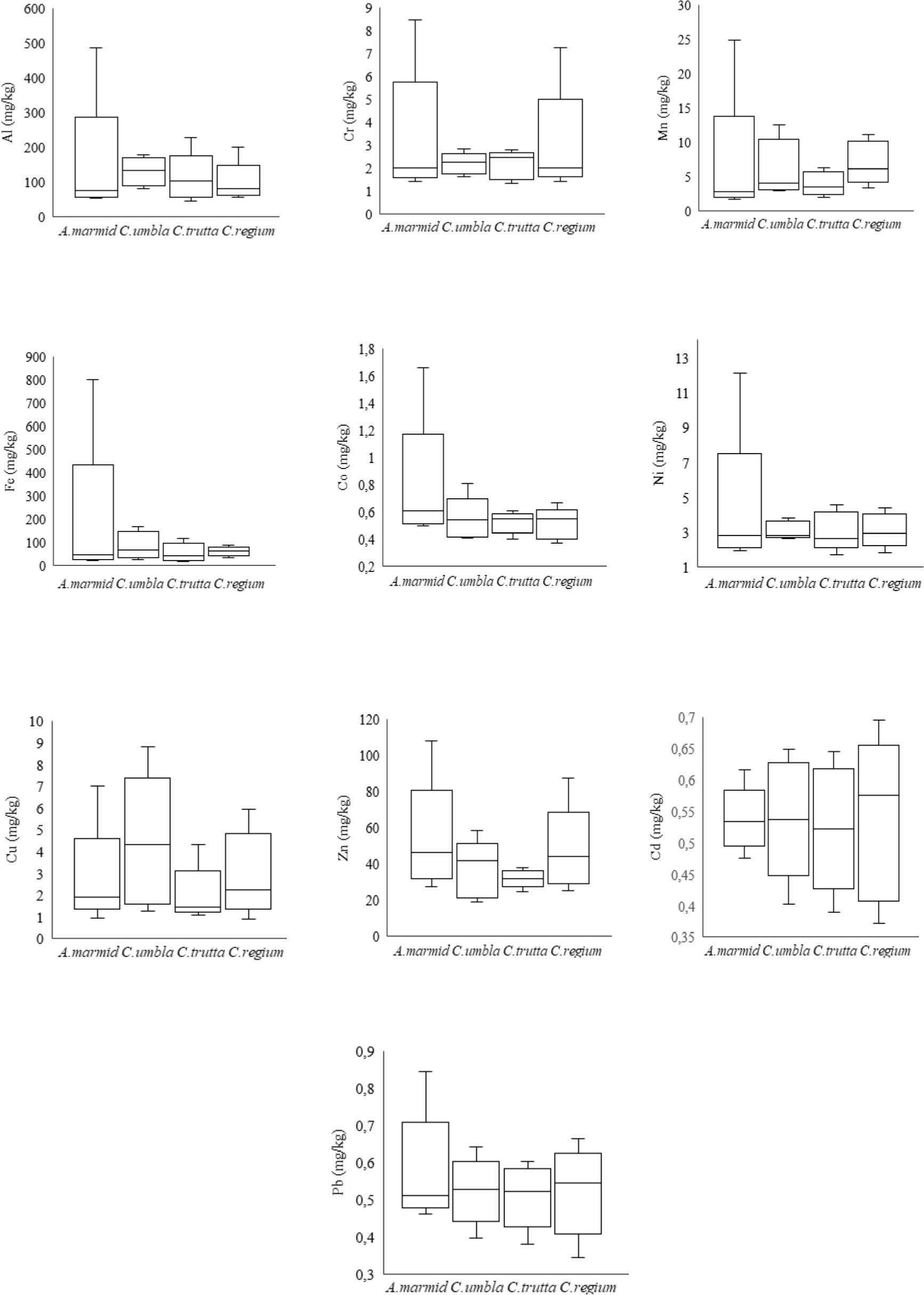
Figure 1

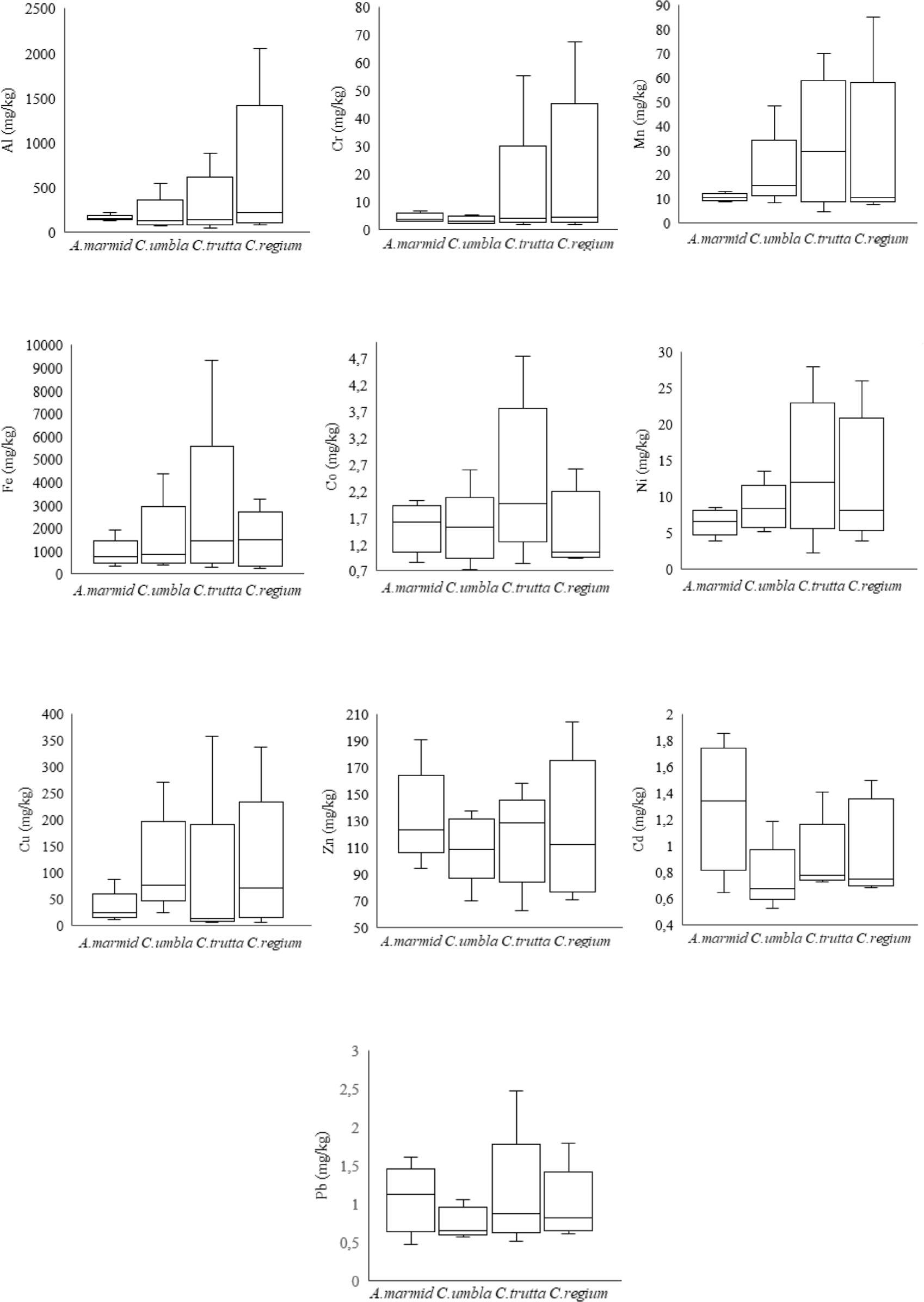
Figure 2

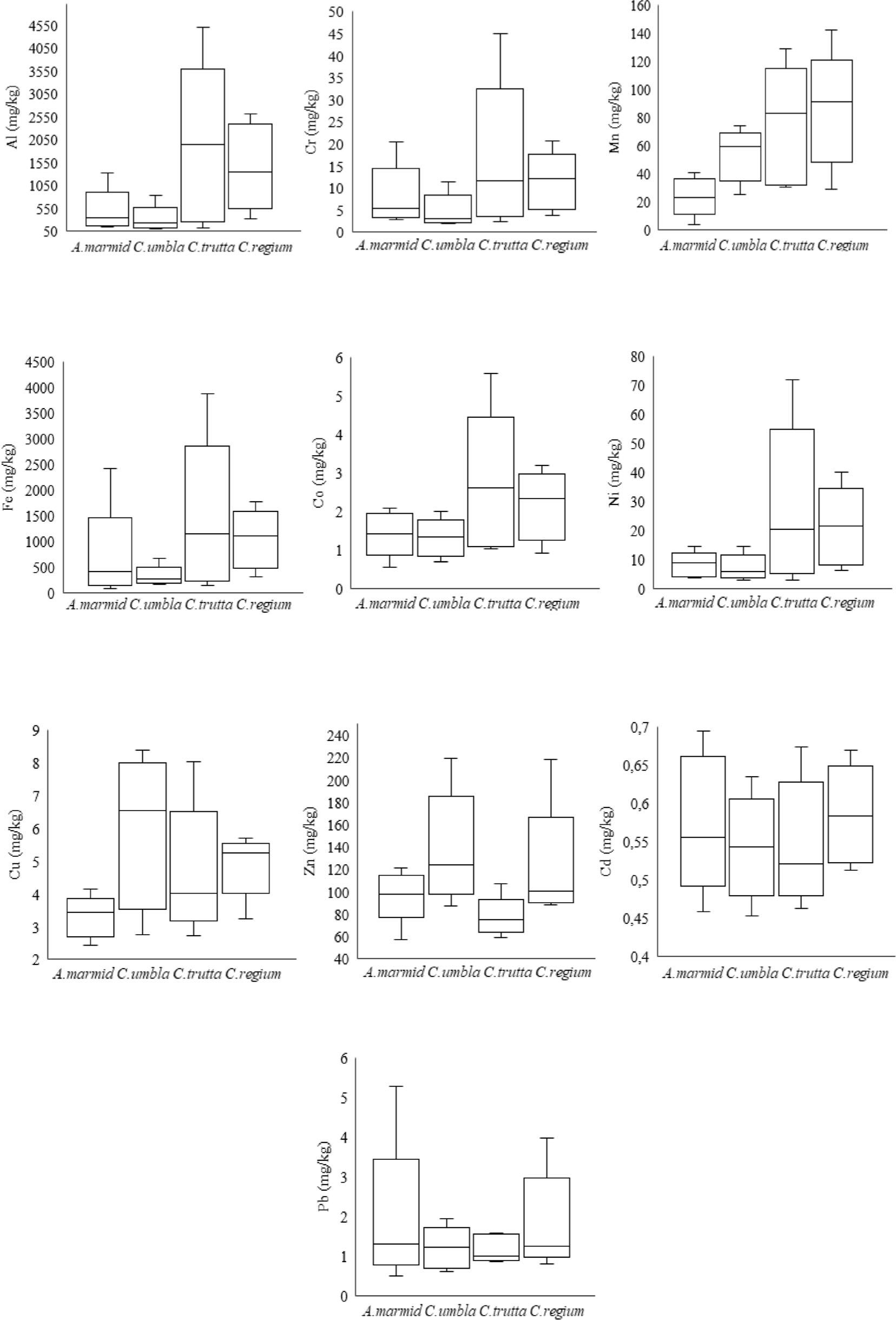
Figure 3

Figure 4

Pearson correlation coefficient (R) and levels of significance (p) for the relationships between heavy metal concentrations in tissues of four fish species caught in the Karasu River and fish size (length and weight)
| Tissue | Fishes | Al | Cr | Mn | Fe | Co | Ni | Cu | Zn | Cd | Pb | |
|---|---|---|---|---|---|---|---|---|---|---|---|---|
| A. marmid | ||||||||||||
| Muscle | Length | R value | 0.634 | 0.748 | 0.608 | 0.613 | 0.702 | 0.648 | 0.717 | 0.840 | 0.950 | 0.786 |
| p value | aNS | NS | NS | NS | NS | NS | NS | b* | c** | * | ||
| Weight | R value | 0.798 | 0.893 | 0.774 | 0.783 | 0.857 | 0.803 | 0.848 | 0.933 | 0.968 | 0.915 | |
| p value | * | ** | * | * | * | * | * | ** | ** | ** | ||
| Liver | Length | R value | 0.777 | 0.905 | 0.964 | 0.879 | 0.980 | 0.989 | 0.778 | 0.883 | 0.992 | 0.988 |
| p value | * | ** | ** | ** | ** | ** | * | ** | ** | ** | ||
| Weight | R value | 0.899 | 0.984 | 0.964 | 0.971 | 0.912 | 0.947 | 0.916 | 0.957 | 0.965 | 0.975 | |
| p value | ** | ** | ** | ** | ** | ** | ** | ** | ** | ** | ||
| Gill | Length | R value | 0.795 | 0.813 | 0.965 | 0.713 | 0.990 | 0.935 | 0.989 | 0.899 | 0.975 | 0.750 |
| p value | * | * | ** | NS | ** | ** | ** | ** | ** | NS | ||
| Weight | R value | 0.922 | 0.940 | 0.937 | 0.859 | 0.943 | 0.980 | 0.963 | 0.827 | 0.974 | 0.877 | |
