Quantum information science improves problem-solving using quantum effects. Quantum computer achieves exponential speedup in solving certain factoring problems [1] and complex system simulations [2,3,4]. Significant efforts were made to develop small-scale quantum computers across various physical systems [5,6,7,8,9,10,11]. Quantum algorithms on prototype machines showed benefits in solving specific problems [12,13,14,15,16]. Substantial progress has been made in the last 20 years in quantum algorithm and quantum technology [17]. However, progress in quantum automata was not significant, possibly due to the fact that quantum memory is still not industrially viable.
Quantum concepts can improve the capabilities of Finite Automaton (FA). FA is used to model mathematics, AI, games, and linguistics [18,19]. Quantum Finite Automaton (QFA) was invented independently by Kondacs and Watrious [20] and by Moore and Crutchfield [21]. Theoretical predictions suggest QFA is more efficient than classical FA. Another model called Quantum Finite State Machines (QFSM) was introduced in [22].
In [23], an optical QFA was developed for a proof-of-principle demonstration to solve the promise problem of determining whether the length of an input string can be divided by a prime number P with no remainder or with a remainder R using three-dimensional quantum states. It showed the resulting quantum automaton can solve such a problem using a state space with only three orthonormal states, whereas a classical automaton requires no less than P states. The circuit in [23] uses ternary quantum logic rather than standard binary quantum logic. There are two important contributions of paper [23]. First, it introduced multi-valued quantum logic for a practical application in quantum automata. Second, this machine was built in a real quantum optical technology in contrast to most published papers about quantum automata that are of a purely theoretical nature. In our opinion, [23] starts a new direction in the study and practical application of quantum automata. However, [23] only showed QFA’s advantage over classical Deterministic Finite Automaton (DFA) for solving a particular promise problem using a particular ternary unitary operation. Therefore its application is quite limited.
Our paper expands the work in [23] by developing a family of ternary rotation-based QFA and the Chrestenson family of ternary quantum gates [24] based QFA. The main idea of our paper is that we combine rotation-based machines and quantum reversible circuit machines to accept more complex languages. We further extend QFA applications to more practical scenarios such as pattern recognition and robotics applications.
The main contributions of our paper are: (1) introducing two new gates similar to the Chrestenson gate such that these gates enable the creation of arbitrary ternary permutative gates; (2) showing methods to realize many types of quantum automata using these gates; (3) introducing the concept of hybrid automata which combine traditional quantum automata with quantum realizations of DFA; and (4) demonstrating that such automata can find application in robotics.
Section 2 gives an overview of DFA versus QFA and QFA’s benefits over DFA. Section 3 explains the development of QFA using the Chrestenson family of ternary quantum gates. Section 4 shows how to combine a rotation-based ternary quantum circuit machine and a quantum reversible circuit machine to build a more powerful machine. Section 5 talks about extending QFA applications to more practical scenarios. Section 6 outlines new ideas of Quantum Finite State Machine with Data Path (QFSMD) to enable more powerful quantum circuits by introducing truly quantum gates such as Hadamard. Section 7 concludes and summarizes our paper.
A Deterministic Finite Automaton (DFA) is a finite state machine that accepts or rejects input strings of symbols. In automata theory, a finite state machine is called a Deterministic Finite Automaton if each of its transitions is uniquely determined by its source state and input symbol; and reading an input symbol is required for each state transition [25].
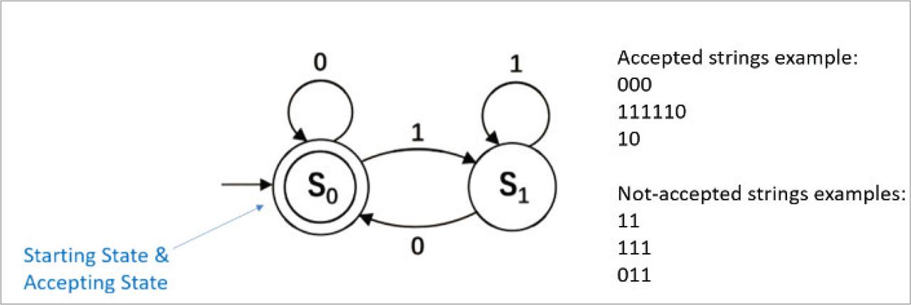
Figure 1 is the state diagram of a typical example of DFA [23]. As shown in Figure 1, a DFA has a starting state and a set of accepting states. Starting state is where computations begin, which is denoted graphically by an arrow coming in from nowhere. Accepting states are denoted graphically by a double circle. In this example automaton, there are two states S0 and S1, which are denoted graphically by circles. The automaton takes a finite but arbitrarily long sequence of 0s and 1s as input. For each state, there is a transition arrow leading out to the next state for both 0 and 1. Upon reading an input symbol, a DFA jumps deterministically from one state to another by following the transition arrow. For example, if the automaton is currently in state S0 and the current input symbol is 1, then it deterministically jumps to state S1. If the automaton ends at an accepting state after reading the last symbol of the input string, this string of symbols is considered as being accepted by the DFA; or else, it is considered as being rejected by the DFA. DFAs are often used to solve decision problems, which are defined as computational problems where the answer for every instance is either Yes or No. Figure 1 also shows examples of accepted strings such as 000, 111110, and 10, and examples of not-accepted strings such as 11, 111, and 011. This DFA can be realized in a classical Boolean logic circuit with Boolean gates and D Flip-Flops. However, this machine can also be built as a quantum automaton with quantum realization of transition and output functions and measurements followed by classical D Flip-Flops [26]. This is illustrated in Figure 2. [26] gives a complete explanation on how to realize this type of quantum automata with classical memory in minimized quantum circuit.

