Fraunhofer FEP offers a wide variety of low-energy electron beam applications, ranging from seed dressing over inactivation of viruses for vaccines, to sterilization of medical devices. Moreover, there are new emerging technologies such as the stimulation of biological systems, electron beam sustained synthesis of chemical energy carriers, as well as the treatment of wastewater or exhaust gases with low-energy electrons [1]. This spectrum of applications comes with a range of absorbed doses and calls for reliable, sensitive, and flexible methods for dosimetry. Due to the limited penetration depth of electrons with energies of 300 keV and below, radiochromic films with thin active layers are suitable tools to measure electron dose distributions. Risø B3 radiochromic film from DTU Health Tech [2, 3], the dosimeter of choice at FEP’s irradiation facilities, reliably detects doses in the range of 10–100 kGy. However, with new upcoming applications, like bio-stimulation or wastewater treatment, doses in the single digit kGy range and even lower, as well as high-sensitivity dosimetry of the radiation field’s X-ray components come to the fore and call for an extension of the dosimetric toolbox. Gafchromic’s HD-V2 radiochromic film is a welcome complement and widens the accessible dose range down to 10 Gy [4]. Dosimeters based on the optically stimulated luminescence (OSL) of beryllium oxide offer a wide dose range and very high sensitivity [5] and can be used for X-ray dosimetry.
Radiochromic film read-out with a flatbed scanner system is simple to use, fast, and well established. Risø B3 film can be purchased with the dedicated analysis software RisøScan from DTU Health Tech. Large areas can be analyzed to obtain the dose distribution on a given surface. At Fraunhofer FEP, the dosimeter is routinely used for quality control of electron beam emitters, e.g. for sterilization tasks in the medical domain or for the calibration and quality control of facilities for seed dressing. The latter, for instance, requires a custom setup with the film mounted on a free-falling blade between the two opposing 1500 mm linear emitters (see Fig. 1).

Top: FEP’s mobile unit for seed treatment. Left: Measurement of lateral dose profiles on one of FEP’s mobile facilities for phytosanitary seed treatment. In the center, a dosimetry blade is installed. It is mounted with Risø B3 films and emulates the seed curtain processed in free fall. Right: Example dose profile which can be used to calculate the average surface dose of a falling and rotating grain.
The same dosimeter finds application in supporting the development of new electron beam source concepts and components, like the toroidal beam source (measurement of annular dose distributions) or a treatment module for wastewater (measurement of depth dose curves) as shown in Figs. 2 and 3.

Annular dose profile measurements in a toroidal beam source. Radiochromic film fixed on a cylindrical mount was pulled through the source. The graph shows a measured dose distribution and an ideal homogenous one.

Measurement of a depth dose distribution. Top: Stacked irradiated radiochromic film. Down: Depth dose curve of a 200 kV accelerating voltage scanned electron beam. The offset on the abscissa accounts for the titanium foil and an air gap the electrons have to pass before interacting with the dosimeter material.
Dosimetry for low-dose applications, like the investigation of hormetic effects or stimulation of biological processes, can be achieved using Gafchromic HD-V2 film (Fig. 4).

HD-V2 dosimeters placed in Petri dishes to measure the target surface dose in a biostimulation experiment.
For doses beyond the ranges of these described radiochromic films, the flatbed scanner’s sensitivity is the limiting factor in terms of dynamic range. So the question stands as to whether a more sensitive optical read-out and the access to detailed spectroscopic information would allow to broaden the dosimetric ranges and to close the gap between the upper dose limit of HD-V2 (1 kGy) and the lower dose limit of B3 (10 kGy).
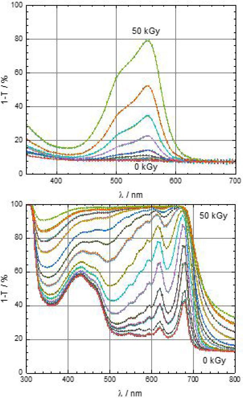
A UV-VIS spectrophotometer L1050 from Perkin Elmer was used to read out both B3 and HD-V2 films, which were irradiated at National Physics Laboratory, Teddington, UK (Co-60, dose to water, secondary particle equilibrium) in the range between 10 Gy and 50 kGy. B3 dosimeters were tempered 8 min at 60°C directly after irradiation. Reference dosimeters were kept at FEP and unirradiated transport dosimeters were used to monitor the dose accumulated during shipping. For each dose, the absorption spectra of B3 and HD-V2 were measured in the range of 350–700 nm and 300–800 nm, respectively (Fig. 5). In contrast to B3, the spectra of HD-V2 include several absorption peaks. Each peak shows a different sensitivity to the absorbed dose [4]. With access to the detailed spectrophotometric information, features can be identified to serve as dose-sensitive quantities.

Absorption spectra of B3 and HD-V2 measured with L1050.
Taking the integral of the spectra in fixed ranges around the three most dominant peaks results in complex, hard to model, dose response curves due to overlaps of different shifting peak contributions in the respective spectral ranges. Hence, the amplitudes of the three most dominant absorption peaks were investigated: the peaks at 430 nm, 620 nm, and 680 nm were analyzed, also taking into account the shift of single-digit wavelengths of said peaks for larger doses. To be able to model the behavior over several orders magnitude of the absorbed dose, a double logarithmic representation was chosen [6]. The results are displayed for both HD-V2 and B3 in Fig. 6.