| p value | ** | ** | ** | * | ** | ** | ** | * | ** | ** | ||
| C. umbla | ||||||||||||
| Muscle | Length | R value | 0.974 | 0.990 | 0.873 | 0.958 | 0.931 | 0.897 | 0.972 | 0.981 | 0.968 | 0.969 |
| p value | ** | ** | * | ** | ** | ** | ** | ** | ** | ** | ||
| Weight | R value | 0.946 | 0.967 | 0.939 | 0.981 | 0.986 | 0.938 | 0.990 | 0.965 | 0.932 | 0.932 | |
| p value | ** | ** | ** | ** | ** | ** | ** | ** | ** | ** | ||
| Liver | Length | R value | 0.792 | 0.925 | 0.814 | 0.826 | 0.940 | 0.972 | 0.855 | 0.935 | 0.830 | 0.851 |
| p value | * | ** | * | * | ** | ** | * | ** | * | * | ||
| Weight | R value | 0.908 | 0.954 | 0.917 | 0.928 | 0.962 | 00.991 | 0.936 | 0.883 | 0.918 | 0.899 | |
| p value | ** | ** | ** | ** | ** | ** | ** | ** | ** | ** | ||
| Gill | Length | R value | 0.827 | 0.836 | 0.975 | 0.882 | 0.982 | 0.937 | 0.969 | 0.941 | 0.970 | 0.967 |
| p value | * | * | ** | ** | ** | ** | ** | ** | ** | ** | ||
| Weight | R value | 0.930 | 00.939 | 0.895 | 0.967 | 0.976 | 0.994 | 0.921 | 0.991 | 0.960 | 0.971 | |
| p value | ** | ** | ** | ** | ** | ** | ** | ** | ** | ** | ||
| C. trutta | ||||||||||||
| Muscle | Length | R value | 0.849 | 0.949 | 0.904 | 0.875 | 0.994 | 0.919 | 0.716 | 0.951 | 0.957 | 0.991 |
| p value | * | ** | ** | ** | ** | ** | NS | ** | ** | ** | ||
| Weight | R value | 0.932 | 0.949 | 0.933 | 0.927 | 0.961 | 0.928 | 0.833 | 0.952 | 0.969 | 0.967 | |