The State Diagram of a Typical DFA.
Figure 2 shows a quantum automaton with quantum realization of the DFA of Figure 1. The state transitions are:

Quantum Automaton with Quantum Realization of DFA of Figure 1.
Figure 3 shows a general Quantum Finite Automaton (QFA). QFA is the quantum version of DFA and it is realized by changing the basic elements of DFA to quantum components. The upper part of Figure 3 represents the input string that goes to the controller of a quantum state machine represented in the lower part of Figure 3. The controller is a classical computer. This controller of the hybrid system creates pulses to initialize the state |ψ0〉 in the quantum circuit presented in the lower part. Next, the controller creates pulses corresponding to symbols of the input string. Finally, the controller creates measurement pulses at the end of the input string. As shown in Figure 3, inside a QFA circuit sits a quantum state |ψ〉 with m orthonormal basis states |0〉, |1〉, ..., |m − 2〉, |m − 1〉. One or several of the m basis states are designated as accepting states. Before the computation starts, the QFA rests at a starting state |ψ0〉. The computation of a QFA with an input string σ1σ2...σn−1σn (σi is the ith symbol of the string) works as follows: The QFA reads in the input string from left to right, symbol by symbol. Upon reading a symbol σi, a corresponding unitary operator Uσi is applied to the state. After reading the last symbol of the input string, the final state of the QFA would be |ψn〉 = UσnUσn–1 … Uσ2Uσ1 |ψ0〉. A projective measurement in the basis of |0〉, |1〉, ..., |m − 2〉, |m − 1〉 is then applied on |ψn〉 and the state would be projected to one of the m basis states. If the state is projected to an accepting state, the string is regarded as being accepted by the QFA; otherwise, the string is rejected [23]. The General QFA from Figure 3 is basically the same as a standard quantum computer. In [23], all the unitary operators Uσi are the same. Observe that m can be an arbitrarily large number. The input string of symbols is received by the classical computer. For every input symbol that the classical computer (defined above as a controller) receives, it creates a respective quantum rotation operation in the quantum computer that the classical computer controls. Observe that the quantum automaton in Figure 3 uses quantum states as intermediate states without measurements, while the automaton from Figure 2 uses measurements to create a classical state corresponding to a current quantum state for every transition, which means for every symbol of the input string. The idea of our paper is to combine these two different models of quantum automata into one powerful hybrid model.