Peak analysis of the absorption spectra of HD-V2 and B3.
The dose dependencies can be modeled by fourth--degree polynomials (dashed lines) or sigmoidal functions (Boltzmann, solid lines). HD-V2 and B3 complement each other very well here. There is enough overlap between the individual curves to achieve a full coverage of the dose range from 10 Gy to 100 kGy.
To determine the lowest detection limit of the method, the fluctuation of the zero dose signal can be utilized. Figure 7 displays the relative zero dose values (net value of the peak amplitude, divided by the maximum amplitude) for 10 independent measurements for both HD-V2 and B3. The fluctuations lie within ±2.5% for each of the analyzed peaks with the largest deviations in the 680 nm peak. For the latter, the fluctuations correspond to a minimum detectable dose <1 Gy. To give precise quantitative information, repetitive low-dose reference irradiations in this region have to follow. For the current data available, all relative dosimeter readings for the lowest dose (HD-V2, 10 Gy) are within ±2.4% (one standard deviation).

The fluctuation of the zero dose signal provides information about the lowest detection limit of the method.
In cooperation with Strahlenschutz-Akademie Dresden, encapsulated beryllium oxide dosimeters are used to measure the X-ray dose, which can occur as a side effect in low-energy electron beam technology. The X-ray photons can be generated by the interaction of accelerated electrons with components of the beam source, especially the support grid and the foil of the electron exit window and other material with high atomic number under the direct impact of electrons.
The 1 mm small dosimeters, which work based on the OSL of sintered beryllium oxide, were shielded against ambient light and primary electron exposure by a shrinking tube cover of 500 μm thickness. Electrons with typical energies of 200 keV and below are not able to penetrate this protective layer. However, the secondary X-ray photons can cause a dose deposition inside the dosimeter.
One important application of the technique is the investigation of the X-ray dose accumulated by seed grains during their phytosanitary treatment with low-energy electrons. Here sets of beryllium oxide dosimeters are processed together with batches of seed grains under different treatment recipes, typical for the most common seed cultures (see Fig. 8).

Encapsulated beryllium oxide dosimeters (blue, red, white) in a batch of cereal seeds (large image). Blank 1 mm dosimeter (detail picture).
After passing the treatment station in free fall, the individual dosimeters are removed from the batch, unpacked and measured with an OSL reader, taking into account the individual calibration and the zero dose signal of each detector, as well as their energy specific response to keV photons. In the relevant energy region, the effective atomic number of beryllium oxide (Zeff = 7.1) [5] is comparable to the values for organic matter, e.g., carbohydrates [7]; hence, the dose to beryllium oxide can serve as a good estimate of the dose to the grains.
Long-term studies have proven that optimal results of the environmentally friendly, physical seed disinfection treatment are achieved with an average electron dose of 12 kGy at the surface of the grains [8], while the acceleration voltage has to be set such as to adapt the penetration depth of the electrons to the pericarp thickness of the specific seed species (Fig. 9).

Dose vs. depth distribution for electron treatment of seed. While the prescribed electron dose is deposited to the surface and across the seed shell, where it reliably inactivates pathogens, a minor tail induced by secondary X-ray photons may reach the inner of the grains.
Under established treatment conditions, the absorbed X-ray dose was measured to be 90 mGy on average (e.g., for the treatment of wheat grains), which is five orders of magnitude lower than the electron surface dose of 12 kGy.
With OSL, this minor exposure of the seed’s inner structures, proven to be harmless to plants’ growth and yield over years of practical experience [8], can now be quantified and monitored for further enhanced product safety and reproducibility of the electron-treatment process.
Additionally, the investigations show a dependency of the X-ray component on the accelerating voltage of the beam source (Fig. 10). With increasing electron energy, an increase in the X-ray dose rate per beam current is measured. The effect can be explained by a raised probability of X-ray generation in elements of high atomic number (parts of the electron exit window, shielding, and structural components) and an extended penetration depth of primary electrons in the shell, which reduces the distance of the dosimeters to the next neighbor source of secondary photon radiation.

X-ray dose (measured with OSL dosimeters), divided by beam current as a function of the acceleration voltage for a seed-treatment setup.
This information can be used to tune the treatment configuration, to qualify new setups as suitable, and to achieve the desired X-ray dose monitoring and control.
Radiochromic film in the form of Risø’s B3 and Gafchromic’s HD-V2 sees many fields of application in the development, characterization, and quality control of Fraunhofer FEP’s electron beam sources, delivering valuable information about electron dose distribution on the surface and in depth.
Using the spectrophotometric absorption data of these radiochromic films, their dosimetric range can be extended. Isolating distinct peaks in the spectra with individual dose dependencies allows to close the dosimetric gap between HD-V2 and B3 with large overlaps between the single calibration curves.
The behavior of said peaks can be modeled over several orders of magnitude each, covering the whole dosimetric range of nonthermal electron beam applications from 10 Gy to 100 kGy.
The combination of two or more calibration curves would introduce a verification process of a dose measurement from a single dosimeter reading, benefitting the overall reliability of the system.
The 680 nm peak of HD-V2 is most sensitive to the dose range <100 Gy and might be capable to detect doses in the single-digit Gy values. Here, defined irradiations and detailed investigations on the fluctuation of the background signal have to be carried out. Although it is reported that the response of HD-V2 is proportional to the absorbed dose over a wide range of linear energy transfer (LET) [9], a direct comparison between gamma irradiation and low-energy electrons in particular must follow.
Thick-enough encapsulated dosimeters, based on the OSL of beryllium oxide, are insensitive to low-energy electrons but enable the measurement of X-ray photons, which is especially interesting for applications such as seed treatment, where the different effects of surface and depth dose have to be monitored and tuned with special care.