| p value | ** | ** | ** | ** | ** | ** | * | ** | ** | ** | ||
| Liver | Length | R value | 0.777 | 0.568 | 0.903 | 0.683 | 0.880 | 0.928 | 0.571 | 0.989 | 0.717 | 0.756 |
| p value | * | NS | ** | NS | ** | ** | NS | ** | NS | * | ||
| Weight | R value | 0.880 | 0.702 | 0.949 | 0.805 | 0.944 | 0.965 | 0.711 | 0.957 | 0.838 | 0.864 | |
| p value | ** | NS | ** | * | ** | ** | NS | ** | * | * | ||
| Gill | Length | R value | 0.875 | 0.810 | 0.885 | 0.832 | 0.850 | 0.848 | 0.829 | 0.868 | 0.889 | 0.824 |
| p value | ** | * | ** | * | * | * | * | * | ** | * | ||
| Weight | R value | 0.948 | 0.913 | 0.940 | 0.928 | 0.940 | 0.922 | 0.915 | 0.937 | 0.942 | 0.848 | |
| p value | ** | ** | ** | ** | ** | ** | ** | ** | ** | * | ||
| C. regium | ||||||||||||
| Muscle | Length | R value | 0.826 | 0.774 | 0.954 | 0.991 | 0.973 | 0.979 | 0.949 | 0.909 | 0.961 | 0.990 |
| p value | * | * | ** | ** | ** | ** | ** | ** | ** | ** | ||
| Weight | R value | 0.867 | 0.821 | 0.973 | 0.986 | 0.961 | 0.978 | 0.980 | 0.935 | 0.932 | 0.969 | |
| p value | * | * | ** | ** | ** | ** | ** | ** | ** | ** | ||
| Liver | Length | R value | 0.817 | 0.802 | 0.799 | 0.923 | 0.850 | 0.900 | 0.868 | 0.937 | 0.878 | 0.856 |
| p value | * | * | * | ** | * | ** | * | ** | ** | * | ||
| Weight | R value | 0.868 | 0.858 | 0.856 | 0.930 | 0.902 | 0.936 | 0.905 | 0.958 | 0.931 | 0.895 | |
| p value | * | * | * | ** | ** | ** | ** | ** | ** | ** | ||