The State Diagram of a General QFA.
It has been shown that Quantum Finite Automaton (QFA) can solve certain promise problems with a significantly smaller state space than a classical Deterministic Finite Automaton (DFA) [23]. An optical quantum automaton was demonstrated to determine if an input string length is divisible by a prime number P or leaves a remainder R in [23]. The QFA in [23] assumes |0〉 as the only accepting state. After the projective measurement on the final state, the QFA will deterministically obtain classical state 0 and accept the input string when its length is an integer multiple of a prime number P; the QFA will probabilistically obtain either classical state 1 or 2 and reject the input string when its length is not an integer multiple of a prime number P. The QFA from [23] with ternary encoding uses only three orthonormal states, whereas a standard DFA with binary encoding of states requires at least P states [27], showcasing the advantages of QFA and its potential for more complex applications. However, [23] only showed QFA's advantage to DFA for solving a particular promise problem using a particular ternary unitary operation. Its application is quite limited. Next, we will expand the work in [23] by developing the Chrestenson family of ternary quantum gates [24] based QFA. We further extend QFA applications to more practical scenarios such as pattern recognition and robotics applications.
In this section, we will explain the development of QFA using the Chrestenson family of ternary quantum gates [24]. We use the Chrestenson family of ternary operation because one of those gates was already realized by several companies and universities in various quantum technologies.
An equivalent of the binary quantum Hadamard gate in ternary quantum logic is one of the Chrestenson family of gates and their generalizations [24,28,29,30]. The complex third root of unity for Chrestenson gate is:
In addition to the well-known Chrestenson gate denoted by CH, we are introducing two new counterparts of Chrestenson gates defined by CH2 and CH3. Note these gates are just permutations of the well-known gate CH. Observe that we prove the well-known permutative gates (1 2), (0 2), and (0 1) can be created from gate CH and our newly introduced gates CH2 and CH3. The Chrestenson gate unitary matrices CH, CH2, CH3 and their powers CH2, CH22, CH32 are defined below.
Our extended Chrestenson gate unitary matrices CHC1 and CHC2 are defined below.
We further define the following two Plus1 and Plus2 matrix operations that we call ternary rotations.
CHC1 is the same as Plus 1. CHC2 is the same as Plus 2. These gates are well known in ternary quantum circuit synthesis. The equations for Plus1, Plus2, (1 2), (0 2), and (0 1) derived earlier prove that all permutative ternary single qutrit quantum gates can be built from any two of gates from set {CH, CH2, CH3}.
The Chrestenson gate CH was realized practically in transmon technology [31]. To the best of our knowledge, the gates CH2 and CH3 were not realized practically yet. However, these gates are only permutations of rows and columns of matrix CH. Therefore, we believe these gates can be realized similarly to gate CH. Observe that gates (1 2), (0 2), (0 1), Plus1, Plus2, and many others can be realized from the three gates introduced above and other permutations. Many authors assume the above-listed permutation gates or their subsets as fundamental basic gates [28]. We however demonstrated above that all ternary permutative quantum single-qutrit gates can be realized only from CH and CH2, or from CH and CH3, or from CH2 and CH3. Therefore building any two variants of the Chrestenson gate becomes sufficient to design an arbitrary ternary quantum circuit or quantum automaton with single-qutrit gates. Next, some two-qutrit gates can be built [29,30], which allows the construction of an arbitrary permutative ternary quantum circuit such as an oracle for the Grover algorithm. Observe that in binary quantum logic the smallest universal permutative gate has three qubits, while in ternary quantum logic the smallest universal permutative gate has only two qutrits. This makes synthesis in this logic quite different than in standard binary quantum logic. Interesting automata can be built by mixing binary and ternary bases.
This section describes our new design on rules of the Chrestenson family unitary matrix that can be applied to QFA. We define basic quantum ternary states |0〉, |1〉, |2〉 as follows.
In (1)–(3), |0〉, |1〉, and |2〉 is the Dirac notation of basic quantum ternary states; to the right of the equation sign above is the Heisenberg notation of quantum ternary state.
We assume B is the starting state and B can be ternary state |0〉, |1〉, |2〉. We found the following rules of the Chrestenson family ternary matrix operation that can be applied to QFA.
Rule 1: Assume B = |1〉 and B is the starting state and the only accepting state. CH2 = (1 2). When applying CH2 to B 2n times, where n is an integer greater than 0, the final state is the same as the starting state and the accepting state B.
Rule 2: Assume B = |2〉 and B is the starting state and the only accepting state. CH2 = (1 2). When applying CH2 to B 2n times, where n is an integer greater than 0, the final state is the same as the starting state and the accepting state B.
Rule 3: Assume B = |0〉 and B is the starting state and the only accepting state. CH22 = (0 2). When applying CH22 to B 2n times, where n is an integer greater than 0, the final state is the same as the starting state and the accepting state B.
Rule 4: Assume B = |2〉 and B is the starting state and the only accepting state. CH22 = (0 2). When applying CH22 to B 2n times, where n is an integer greater than 0, the final state is the same as the starting state and the accepting state B.
Rule 5: Assume B = |0〉 and B is the starting state and the only accepting state. CH32 = (0 1). When applying CH32 to B 2n times, where n is an integer greater than 0, the final state is the same as the starting state and the accepting state B.
Rule 6: Assume B = |1〉 and B is the starting state and the only accepting state. CH32 = (0 1). When applying CH32 to B 2n times, where n is an integer greater than 0, the final state is the same as the starting state and the accepting state B.
Rule 7: Assume B = |0〉 and B is the starting state and the only accepting state. CHC1 = Plus 1. When applying CHC1 to B 3n times, where n is an integer greater than 0, the final state is the same as the starting state and the accepting state B.
Rule 8: Assume B = |0〉 and B is the starting state and the only accepting state. CHC2 = Plus 2. When applying CHC2 to B 3n times, where n is an integer greater than 0, the final state is the same as the starting state and the accepting state B.
Rule 9: Assume B = |0〉 and B is the starting state & F = |1〉 and F is the accepting state. When applying Plus1 to B 3n + 1 times, where n is an integer greater than or equal to 0, the final state is the accepting state F.
Rule 10: Assume B = |0〉 and B is the starting state & F = |2〉 and F is the accepting state. When applying Plus1 to B 3n + 2 times, where n is an integer greater than or equal to 0, the final state is the accepting state F.
Rule 11: Assume B = |0〉 and B is the starting state & F = |1〉 and F is the accepting state. When applying Plus2 to B 3n + 1 times, where n is an integer greater than or equal to 0, the final state is the accepting state F.
Rule 12: Assume B = |0〉 and B is the starting state & F = |2〉 and F is the accepting state. When applying Plus2 to B 3n + 2 times, where n is an integer greater than or equal to 0, the final state is the accepting state F.
Rule 13: Assume B = |1〉 and B is the starting state and the only accepting state. When applying Plus1 and Plus2 to B n times, where n is an integer greater than or equal to 1, as long as the number of times Plus1 is applied is equal to the number of times Plus2 is applied, the final state is the same as the starting state and the only accepting state B.
Figure 4 is the state diagram of a general hybrid QFA with Uσi using matrices of gates CH, CH2, CH3, CH2 = (1 2), CH22 = (0 2), CH32 = (0 1), CHC1, and CHC2. All the Rules from Section 3.1 can be used to design the general hybrid QFA as shown in Figure 4.

