Fig. 1

Fig. 2

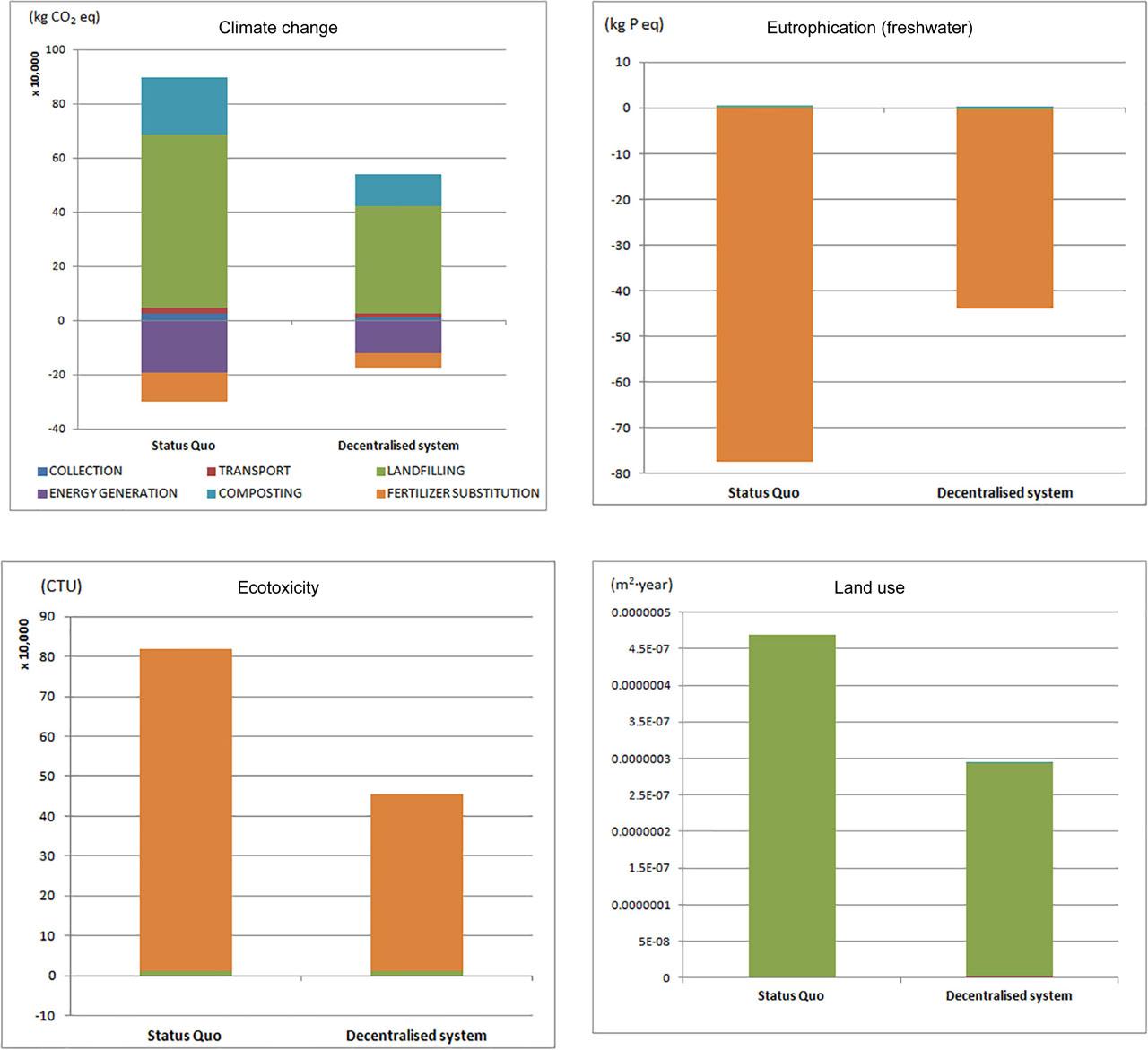
Fig. 3

Fig. 4

Fig. 5

Impact of decentralised composting on social sustainability per functional unit_
| Name of gmina | Human toxicity (CTU) | Ozone depletion (kg CFC-11 eq) | Particulatematter formation (kg PM2.5 eq) | Tropospheric ozone formation (kg NOx eq) | Ionising radiation (kBq Co-60 eq) |
|---|---|---|---|---|---|
| Aleksandrów Łódzki | 6.67E−05 | 1.92E−04 | 7.98E−03 | 5.26E−02 | 6.66E−03 |
| Andrespol | 1.22E−05 | 3.84E−05 | 1.92E−03 | 1.08E−02 | 1.82E−03 |
| Brójce | 4.09E−06 | 9.66E−06 | 4.91E−04 | 4.64E−03 | 2.81E−04 |
| Brzeziny (urban) | 5.69E−05 | 6.40E−04 | 1.79E−02 | 8.77E−02 | 1.57E−02 |
| Brzeziny (rural) | 5.62E−06 | 1.64E−05 | 8.18E−04 | 5.35E−03 | 7.02E−04 |
| Dłutów | 9.77E−06 | 3.09E−05 | 1.63E−03 | 9.25E−03 | 1.54E−03 |
| Dmosin | 5.48E−06 | 1.92E−05 | 9.31E−04 | 6.14E−03 | 7.82E−04 |
| Dobroń | 2.28E−06 | 7.15E−06 | 3.66E−04 | 2.07E−03 | 3.46E−04 |
| Głowno (urban) | 8.59E−05 | 3.00E−04 | 1.02E−02 | 6.72E−02 | 8.10E−03 |
| Głowno (rural) | 2.01E−06 | 7.12E−06 | 3.25E−04 | 2.15E−03 | 2.70E−04 |
| Jeżów | 1.54E−05 | 5.24E−05 | 2.41E−03 | 1.40E−02 | 2.21E−03 |
| Koluszki | 1.85E−05 | 1.00E−04 | 4.15E−03 | 3.28E−02 | 2.78E−03 |
| Konstantynów Łódzki | 1.22E−04 | 3.91E−04 | 1.72E−02 | 9.15E−02 | 1.66E−02 |
| Ksawerów | 2.13E−05 | 6.82E−05 | 3.74E−03 | 2.06E−02 | 3.63E−03 |
| Lutomiersk | 5.32E−06 | 1.83E−05 | 1.00E−03 | 6.22E−03 | 8.97E−04 |
| Łódź | 2.44E−04 | 7.44E−04 | 2.40E−02 | 1.98E−01 | 1.50E−02 |
| Nowosolna | 2.71E−06 | 8.44E−06 | 4.13E−04 | 2.49E−03 | 3.74E−04 |
| Ozorków (urban) | 1.86E−04 | 5.58E−04 | 1.96E−02 | 1.25E−01 | 1.62E−02 |
| Ozorków (rural) | 1.95E−05 | 5.96E−05 | 2.84E−03 | 1.84E−02 | 2.44E−03 |
| Pabianice (urban) | 2.85E−04 | 8.03E−04 | 3.30E−02 | 2.34E−01 | 2.58E−02 |
| Pabianice (rural) | 1.09E−07 | 4.04E−07 | 1.92E−05 | 1.39E−04 | 1.48E−05 |