| Gill | Length | R value | 0.963 | 0.974 | 0.985 | 0.984 | 0.983 | 0.954 | 0.932 | 0.758 | 0.950 | 0.857 |
| p value | ** | ** | ** | ** | ** | ** | ** | * | ** | * | ||
| Weight | R value | 0.976 | 0.977 | 0.964 | 0.985 | 0.970 | 0.963 | 0.860 | 0.806 | 0.955 | 0.899 | |
| p value | ** | ** | ** | ** | ** | ** | * | * | ** | ** | ||
Size ranges and relationships between weight (W) and total length (TL) of the sampled fish caught in the Karasu River
| Fish | n | TL ranges | W ranges | aEquation | R value |
|---|---|---|---|---|---|
| A.marmid | 35 | 11–20.9 | 20.0–82.0 | y = 0.0312 x2.5535 | 0.9115 |
| C. umbla | 63 | 14.4–42.1 | 27.0–539.0 | y = 0.0272 x2.6627 | 0.9476 |
| C. trutta | 28 | 11–34.2 | 12.0–344.0 | y = 0.0076 x3.0490 | 0.9764 |
| C. regium | 49 | 11–24.2 | 10.0–99.0 | y = 0.0439 x2.4025 | 0.8893 |
Heavy metal concentrations (mg kg−1) in muscle tissues of four fish species from the Karasu River and Maximum Acceptable Concentrations (MACs) according to international standards
| Heavy Metals | Concentrations of heavy metals (mg kg−1) in different species | Maximum Acceptable Concentrations (MACs) | |||||||
|---|---|---|---|---|---|---|---|---|---|
| A. marmid | C. umbla | C. trutta | C. regium | TFCa 2002 | FAOb 1983 | WHOc 1985–1996 | FAO/WHO 1989 | ECd 2006 | |
| Al | 129.99 | 130.63 | 108.58 | 95.12 | |||||
| Cr | 3.08 | 2.18 | 2.15 | 2.84 | – | 0.15 | 0.5/1 | – | |
| Mn | 5.65 | 6.13 | 3.88 | 6.98 | 20 | 0.5–1 | 2.5 | – | |
| Fe | 150.92 | 86.05 | 55.96 | 62.02 | 50 | 100 | |||