The State Diagram of a General QFA with Uσi Using Chrestenson Family Matrix.
The QFA in Figure 4 can be used to determine an input string pattern using a quantum state space with only three orthonormal basis states. QFA encodes quantum states with qutrits using three orthonormal basis states |0〉, |1〉, and |2〉. For example, we can apply Rule 1 from Section 3.1 to the QFA in Figure 4 to detect an input string pattern of a2n, where n is an integer equal to or greater than 1. Assume B = |1〉 and B is the starting state and the only accepting state. Upon reading in a symbol, the same Chrestenson family of ternary matrix operation Uσi = CH2 is applied to the current quantum state. If the input string pattern is a2n, where n is an integer equal to or greater than 1, the final state is the accepting state.
We can also apply Rule 7 or Rule 8 from Section 3.1 to the QFA in Figure 4 to detect an input string pattern of a3n, using the extended Chrestenson gate unitary matrix CHC1 or CHC2 as Uσi, where n is an integer equal to or greater than 1. We can also use the Plus1 and Plus2 unitary matrix as Uσi to detect input string patterns with an equal number of a's and b's using Rule 13 from Section 3.1.
We can use the QFA in Figure 4 to solve for many more different promise problems and pattern and language recognition problems by applying the Rules from Section 3.1. We can further use the combinations of CH2, CH22, CH32, CHC1, CHC2, Plus1, and Plus2 ternary operation as Uσi. This can facilitate the development of more powerful and versatile quantum circuits, enabling advanced and efficient robotics applications.
This section shows how to combine a rotation ternary quantum circuit-based QFA and a quantum reversible circuit-based DFA to build a more powerful machine, enabling more complex language and pattern recognition.
As parts of our generalized quantum automata, we can build normal classical Deterministic Finite Automaton (DFA), which is discussed in [26]. An example of such machine M1 is shown in Figure 5. We can also build any machine based on rotations as discussed in Section 3. An example of such machine M2 is shown in Figure 6 using Plus1 and Plus2 ternary operation on input symbols a and b respectively. Assume that M1 is a quantum realization of classical DFA automaton. Assume that M2 is the quantum realization of rotation-based QFA automaton. The main idea of this paper is that we combine machines of type M1 and M2 by some kind of arbitrary Boolean function. The combined machine is more powerful than the normal classical DFA machine M1 or machine M2 and can enable more complex language recognition. The above-mentioned Boolean function can be realized either as a quantum reversible permutative circuit with Toffoli, Feynman, and NOT gates or by using a standard Boolean function or program realized in the controller.

