Figure 1

Figure 2

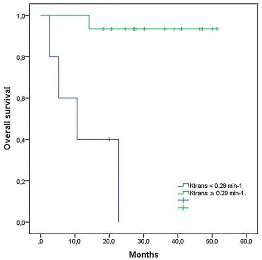
Figure 3

Figure 4

Absolute values of DWI and DCE-MRI derived parameters and tumour volumes before treatment and their relative changes after 10 Gy (expressed as median and range) for the entire cohort of the patients and separately for alive and deceased patients at the end of follow-up
| Parameters | The entire cohort of patients (n = 20, 100%) | Patients still alive at the end of follow-up (n = 15; 75%) | Deceased patients at the end of follow-up (n = 5; 25%) |
|---|---|---|---|
| Pre-treatment values | |||
| ADC (x 10-3 mm2/s) | 0.81 (0.62–1.07) | 0.76 (0.62–0.91) | 0.96 (0.76–1.07) |
| Ktrans (min-1) | 0.48 (0.13–0.79) | 0.57 (0.23–0.79) | 0.22 (0.13–0.35) |
| Ve | 0.32 (0.15–0.64) | 0.32 (0.17–0.64) | 0.22 (0.15–0.37) |
| Vp | 0.17 (0.06–0.43) | 0.15 (0.07–0.43) | 0.35 (0.06–0.41) |
| Tumour volume (ml) | 10.5 (2.6–54.9 ). | 8.8 (2.6–44.55) | 18.21 (6.6–54.9) |
| Relative changes after 10 Gy | |||
| ΔADC | 22.5% (1.7 to 52.4%) | 25.0 (4.7 to 51.4) | 9.2 (1.7 to 52.4) |
| ΔKtrans | -50.3% (-93.4 to 179.2%) | -60.0 (-93.0 to -43.2) | 4.2 (-37.1 to 179.2) |
| ΔVe | -35.2% (-88.9 to 126.8%) | -40.0 (-88.9 to 65.4) | -14.7 (-40. to 126.8) |
| ΔVp | 70% (73.2 to 357.14%) | 92.9 (-18.6 to 357.2) | 10.0 (-73.2 to 100) |
| ΔTumour volume | (-15.0%; -76.3 to 254.6%); | -14.0 (-76.3 to 254.6) | -19.6 (-37.7 to 114.72) |
The baseline clinical characteristics of all the patients
| Patient | Sex | Age (yrs) | Tumour location | TNM | Stage |
|---|---|---|---|---|---|
| 1 | M | 53 | Oropharynx | T4aN1 | IVA |
| 2 | M | 67 | Hypopharynx | T3N1 | III |
| 3 | M | 66 | Hypopharynx | T3N2b | IVA |
| 4 | M | 56 | Oropharynx | T3N2b | IVA |
| 5 | M | 49 | Oropharynx | T2N2b | IVA |
| 6 | M | 57 | Oropharynx | T4aN2c | IVA |
| 7 | M | 59 | Hypopharynx | T4aN2b | IVA |
| 8 | M | 60 | Oropharynx | T3N2b | IVA |
| 9 | M | 58 | Oropharynx | T4aN2b | IVA |
| 10 | M | 53 | Oropharynx | T4aN2c | IVA |
| 11 | M | 64 | Oropharynx | T3N2c | IVA |
| 12 | M | 56 | Hypopharynx | T3N2b | IVA |
| 13 | M | 65 | Oropharynx | T2N2b | IVA |
| 14 | M | 53 | Hypopharynx | T4aN2c | IVA |
| 15 | M | 66 | Oropharynx | T3N2b | IVA |
| 16 | M | 65 | Oropharynx | T3N2a | IVA |
| 17 | M | 46 | Oropharynx | T3N3 | IVB |
| 18 | M | 67 | Hypopharynx | T3N1 | III |
| 19 | F | 58 | Oropharynx | T3N1 | III |
| 20 | M | 48 | Hypopharynx | T3N1 | III |
Univariate analysis of risk factors associated with disease-free survival and overall survival rates (n = 20)
| Parameters | Disease-free survival (p value) | Overall survival (p value) |
|---|---|---|
| Clinical parameters | ||
| Age | 0.338 | 0.556 |
| Tumour location | 0.396 | 0.752 |
| Stage | 1.000 | 0.198 |
| Pre-treatment values of functional parameters and tumour volume | ||
| ADC (x 10-3 mm2/s) | 0.856 | 0.012* |
| Ktrans (min-1) | 0.116 | 0.026* |
| Ve | 0.754 | 0.293 |
| Vp | 0.165 | 0.342 |
| Tumour volume | 0.959 | 0.048* |
| Relative changes after 10 Gy of functional parameters and tumour volume | ||
| ΔADC (%) | 0.740 | 0.061 |
| ΔKtrans | 0.688 | 0.014* |
| ΔVe | 0.957 | 0.405 |
| ΔVp | 0.672 | 0.077 |
| ΔTumour volume (ml) | 0.495 | 0.486 |