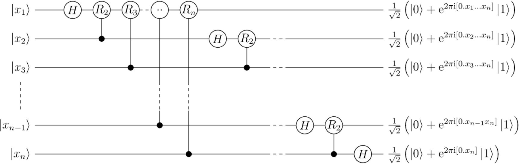
Figure 1.

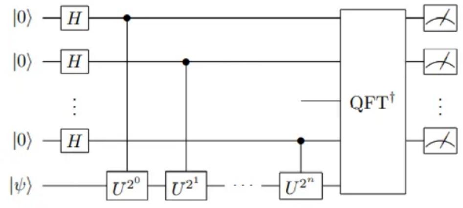
Figure 2.

Figure 3.

Figure 4.

Figure 5.

Figure 6.

Figure 7.

Figure 8.

Figure 9.

Figure 10.

Figure 11.

Figure 12.

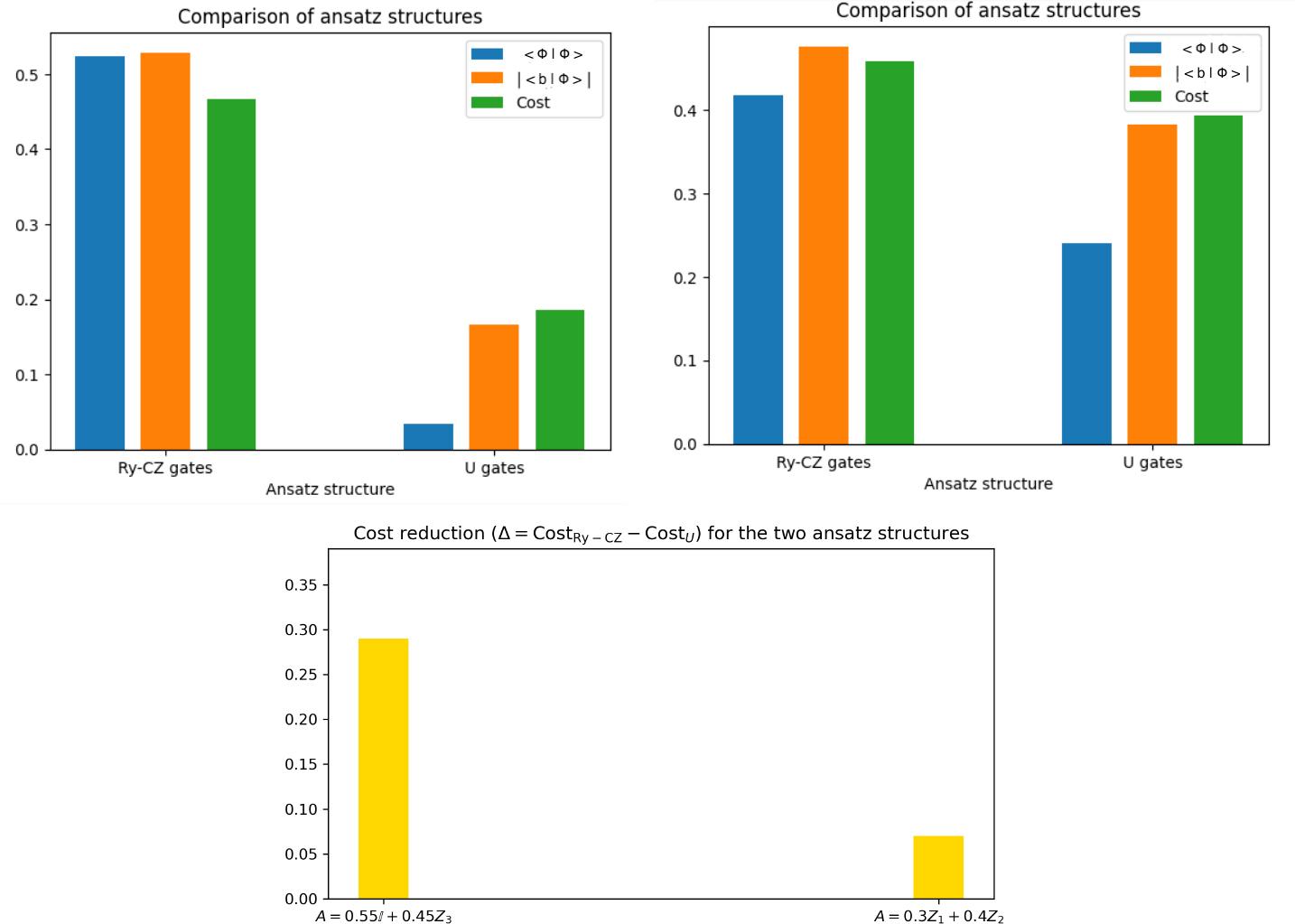
Comparison of the quantum solvers_
| Algorithm | Complexity | Ref. | Type | Limitations |
|---|---|---|---|---|
| HHL | O(s2κ2 log n/ϵ) | [13] | eigendecomposition | phase estimation, matrix density, condition number, Hamiltonians |
| WZP | [18] | eigendecomposition | phase estimation, condition number | |
| Row and column iteration | [20] | iterative | ancilla qubits, condition number | |
| VQLS | [24] | hybrid | ansatz option, condition number | |
| Random walks | ≥ O(log n) per xi | [27] | hybrid, Monte Carlo | scalability |