The State Diagram of a Normal Classical DFA Machine M1.

QFA Machine M2 Based on Rotation Ternary Quantum Circuits using Plus1 and Plus2 Ternary Operations.
Figure 7 shows an example of a combined machine M_combo1 with logic AND of Machine M1 and Machine M2. Machine M_combo1 can recognize the language pattern of anbn. Machine M1 recognizes all sequences with arbitrary number of a's and arbitrary number of b's in which the symbols a are before symbols b. Machine M2 recognizes all sequences with equal number of a's and b's, regardless of the order of a's and b's. Therefore, Machine M_combo1= M1 ∩ M2 recognizes language in which a's are always before b's and the number of a's is always equal to the number of b's.

Machine M_combo1 with Logic AND of Machines M1 and M2.
Figure 8 shows machines M3 and M5. Machine M3 can recognize language L3 with a pattern of (aaa)*, where * is an iteration operation of regular languages. Machine M5 can recognize language L5 with a pattern of (aaaaa)*.
Figure 9 shows a combination of machine M_combo2 with logic AND of Machine M3 and Machine M5. Machine M_combo2 can recognize language L15 with pattern (a15)*.
Figure 10 shows an example of a combination of machine M_combo3 with logic AND of Machine M17, M23, and M31. Machine M17, M23, and M31 can detect prime numbers 17, 23, and 31, respectively, and detect language (a17)*, (a23)*, and (a31)*, respectively. Machine M_combo3 can detect number 12121 which is the product of numbers 17, 23, and 31 and can detect language L_combo3 which is (a12121)*. Machines M17, M23, and M31 only need 3 state space each as explained in [23]. Machine M_combo3 also only needs 3 state space even though it can detect a large number 12121 or complex language L_combo3.

Machine M3 and Machine M5.

Machine M_combo2 with Logic AND of Machines M3 and M5.

Machine M_combo3 with Logic AND of Machines M17, M23, M31.
In this section, we will extend applications of our Generalized Hybrid Quantum Finite Automata (GHQFA) to more practical scenarios and describe how these machines can be used in robotics. Figure 11 shows the overall flowchart of QFA applications in robotics.
Figure 11 shows a step-by-step process for recognizing various patterns with GHQFA in robotics application. The flowchart [26] starts with various sensory inputs such as a camera for visual data, microphone for audio data, and light. These sensory inputs are captured by the Sensor block, which collects and converts the raw data into a form that can be further processed. The processed sensor data is then transformed into a sequence of characters (e.g., a sequence of codes, letters, etc.). The sequence of characters is interpreted as language, and then fed into the GHQFA for pattern recognition. Examples of pattern recognition using the GHQFA include language recognizer, gesture recognizer, posture recognizer, music recognizer, motion and emotion recognizer, and dance pattern recognizer. All of these are essential for robotics applications. We will give examples of language recognizer and gesture recognizer next.

GHQFA Application in Robotics.
Observe that in robotics many problems can be reduced to recognizing languages. For instance, symbols like a or b can correspond to recognizing images of human faces or doors or obstacles when a robot follows the wall of a long corridor. We can order the robot to stop after passing 14 doors on the left, which corresponds to language a14. The following are some examples of this type of language recognizers, where symbols a and b below correspond to recognizing arbitrary patterns, objects, or situations by the perception sub-system of the robot.
There can be many languages recognized using the Chrestenson family and extended Chrestenson family of ternary operation-based QFA similar to the above examples.
Figure 12 shows the work we did for quantum motion and emotion by a humanoid robot controlled by quantum circuits. Emotions are represented by quantum states of the controlling automaton while motions are external actions corresponding to internal emotions [32]. With GHQFA, we can have more powerful quantum circuits and generate more versatile robot gestures and motions. Because machines can be probabilistic, every behavior of the robot can be somehow different, although following certain fixed programmed patterns represented as a flowchart. There can be many gestures recognized and generated in GHQFAs that use the Chrestenson family and extended Chrestenson families of ternary operations, as shown in the above examples. In the future, the GHQFA can be extended to quantum logics with more than three basic quantum states. Practically, it can be extended to four or five basic quantum states. Hybrid deterministic machines can also be created with various mixed bases. Probabilistic and deterministic/probabilistic machines with mixed bases can also be built.

