Fig. 1

Fig. 2

Fig. 3

Fig. 4

Fig. 5

Fig. 6

Fig. 7

Fig. 8

Fig. 9

Composition of Al-Si9_8-Cu3_4 alloy (wt_%) considered for this study
| Al% | Si% | Cu% | Fe% | Ti% | Mg% | Ni% | Zn% | Pb% | Sn% | Mn% |
|---|---|---|---|---|---|---|---|---|---|---|
| 86.18 | 9.839 | 3.474 | 0.189 | 0.184 | 0.041 | 0.008 | 0.008 | 0.043 | 0.013 | 0.007 |
Input parameters and experimental values of output characteristics along with average porosity values for L27 orthogonal array
| Expt. runs | Input factors | Output responses | Average porosity values | ||||||
|---|---|---|---|---|---|---|---|---|---|
| A (°C) | B (wt.%) | C (wt.%) | D (°C) | E (MPa) | Tensile strength | Brinell hardness | Microhardness | ||
| 1 | 720 | 0 | 0 | 230 | 12 | 218.39 | 85 | 113 | 0.88 |
| 2 | 720 | 0 | 0.5 | 260 | 18 | 223.76 | 85 | 116 | 0.53 |
| 3 | 720 | 0 | 5 | 290 | 24 | 245.50 | 88 | 119 | 0.36 |
| 4 | 720 | 0.1 | 0 | 260 | 18 | 239.88 | 90 | 136 | 0.26 |
| 5 | 720 | 0.1 | 0.5 | 290 | 24 | 249.09 | 91 | 135 | 0.25 |
| 6 | 720 | 0.1 | 5 | 230 | 12 | 237.31 | 85 | 136 | 0.47 |
| 7 | 720 | 1 | 0 | 290 | 24 | 220.53 | 83 | 112 | 0.85 |
| 8 | 720 | 1 | 0.5 | 230 | 12 | 214.67 | 83 | 114 | 0.71 |
| 9 | 720 | 1 | 5 | 260 | 18 | 208.63 | 86 | 118 | 0.75 |
| 10 | 750 | 0 | 0 | 260 | 24 | 217.87 | 85 | 114 | 0.95 |
| 11 | 750 | 0 | 0.5 | 290 | 12 | 210.73 | 85 | 116 | 0.77 |
| 12 | 750 | 0 | 5 | 230 | 18 | 230.46 | 89 | 116 | 0.49 |
| 13 | 750 | 0.1 | 0 | 290 | 12 | 230.19 | 86 | 118 | 0.63 |
| 14 | 750 | 0.1 | 0.5 | 230 | 18 | 237.29 | 88 | 130 | 0.44 |
| 15 | 750 | 0.1 | 5 | 260 | 24 | 212.70 | 85 | 120 | 0.62 |
| 16 | 750 | 1 | 0 | 230 | 18 | 208.26 | 80 | 106 | 1.01 |
| 17 | 750 | 1 | 0.5 | 260 | 24 | 218.83 | 85 | 113 | 0.88 |
| 18 | 750 | 1 | 5 | 290 | 12 | 201.05 | 80 | 108 | 0.97 |
| 19 | 780 | 0 | 0 | 290 | 18 | 219.96 | 85 | 115 | 0.89 |
| 20 | 780 | 0 | 0.5 | 230 | 24 | 224.58 | 88 | 125 | 0.33 |
| 21 | 780 | 0 | 5 | 260 | 12 | 240.50 | 87 | 118 | 0.49 |
| 22 | 780 | 0.1 | 0 | 230 | 24 | 238.37 | 88 | 127 | 0.46 |
| 23 | 780 | 0.1 | 0.5 | 260 | 12 | 240.04 | 90 | 132 | 0.48 |
| 24 | 780 | 0.1 | 5 | 290 | 18 | 232.57 | 85 | 114 | 0.46 |
