) | 0 |
| Pneumonitis | 7 (5.1) | 2 (1.4) |
| Vitiligo | 7 (5.1) | 0 |
| Other | 12 (8.7) | 4 (2.9) |
AST = aspartate transaminase; ALT = alanine aminotransferase
*Events are listed in order of descending frequency.
The most common treatment-related adverse events of any grade were elevation in liver transaminase levels (25.4%), hypothyroidism (23.9%) and pruritus (20.3%). Grade 3 to 4 events that were reported in more than 1% of the patients were elevation in liver transaminase levels (2.2%), arthralgia (1.4%) and pneumonitis (1.4%). There were a few cases of rare irAE. One patient developed limbic encephalitis, another adrenal insufficiency and two had documented nephritis.
Results from this one-country, single centre retrospective analysis showed inferior median OS, similar median PFS and comparable ORR for the whole group of melanoma patients receiving pembrolizumab in first line setting, compared to reported data from clinical studies.
There are more possible reasons for these results. Firstly, medium follow-up in our retrospective analysis was shorter in comparison to published clinical trials. Secondly, the characteristics of our patients differ from those in the clinical trials. Only patients with metastatic disease were included in our analysis. No patient in our research had an advanced or non-metastatic operable melanoma, unlike the Keynote-006 trial, where 3.2% of patients were without distant metastasis (M0). With regard to ECOG performance status, our patients were mainly in ECOG performance status 1, but some of them were also in performance status 2 or 3, probably due to comorbidities or higher tumour burden. There were 19 (13.8%) patients with brain metastases, some of them even had symptomatic brain metastases, which was an exclusion criteria in the Keynote-006 study. We know that patients with active brain metastases not only have a detrimental survival due to their disease, but also require systemic glucocorticoids.13 That condition was shown to be associated with inferior outcomes for treatment with programmed cell death ligand 1 (PD-L1) blockade as corticosteroids play an important role in feedback inhibition of inflammatory response and immune system homeostasis.14
A few patients with ocular and mucosal subtype of melanoma were included in our analysis, which also differs from the Keynote-006 trial, where ocular melanoma patients were excluded.15 However, these patients were included in the Keynote-001 trial.7 These two subgroups of melanoma patients usually have worse results and they rarely confer durable remissions with immunotherapy. In patients with metastatic ocular melanoma treated with PD-(L)1 antibodies, including pembrolizumab, a disease control rate (DCR) of 12.5% and OS of 7.6 months was reported in a retrospective series.16 As for the mucosal melanoma ipilimumabnaive patients, a post-hoc analysis of Keynote-001, 002 and 006 showed an ORR of 22% and a median OS of 14.0 months.17 Furthermore, in our analysis these patients performed worse compared to cutaneous melanoma. Ocular melanoma patients had a medium OS of 11.6 (95% CI, 2.8–21.4) and mucosal melanoma patients had a medium OS of 4.4 months (95% CI, 2.8–5.9). The difference was not statistically significant, probably due to a low number of patients with ocular or mucosal primary melanoma.
However, for certain groups of patients, the results are outstanding. Patients with one organ with metastatic involvement and patients with stage M1a(0) had the best survival rate, with median overall survival not reached at the data cutoff time. Patients with normal serum levels of LDH also had a significantly better survival rate than those with elevated levels. These results confirm that the number of organs with metastatic involvement and the level of serum LDH are important prognostic factors.5, 6
Furthermore, ORR of 43.5% was comparable to ORR in Keynote-006 and Keynote-001, where it amounted to 46% (95% CI, 41.0–51.4) and 52% (95% CI, 43–60) respectively in the first line treatment.
In these studies, some unique patterns of response were reported. One of them is pseudoprogression, which is described as a radiological progression that is followed by stabilization or response on the next imaging.18 In Keynote-001 trial, the incidence of tumour pseudoprogression was 7.3%.19 In our analysis, we did not collect data on this atypical response, therefore its influence on the response rate cannot be established.
Actionable mutations BRAF and NRAS were present in only 28 (20.3%) patients. Additionally, quite a significant number of patients (n=16, 11.6%) did not receive molecular testing for actionable mutations. The percentage is higher than reported in the clinical trials. For example, in the Keynote-006 trial only 1% of patients had undetermined BRAF status. In our analysis, these were patients with contraindications for the targeted therapy, with ocular primary melanoma, where a BRAF mutation is very rare, and patients where testing was not possible due to lack of tumour tissue. At present, liquid biopsy is not performed at our institute.
A comparison between patients with BRAF mutated melanoma and wild type melanoma showed no statistical differences in median OS, PFS and ORR. Due to a low number of patients with BRAF mutation (n=25, 18.1%), the conclusions are highly questionable. However, looking at the patients’ characteristics, most of them (84%) had normal LDH concentration, probably reflecting less aggressive disease and/or metastatic burden and making them the more suitable for immunotherapy. The type of the first line therapy in our BRAF mutated patients depended entirely on the physician’s decision. Currently, there are several prospective trials evaluating the best first line approach for the patients with BRAF mutated tumours: immunotherapy, targeted therapy or switching from the latter to the former after certain time. For the time being, only exploratory analysis have shown that immunotherapy might result in a better survival rate after one year of treatment.20 The patients with tumours threatening important organs or functions and those with high tumour burden and rapid progression are advised to start with targeted therapy, which provides faster responses.