| Co | 0.74 | 0.54 | 0.53 | 0.51 | 1 | ||||
| Ni | 3.89 | 3.10 | 3.06 | 3.14 | – | 0.6 | 0.4 | 40 | |
| Cu | 2.54 | 4.30 | 1.90 | 2.87 | 20 | 30 | 30 | 30 | |
| Zn | 51.48 | 36.39 | 32.01 | 45.77 | 50 | 30–150 | 100 | 40 | |
| Cd | 0.54 | 0.54 | 0.52 | 0.54 | 0.1 | 0.5 | 1 | 0.5 | 0.05 |
| Pb | 0.57 | 0.53 | 0.51 | 0.52 | 0.1 | 0.5 | 2.00 | 0.5 | 0.2–0.5 |
Concentrations of heavy metals (mean, standart deviation, minimum and maximum values; mg kg−1) in different tissues of four fish species from the Karasu River
| Heavy Metals | Tissue | A. marmid | C. umbla | C. trutta | C. regium |
|---|---|---|---|---|---|
| Al | Muscle | 129.99 ± 1.12 (52.65–487.52) | 130.63 ± 1.35 (80.33–177.15) | 108.58 ± 1.35 (44.05–227.77) | 95.12 ± 1.34 (56.49–201.15) |
| Liver | 156.77 ±1.98 (132.26–218.16) | 184.12 ± 1.52 (73.59–542.38) | 285.92 ± 1.15 (45.34–881.38) | 597.37 ± 1.17 (79.79–2051.97) | |
| Gill | 447.52 ± 1.36 (143.50–1324.99) | 284.98 ± 1.00 (102.14–834.00) | 1809.94 ± 1.05 (117.61–4495.28) | 1450.17 ± 1.06 (322.96–2601.41) | |
| Cr | Muscle | 3.08 ± 1.64 (1.43–8.47) | 2.18 ± 1.22 (1.63–2.85) | 2.15 ± 1.14 (1.36–2.79) | 2.84 ± 1.01 (1.41–7.25) |
| Liver | 4.41 ± 1.19 (3.09–6.83) | 3.47 ± 1.49 (2.17–5.24) | 11.04 ± 0.79 (1.74–55.28) | 18.13 ± 1.27 (2.04–67.34) | |
| Gill | 7.49 ± 1.05 (2.80–20.44) | 4.45 ± 0.99 (2.01–11.43) | 15.49 ± 0.99 (2.27–44.86) | 11.15 ± 0.73 (3.74–20.76) | |