| 25 | 780 | 1 | 0 | 260 | 12 | 200.27 | 80 | 107 | 0.99 |
| 26 | 780 | 1 | 0.5 | 290 | 18 | 199.68 | 85 | 119 | 0.49 |
| 27 | 780 | 1 | 5 | 230 | 24 | 224.74 | 84 | 114 | 0.53 |
Process factors and their levels used in the experiments
| Parameter destination | Input parameters | Parameter range | Level 1 | Level 2 | Level 3 |
|---|---|---|---|---|---|
| A | Molten metal temperature (°C) | 720–780 | 720 | 750 | 780 |
| B | Al-3.5FeNb-1.5C (wt%) | 0.0–0.1–1.0 | 0.0 | 0.1 | 1.0 |
| C | Al-6Ni (wt%) | 0.0–0.5–5.0 | 0.0 | 0.5 | 5.0 |
| D | Die temperature (°C) | 230–290 | 230 | 260 | 290 |
| E | Injection pressure (MPa) | 12–24 | 12 | 18 | 24 |
Mean values of GRG at different levels and their main effects
| Parameter destination | Input parameters | Level 1 | Level 2 | Level 3 | Max/min |
|---|---|---|---|---|---|
| A | Molten metal temperature (°C) | 0.601 | 0.470 | 0.530 | 0.131 |
| B | Al-3.5FeNb-1.5C (wt%) | 0.516 | 0.683 | 0.403 | 0.280 |
| C | Al-6Ni (wt%) | 0.496 | 0.578 | 0.527 | 0.082 |
| D | Die temperature (°C) | 0.539 | 0.537 | 0.525 | 0.015 |
| E | Injection pressure (MPa) | 0.508 | 0.528 | 0.565 | 0.056 |
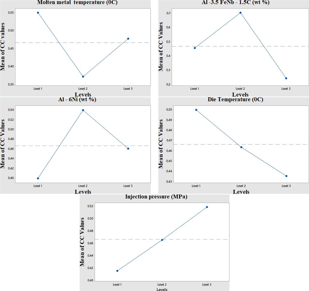
Response table of average values of CC for TOPSIS
| Parameter destination | Input parameters | Level 1 | Level 2 | Level 3 | Max/min |
|---|---|---|---|---|---|
| A | Molten metal temperature (°C) | 0.550 | 0.371 | 0.478 | 0.179 |
| B | Al-3.5FeNb-1.5C (wt%) | 0.454 | 0.704 | 0.240 | 0.464 |
| C | Al-6Ni (wt%) | 0.399 | 0.540 | 0.460 | 0.141 |
| D | Die temperature (°C) | 0.499 | 0.463 | 0.435 | 0.036 |
| E | Injection pressure (MPa) | 0.4147 | 0.465 | 0.519 | 0.104 |
TOPSIS results
| Expt. runs | Normalization | Weighted normalization | Separation | CC | |||||
|---|---|---|---|---|---|---|---|---|---|
| Tensile strength | Brinell hardness | Vickers hardness | Tensile | Brinell | Vickers | S− | S+ | ||
| 1 | 0.187 | 0.191 | 0.183 | 0.062 | 0.064 | 0.061 | 0.016 | 0.008 | 0.324 |
| 2 | 0.192 | 0.191 | 0.188 | 0.064 | 0.064 | 0.063 | 0.014 | 0.010 | 0.416 |
| 3 | 0.211 | 0.198 | 0.192 | 0.070 | 0.066 | 0.064 | 0.010 | 0.016 | 0.628 |
| 4 | 0.206 | 0.202 | 0.220 | 0.069 | 0.067 | 0.073 | 0.003 | 0.021 | 0.886 |