| Parzęczew | 5.16E−05 | 2.00E−04 | 1.01E−02 | 6.26E−02 | 8.90E−03 |
| Rogów | 1.34E−05 | 5.15E−05 | 2.23E−03 | 2.05E−02 | 1.24E−03 |
| Rzgów | 6.62E−06 | 8.56E−06 | 5.45E−04 | 3.87E−03 | 4.79E−04 |
| Stryków | 6.35E−06 | 2.23E−05 | 1.28E−03 | 8.45E−03 | 1.10E−03 |
| Tuszyn | 1.95E−05 | 5.91E−05 | 2.60E−03 | 1.96E−02 | 1.93E−03 |
| Zgierz (urban) | 1.76E−04 | 5.89E−04 | 2.09E−02 | 1.34E−01 | 1.71E−02 |
| Zgierz (rural) | 3.67E−06 | 1.14E−05 | 5.44E−04 | 3.50E−03 | 4.68E−04 |
Impact of decentralised composting on economic sustainability per functional unit and total_
| Name of gmina | Unit costs | Status quo | Decentralised composting | |||
|---|---|---|---|---|---|---|
| CAPEX | OPEX | CAPEX | OPEX | CAPEX | OPEX | |
| PLN/Mg | PLN/Mg | Total cost in PLN | Total cost in PLN | Total cost in PLN | Total cost in PLN | |
| Aleksandrów Łódzki | 921.90 | 494.10 | 1,848,200.60 | 990,562.29 | 1,497,042.48 | 802,355.46 |
| Andrespol | 340.04 | 977.00 | 578,202.42 | 1,661,297.64 | 468,343.96 | 1,345,651.09 |
| Brójce | 797.26 | 866.71 | 227,705.87 | 247,542.27 | 184,441.76 | 200,509.24 |
| Brzeziny (urban) | 1,248.83 | 130.00 | 671,510.47 | 69,902.30 | 543,923.48 | 56,620.86 |
| Brzeziny (rural) | 940.91 | 788.93 | 237,664.32 | 199,276.67 | 192,508.10 | 161,414.10 |
| Dłutów | 386.15 | 1,222.00 | 139,502.32 | 441,468.27 | 112,996.88 | 357,589.30 |
| Dmosin | 2,328.79 | 415.80 | 180,539.34 | 32,234.90 | 146,236.87 | 26,110.26 |
| Dobroń | 368.21 | 1,222.00 | 223,418.19 | 741,463.16 | 180,968.74 | 600,585.16 |
| Głowno (urban) | 1,479.61 | 415.80 | 673,623.23 | 189,301.27 | 545,634.82 | 153,334.03 |
| Głowno (rural) | 3,191.76 | 415.80 | 155,741.97 | 20,288.96 | 126,151.00 | 16,434.06 |
| Jeżów | 3,182.60 | 975.50 | 136,352.33 | 41,793.35 | 110,445.39 | 33,852.61 |
| Koluszki | 1,660.46 | 937.14 | 815,208.21 | 460,093.10 | 660,318.65 | 372,675.41 |