| Mn | Muscle | 5.65 ± 1.30 (1.74–24.83) | 6.13 ± 1.22 (2.88–12.58) | 3.88 ± 0.71 (1.98–6.30) | 6.98 ± 0.82 (3.43–11.18) |
| Liver | 10.65 ± 1.24 (8.68–13.01) | 20.11 ± 1.02 (8.54–48.48) | 32.21 ± 0.97 (4.49–70.01) | 26.34 ± 1.01 (7.67–85.28) | |
| Gill | 24.22 ± 0.94 (3.68–40.86) | 53.64 ± 0.98 (25.63–74.13) | 73.17 ± 1.41 (30.66–129.29) | 85.21 ± 1.22 (29.13–142.59) | |
| Fe | Muscle | 150.92 ± 1.38 (21.12–800.40) | 86.05 ± 0.93 (25.58–168.14) | 55.96 ± 0.94 (16.88–117.90) | 62.02 ± 0.84 (34.44–89.42) |
| Liver | 887.05 ± 1.12 (330.71–1890.51) | 1395.39 ± 0.72 (364.09–4376.27) | 2299.52 ± 0.85 (265.97–9314.15) | 1445.84 ± 0.82 (235.29–3232.52) | |
| Gill | 620.34 ± 089 (93.23–2413.61) | 315.25 ± 1.11 (165.85–681.08) | 1360.95 ± 0.83 (152.01–3872.51) | 1045.53 ± 0.97 (315.18–1778.37) | |
| Co | Muscle | 0.74 ±1.07 (0.49–1.66) | 0.54 ± 0.50 (0.41–0.81) | 0.53 ± 0.85 (0.40–0.61) | 0.51 ± 0.93 (0.37–0.67) |
| Liver | 1.52 ± 0.99 (0.86–2.02) | 1.47 ± 0.85 (0.73–2.58) | 2.34 ± 0.89 (0.84–4.74) | 1.44 ± 0.85 (0.94–2.61) | |
| Gill | 1.44 ± 0.77 (0.55–2.10) | 1.30 ± 1.07 (0.71–1.99) | 2.59 ± 0.95 (1.02–5.59) | 2.17 ± 1.14 (0.92–3.19) | |
| Ni | Muscle | 3.89 ± 1.60 (1.93–12.09) | 3.10 ± 1.49 (2.66–3.79) | 3.06 ± 1.61 (1.69–4.56) | 3.14 ± 1.41 (1.85–4.38) |
| Liver | 6.53 ± 1.59 (3.96–8.45) | 8.40 ± 1.19 (5.15–13.47) | 13.68 ± 1.42 (2.21–27.97) | 11.77 ± 1.47 (3.85–26.02) | |
| Gill | 8.10 ± 1.14 (3.95–14.63) | 7.06 ± 1.31 (3.17–14.50) | 26.72 ± 0.87 (3.00–72.04) | 20.71 ± 0.83 (6.21–40.15) | |