| 5 | 0.214 | 0.204 | 0.218 | 0.071 | 0.068 | 0.073 | 0.001 | 0.023 | 0.972 |
| 6 | 0.204 | 0.191 | 0.220 | 0.068 | 0.064 | 0.073 | 0.005 | 0.020 | 0.786 |
| 7 | 0.189 | 0.187 | 0.181 | 0.063 | 0.062 | 0.060 | 0.016 | 0.007 | 0.306 |
| 8 | 0.184 | 0.187 | 0.184 | 0.061 | 0.062 | 0.061 | 0.017 | 0.007 | 0.283 |
| 9 | 0.179 | 0.193 | 0.191 | 0.060 | 0.064 | 0.064 | 0.016 | 0.008 | 0.350 |
| 10 | 0.187 | 0.191 | 0.184 | 0.062 | 0.064 | 0.061 | 0.016 | 0.008 | 0.333 |
| 11 | 0.181 | 0.191 | 0.188 | 0.060 | 0.064 | 0.063 | 0.016 | 0.008 | 0.321 |
| 12 | 0.198 | 0.200 | 0.188 | 0.066 | 0.067 | 0.063 | 0.012 | 0.013 | 0.511 |
| 13 | 0.197 | 0.193 | 0.191 | 0.066 | 0.064 | 0.064 | 0.012 | 0.012 | 0.500 |
| 14 | 0.204 | 0.198 | 0.210 | 0.068 | 0.066 | 0.070 | 0.005 | 0.018 | 0.779 |
| 15 | 0.182 | 0.191 | 0.194 | 0.061 | 0.064 | 0.065 | 0.014 | 0.009 | 0.391 |
| 16 | 0.179 | 0.180 | 0.171 | 0.060 | 0.060 | 0.057 | 0.022 | 0.003 | 0.110 |
| 17 | 0.188 | 0.191 | 0.183 | 0.063 | 0.064 | 0.061 | 0.016 | 0.008 | 0.334 |
| 18 | 0.172 | 0.180 | 0.175 | 0.057 | 0.060 | 0.058 | 0.022 | 0.001 | 0.059 |
| 19 | 0.189 | 0.191 | 0.186 | 0.063 | 0.064 | 0.062 | 0.015 | 0.009 | 0.370 |
| 20 | 0.193 | 0.198 | 0.202 | 0.064 | 0.066 | 0.067 | 0.009 | 0.014 | 0.598 |
| 21 | 0.206 | 0.196 | 0.191 | 0.069 | 0.065 | 0.064 | 0.010 | 0.014 | 0.582 |
| 22 | 0.204 | 0.198 | 0.205 | 0.068 | 0.066 | 0.068 | 0.006 | 0.017 | 0.727 |
| 23 | 0.206 | 0.202 | 0.213 | 0.069 | 0.067 | 0.071 | 0.004 | 0.020 | 0.845 |
| 24 | 0.200 | 0.191 | 0.184 | 0.067 | 0.064 | 0.061 | 0.014 | 0.011 | 0.452 |
| 25 | 0.172 | 0.180 | 0.173 | 0.057 | 0.060 | 0.058 | 0.022 | 0.001 | 0.032 |
| 26 | 0.171 | 0.191 | 0.192 | 0.057 | 0.064 | 0.064 | 0.018 | 0.008 | 0.309 |
| 27 | 0.193 | 0.189 | 0.184 | 0.064 | 0.063 | 0.061 | 0.015 | 0.009 | 0.380 |
Normalized data and deviation sequence values of the following characteristics
| Run | Deviation Tensile strength | Sequences Brinell hardness | (Δ0i) Microhardness | GRC Tensile strength | Brinell hardness | Microhardness | GRG | Rank |
|---|---|---|---|---|---|---|---|---|
| 1 | 0.62 | 0.55 | 0.77 | 0.45 | 0.48 | 0.39 | 0.44 | 20 |