As for older patients, the survival rate was not significantly different from that of younger ones. That gives us another confirmation that we can safely treat older patients with mono-immunother-py.20
Subsequent lines of systemic treatment of metastatic melanoma patients are not evidence-based at this time.1 A combination of BRAF and MEK inhibitors is a good therapeutic option in the second line of systemic treatment only for patients with actionable mutation BRAF that have been treated with immunotherapy in the first line. In our group of patients, 5 (12.2%) of the patients who received second line therapy also received targeted therapy afterwards. The majority of other patients were treated with chemotherapy.
The toxicity profile according to our retrospective analysis is, as reported in clinical trials, very good. Only 8.7% of patients experienced grade 3 to 4 irAE and, more importantly, there were no treatment-related deaths. The incidence of irAE could be underestimated due to retrospective design and unfamiliarity of clinicians with irAE at the beginning of using PD-1 treatment. We had limited experience with CTLA4 antibody ipilimumab usage. Available literature was of great help, as first position papers were published online very soon.22 With more literature becoming available and with our increasing clinical experience, we learned to recognize irAE and to treat them more effectively.23, 24, 25 This also stands for patients with underlying AID, which we now know is not a contraindication for treatment with immunotherapy.26, 27, 28 Five (3.6%) patients from our group had AID and only one had a transient exacerbation of his autoimmune condition.
Another important question is the financial toxicity. The average body weight of our patients was 80 kg, meaning the average dose per kilogram was 160 mg. With a flat dose regimen we actually spent more money on the treatment than we did with a dose per kilogram. The financial difference between these two regimens is substantial, especially for a country with limited resources, such as Slovenia. Due to a low number of patients that were treated with a flat dose in our study, the comparison regarding the efficacy was not possible. We need prospective data to validate different doses of treatment, which could potentially lead to much wider access to these drugs.29 This highly effective treatment should stay affordable for countries such as ours, so we should continue searching for more optimal treatments with this medicine. The time spent on a treatment is also an important factor. An optimal duration of treatment has not been established yet, but data shows that patients in complete remission after being treated for more than 6 months have a low risk of relapse after discontinuation. This is not true for patients in partial response or those with stable disease, where the risk is higher. The optimal duration of treatment needs further prospective studies.30, 31, 32
This study contains some limitations. Firstly, the retrospective design of the study results in the lack of some important or interesting data. For example, the testing on PD-L1 expression was not performed, as it is not part of standard practice. Its clinical use in melanoma patients is limited at the time being, because the treatment with checkpoint inhibitors is effective regardless of the state of PD-L1.33 Second important limitation of our analysis is a short follow-up time compared to recent publications, which reported 5-year outcomes. Our future perspective is to update the data, especially regarding the survival rate and the responses to treatment. We hope to see the same ongoing antitumor activity of pembrolizumab as it was seen in all randomized clinical trials with this drug.004, 007 Another important limitation that could have impacted our results is the radiological evaluation using RECIST criteria, instead of immune RECIST (iRECIST).34
Nivolumab is another PD-1 inhibitor that is indicated for treatment of advanced or metastatic treatment-naive melanoma patients.35 In January 2016, when PD-1 inhibitor pembrolizumab started to be used for melanoma patients in Slovenia, this was the only PD-1 inhibitor that was reimbursed by medical insurance. Even when nivolumab was first reimbursed in June 2018, pembrolizumab continued to be used in this setting, due to less frequent applications of pembrolizumab at that time (every three weeks for pembrolizumab vs. every two weeks for nivolumab). Just recently, in October 2019, a combination of nivolumab with ipilimumab was first reimbursed, which presents another treatment option for this group of patients. 36
Lastly, in Slovenia there is still a lot of space for improvement in the area of melanoma systemic treatment. The priorities should be including our patients in clinical trials and a better organisation of supportive facilities. The lack of focus on these priorities is possibly reflected in data showing an increase in the mortality-to-incidence ratios in Eastern European countries compared to Western Europe.37
The results from our retrospective analysis of treatment-naive patients with metastatic melanoma treated with PD-1 inhibitor pembrolizumab showed inferior median OS and similar median PFS and ORR compared to reported data from clinical studies. However, the patients with normal serum levels of LDH and a small number of organs with metastatic involvement had comparable survival outcomes. The treatment resulted in a low toxicity rate and no treatment-related deaths. A lot still needs to be done in melanoma patient community so that the patients with bad prognostic factors can also achieve higher survival rates. This type of retrospective analysis gives us an insight into real-life patient care and represents an important contribution for oncological community and, most importantly, enables a better care for our patients.