| Cu | Muscle | 2.54 ± 1.27 (0.91–6.99) | 4.30 ± 0.80 (1.26–8.81) | 1.90 ± 1.05 (1.06–4.32) | 2.87 ± 1.38 (0.90–5.93) |
| Liver | 31.49 ± 0.93 (12.40–86.87) | 108.35 ± 0.67 (23.73–271.28) | 63.74 ± 0.87 (6.18–358.00) | 103.28 ± 1.04 (5.95–338.15) | |
| Gill | 3.29 ± 1.15 (2.42–4.13) | 5.93 ± 0.94 (2.74–8.39) | 4.57 ± 0.79 (2.72–8.04) | 4.93 ± 1.01 (3.23–5.70) | |
| Zn | Muscle | 51.48 ± 0.71 (27.25–107.99) | 36.39 ± 0.66 (18.85–58.36) | 32.01 ± 0.79 (24.48–37.86) | 45.77 ± 0.39 (24.97–87.29) |
| Liver | 131.43 ± 0.86 (94.35–190.74) | 111.10 ± 1.58 (70.04–137.79) | 118.28 ± 1.02 (62.41–158.26) | 120.96 ± 0.94 (70.67–204.07) | |
| Gill | 98.27 ± 0.77 (57.28–120.97) | 135.66 ± 0.79 (86.82–219.12) | 76.12 ± 0.83 (59.02–107.28) | 117.16 ± 0.73 (88.43–218.23) | |
| Cd | Muscle | 0.54 ± 0.39 (0.47–0.62) | 0.54 ±0.22 (0.40–0.65) | 0.52 ± 0.31 (0.39–0.64) | 0.54 ± 0.23 (0.37–0.70) |
| Liver | 1.29 ± 0.74 (0.64–1.85) | 0.75 ± 0.79 (0.53–1.19) | 0.90 ± 0.72 (0.73–1.41) | 0.97 ± 0.75 (0.68–1.50) | |
| Gill | 0.57 ± 0.30 (0.46–0.69) | 0.54 ± 0.30 (0.45–0.64) | 0.55 ± 0.38 (0.46–0.67) | 0.58 ± 0.52 (0.51–0.67) | |
| Pb | Muscle | 0.57 ± 0.35 (0.46–0.84) | 0.53 ± 0.32 (0.40–0.64) | 0.51 ± 0.45 (0.38–0.60) | 0.52 ± 0.44 (0.35–0.66) |
| Liver | 1.06 ± 0.41 (0.47–1.62) | 0.75 ± 0.60 (0.57–1.05) | 1.08 ± 0.70 (0.51–2.47) | 0.96 ± 0.44 (0.62–1.79) | |
| Gill | 1.79 ± 0.70 (0.50–5.29) | 1.19 ± 0.80 (0.61–1.94) | 1.19 ± 0.78 (0.88–1.59) | 1.77 ± 0.83 (0.80–3.98) |