| 2 | 0.47 | 0.55 | 0.67 | 0.49 | 0.48 | 0.43 | 0.47 | 13 |
| 3 | 0.07 | 0.27 | 0.57 | 0.87 | 0.65 | 0.47 | 0.66 | 6 |
| 4 | 0.19 | 0.09 | 0.00 | 0.73 | 0.85 | 1.00 | 0.86 | 2 |
| 5 | 0.00 | 0.00 | 0.03 | 1.00 | 1.00 | 0.94 | 0.98 | 1 |
| 6 | 0.24 | 0.55 | 0.00 | 0.68 | 0.48 | 1.00 | 0.72 | 4 |
| 7 | 0.58 | 0.73 | 0.80 | 0.46 | 0.41 | 0.38 | 0.42 | 23 |
| 8 | 0.69 | 0.73 | 0.73 | 0.42 | 0.41 | 0.41 | 0.41 | 24 |
| 9 | 0.82 | 0.45 | 0.60 | 0.38 | 0.52 | 0.45 | 0.45 | 15 |
| 10 | 0.63 | 0.55 | 0.73 | 0.44 | 0.48 | 0.41 | 0.44 | 18 |
| 11 | 0.51 | 0.55 | 0.67 | 0.39 | 0.48 | 0.43 | 0.43 | 21 |
| 12 | 0.38 | 0.18 | 0.67 | 0.57 | 0.73 | 0.43 | 0.58 | 9 |
| 13 | 0.38 | 0.45 | 0.60 | 0.57 | 0.52 | 0.45 | 0.52 | 11 |
| 14 | 0.24 | 0.27 | 0.20 | 0.68 | 0.65 | 0.71 | 0.68 | 5 |
| 15 | 0.74 | 0.55 | 0.53 | 0.40 | 0.48 | 0.48 | 0.46 | 14 |
| 16 | 0.83 | 1.00 | 1.00 | 0.38 | 0.33 | 0.33 | 0.35 | 25 |
| 17 | 0.61 | 0.55 | 0.77 | 0.45 | 0.48 | 0.39 | 0.44 | 19 |
| 18 | 0.97 | 1.00 | 0.93 | 0.34 | 0.33 | 0.35 | 0.34 | 26 |
| 19 | 0.59 | 0.55 | 0.70 | 0.46 | 0.48 | 0.42 | 0.45 | 16 |
| 20 | 0.49 | 0.27 | 0.37 | 0.50 | 0.65 | 0.58 | 0.58 | 10 |
| 21 | 0.17 | 0.36 | 0.60 | 0.74 | 0.58 | 0.45 | 0.59 | 8 |
| 22 | 0.22 | 0.27 | 0.30 | 0.70 | 0.65 | 0.63 | 0.66 | 7 |
| 23 | 0.18 | 0.09 | 0.13 | 0.73 | 0.85 | 0.79 | 0.79 | 3 |
| 24 | 0.33 | 0.55 | 0.73 | 0.60 | 0.48 | 0.41 | 0.49 | 12 |
| 25 | 0.99 | 1.00 | 0.97 | 0.34 | 0.33 | 0.34 | 0.34 | 27 |
| 26 | 1.00 | 0.55 | 0.57 | 0.33 | 0.48 | 0.47 | 0.43 | 22 |
| 27 | 0.49 | 0.64 | 0.73 | 0.50 | 0.44 | 0.41 | 0.45 | 17 |
Results’ comparison at initial and optimal levels by GRA and TOPSIS methods
| S. No | Parameter | Initial value | Predicted value | Experimental value |
|---|---|---|---|---|
| A2, B1, C1, D2, E3 | A1, B2, C2, D1, E3 | A1, B2, C2, D1, E3 | ||
| 1 | Tensile strength | 218.388 | – | 249.085 |
| 2 | Brinell hardness | 85 | – | 91 |
| 3 | Vickers microhardness | 113 | – | 135 |
| 4 | Grey relational grade | 0.4396 | 0.8087 | 0.9792 |
| 5 | Closeness coefficient | 0.3242 | 0.9481 | 0.9715 |
| 6 | Improvement of GRG | – | 0.5396 | – |
| 7 | Improvement of CC | - | 0.6473 | – |