Figure 1

Figure 2

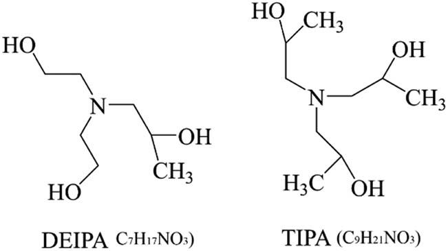
Scheme 1

Figure 3

Figure 4

Figure 5

Figure 6

Figure 7

Figure 8

Figure 9

Mix design and group number of RP grouts_
| Sample | w/c | C/S | Cement (%) | RP (%) | P540 (%) | P80 (%) | YH-S (%) | Activator |
|---|---|---|---|---|---|---|---|---|
| S1 | 0.22 | 1 | 60 | 40 | 0.7 | 0.1 | 0.05 | — |
| S2 | 0.22 | 1 | 60 | 40 | 0.7 | 0.1 | 0.05 | 1% NaOH |
| S3 | 0.22 | 1 | 60 | 40 | 0.7 | 0.1 | 0.05 | 1% Na2CO3 |
| S4 | 0.22 | 1 | 60 | 40 | 0.7 | 0.1 | 0.05 | 1% CH |
| S5 | 0.22 | 1 | 60 | 40 | 0.7 | 0.1 | 0.05 | 0.04% DEIPA |
| S6 | 0.22 | 1 | 60 | 40 | 0.7 | 0.1 | 0.05 | 0.25% TIPA |
| S7 | 0.22 | 1 | 60 | 40 | 0.7 | 0.1 | 0.05 | 700°C |
| S8 | 0.22 | 1 | 60 | 40 | 0.7 | 0.1 | 0.05 | 700°C + 1% CH + 0.04% DEIPA |
| S9 | 0.22 | 1 | 60 | 40 | 0.7 | 0.1 | 0.05 | 700°C + 0.04% DEIPA + 0.25% TIPA |
Chemical composition of RP and cement (wt%)_
| Composition | CaO | Al2O3 | SiO2 | MgO | Fe2O3 | Na2O | TiO2 | SO3 | Loss |
|---|---|---|---|---|---|---|---|---|---|
| RP | 40.48 | 7.6 | 42.56 | 2.4 | 4.4 | 0.38 | 0.76 | — | 1.42 |
| cement | 63.71 | 5.0 | 20.35 | 1.37 | 3.3 | 0.39 | — | 2.48 | 2.6 |