HR-OS5 Humanoid Robot Actor.
The authors of [26] introduced a new method for synthesizing quantum automata from flowcharts using one-hot encoding. The one-hot encoding leads to simpler excitation functions with fewer inputs, leading to Toffoli gates with fewer inputs, therefore minimizing the quantum circuit cost. States are disjoint in one-hot encoding and the method in [26] is beneficial for quantum circuits due to the synthesis based on XOR operations that are a base of CNOT and CCNOT gates. This section talks about combining the idea of GHQFA with Quantum Finite State Machines (QFSM) from published papers [22,26] to the even more advanced concept of Quantum Finite State Machine with Datapath (QFSMD) to enable more powerful quantum circuits for robotics real-time control. The focus is to build a QFSM quantum automaton on top of one or more Quantum Finite Automata (QFA) or Generalized Hybrid Quantum Finite Automata (GHQFA). Figure 13 shows a simple example of QFSM built on top of QFA.
Figure 13 shows a Quantum Finite State Machine with Datapath (QFSMD) for language recognition. The concept of FSMD (Finite State Machine with Data Path) is well known in digital engineering and computer architecture. Such a machine is composed of a controlling automaton and a data path circuit. Controlling automaton sends control signals to the data path, such as A:=A + 1. Data path circuit is composed of registers, memories, arithmetic circuits, and predicate circuits (comparators). It sends status signals to the controller (such as A = 5). For instance, L1 and L0 can be control signals and FLAG can be a feedback signal from the data path.

QFSMD Quantum Finite State Machine with Datapath for Language Recognition.
At the beginning in Figure 13, the machine deterministically recognizes the language L0. If the machine recognizes language L0, then the machine goes on to recognize language L1. If language L0 is not recognized, the machine is stopped.
Language L1 is recognized by some QFA. Language L1 has 3 possible recognized values 0, 1, and 2 given as feedback signals to the controller. Here the recognition process by QFA can be probabilistic or deterministic. The results of measurement (obtained probabilistically) are set to a standard FLAG, which is a variable with values 0, 1, or 2.
Now we go back to deterministic automata and we read the value of the flag.
If FLAG = 0, we go deterministically to recognize language L2.
If FLAG = 1, we go deterministically to recognize language L3.
If FLAG = 2, we go deterministically to recognize language L4.
The decision from QFA is deterministic when FLAG = 0. The way to obtain FLAG = 0 is deterministic. The way to obtain FLAG = 1 or FLAG = 2 can be probabilistic or deterministic through QFA, but the decision of what the robot does after FLAG = 1 or FLAG = 2 (which is L3 or L4) is deterministic.
In this paper, we developed various hybrid quantum finite automata using the Chrestenson family of ternary quantum gates and other similar gates. The main idea of this paper is to show how to combine rotation ternary quantum circuit-based QFA machine and quantum reversible circuit-based DFA machine (QFSM) to build various more powerful quantum hybrid machines. The combined machines enable more complex language and pattern recognition as well as real-time behavior in robot environments. The resulting GHQFA, QFSMD, and Generalized Hybrid Quantum Finite Automata with Datapath (GHQFSMD) machines can be used to build more powerful and versatile robotics controls. They can be used for robotics applications such as language recognizer, gesture recognizer and motion recognizer, localization, and navigation. We realize that, at this point in time, quantum technologies only allow the construction of small hybrid automata. However, [23] demonstrated that quite interesting languages can be recognized using optical technology. For instance, our method allows a robot to recognize languages as complicated as L_combo3 (from Section 4) when using ternary optical technology and relatively simple quantum hardware.
Although all examples given in this paper are rather simple and straightforward, the general methodology of creating hybrid quantum automata as outlined in Section 6 is very powerful because it can compose machines from hierarchical parallel and sequential structures of blocks. It is well known from digital design theory and practical computer architecture that advanced systems are built from such hierarchies of classical blocks such as counters, adders, etc. We believe that the same methodology can be invented for hybrid quantum automata. In our current research, we work on hybrid quantum controllers for practical robotic applications. Although contemporary quantum computers have a limited number of qudits and so far only qutrits seem to be more practical, we believe that fast progress in quantum technology (especially optical) will allow the realization of larger quantum hybrid automata in the near future. Observe that our quantum hybrid automata can collaborate with other quantum building blocks that will execute specific control, pattern recognition, robot vision, Machine Learning, artificial intelligence, and security tasks [12,14,15,17,18,20,22,24,26,28,32,33,34].