| Konstantynów Łódzki | 576.38 | 1,222.00 | 898,101.39 | 1,904,089.85 | 727,462.13 | 1,542,312.78 |
| Ksawerów | 395.68 | 1,222.00 | 394,951.98 | 1,219,751.52 | 319,911.10 | 987,998.73 |
| Lutomiersk | 1,474.02 | 1,222.00 | 271,074.74 | 224,728.24 | 219,570.54 | 182,029.88 |
| Łódź | 532.53 | 501.62 | 30,315,305.33 | 28,555,726.09 | 24,555,397.32 | 23,130,138.13 |
| Nowosolna | 532.70 | 893.33 | 217,384.91 | 364,554.15 | 176,081.77 | 295,288.86 |
| Ozorków (urban) | 797.71 | 415.80 | 822,404.06 | 428,669.84 | 666,147.29 | 347,222.57 |
| Ozorków (rural) | 1,009.96 | 415.80 | 324,478.62 | 133,588.22 | 262,827.68 | 108,206.46 |
| Pabianice (urban) | 467.45 | 1,222.00 | 2,457,327.46 | 6,423,961.13 | 1,990,435.25 | 5,203,408.51 |
| Pabianice (rural) | 921.94 | 1,222.00 | 271,691.56 | 360,119.73 | 220,070.17 | 291,696.98 |
| Parzęczew | 1,666.09 | 363.27 | 214,442.66 | 46,756.05 | 173,698.56 | 37,872.40 |
| Rogów | 4,943.43 | 729.00 | 175,956.55 | 25,948.03 | 142,524.80 | 21,017.90 |
| Rzgów | 969.29 | 820.00 | 337,733.38 | 285,715.88 | 273,564.04 | 231,429.86 |
| Stryków | 2,224.16 | 415.80 | 746,287.89 | 139,516.28 | 604,493.19 | 113,008.19 |
| Tuszyn | 1,436.88 | 973.00 | 363,001.24 | 245,809.96 | 294,031.00 | 199,106.07 |
| Zgierz (urban) | 1,289.84 | 396.10 | 1,847,825.31 | 567,452.86 | 1,496,738.50 | 459,636.82 |
| Zgierz (rural) | 1,881.41 | 415.80 | 489,699.73 | 108,225.67 | 396,656.78 | 87,662.79 |
Impact of decentralised composting on environmental sustainability per functional unit_
| Name of gmina | Climate change (kg CO2 eq) | Freshwater eutrophication (kg P eq) | Ecotoxicity (CTU) | Land use (m2 × year) | Fossilfuel scarcity (kg oil eq) |
|---|---|---|---|---|---|
| Aleksandrów Łódzki | 2.28E+01 | −3.79E−03 | 4.24E+01 | 1.72E−11 | 1.84E+00 |
| Andrespol | 2.80E+00 | −7.74E−04 | 7.80E+00 | 9.96E−13 | 5.28E−01 |
| Brójce | 2.89E+00 | −1.79E−04 | 2.55E+00 | 2.19E−12 | 4.90E−02 |
| Brzeziny (urban) | 2.80E+01 | −1.14E−02 | 4.92E+01 | 4.70E−11 | 5.00E+00 |
| Brzeziny (rural) | 2.06E+00 | −3.26E−04 | 3.58E+00 | 1.20E−12 | 1.91E−01 |
| Dłutów | 2.30E+00 | −6.23E−04 | 6.27E+00 | 7.94E−13 | 4.45E−01 |
| Dmosin | 2.39E+00 | −3.69E−04 | 3.58E+00 | 1.68E−12 | 2.12E−01 |
| Dobroń | 5.32E−01 | −1.44E−04 | 1.46E+00 | 1.90E−13 | 1.00E−01 |
| Głowno (urban) | 3.39E+01 | −5.77E−03 | 5.60E+01 | 2.62E−11 | 2.26E+00 |
| Głowno (rural) | 8.75E−01 | −1.36E−04 | 1.31E+00 | 6.27E−13 | 7.33E−02 |
| Jeżów | 4.26E+00 | −1.04E−03 | 1.00E+01 | 2.29E−12 | 6.37E−01 |
| Koluszki | 1.73E+01 | −1.73E−03 | 1.31E+01 | 1.79E−11 | 6.58E−01 |
| Konstantynów Łódzki | 2.30E+01 | −7.91E−03 | 7.84E+01 | 6.93E−12 | 4.94E+00 |
| Ksawerów | 4.28E+00 | −1.38E−03 | 1.37E+01 | 8.58E−13 | 1.06E+00 |
| Lutomiersk | 1.92E+00 | −3.57E−04 | 3.46E+00 | 1.13E−12 | 2.49E−01 |
| Łódź | 1.29E+02 | −1.40E−02 | 1.56E+02 | 1.08E−10 | 3.48E+00 |
| Nowosolna | 8.02E−01 | −1.68E−04 | 1.72E+00 | 3.91E−13 | 1.06E−01 |
| Ozorków (urban) | 6.04E+01 | −1.10E−02 | 1.19E+02 | 3.87E−11 | 4.58E+00 |
| Ozorków (rural) | 7.13E+00 | −1.17E−03 | 1.25E+01 | 4.30E−12 | 6.68E−01 |
| Pabianice (urban) | 1.17E+02 | −1.57E−02 | 1.80E+02 | 7.74E−11 | 6.78E+00 |
| Pabianice (rural) | 6.39E−02 | −7.52E−06 | 7.19E−02 | 5.00E−14 | 3.76E−03 |
| Parzęczew | 1.79E+01 | −3.84E−03 | 3.38E+01 | 1.45E−11 | 2.48E+00 |
| Rogów | 1.27E+01 | −8.94E−04 | 8.89E+00 | 1.15E−11 | 2.26E−01 |
| Rzgów | 1.54E+00 | −1.99E−04 | 3.93E+00 | 9.11E−13 | 1.27E−01 |
| Stryków | 2.94E+00 | −4.26E−04 | 4.15E+00 | 1.96E−12 | 2.94E−01 |
| Tuszyn | 9.99E+00 | −1.12E−03 | 1.25E+01 | 7.90E−12 | 4.81E−01 |
| Zgierz (urban) | 6.38E+01 | −1.14E−02 | 1.14E+02 | 4.61E−11 | 4.82E+00 |
| Zgierz (rural) | 1.34E+00 | −2.25E−04 | 2.35E+00 | 8.18E−13 | 1.29E−01 |