Fig. 1

Fig. 2

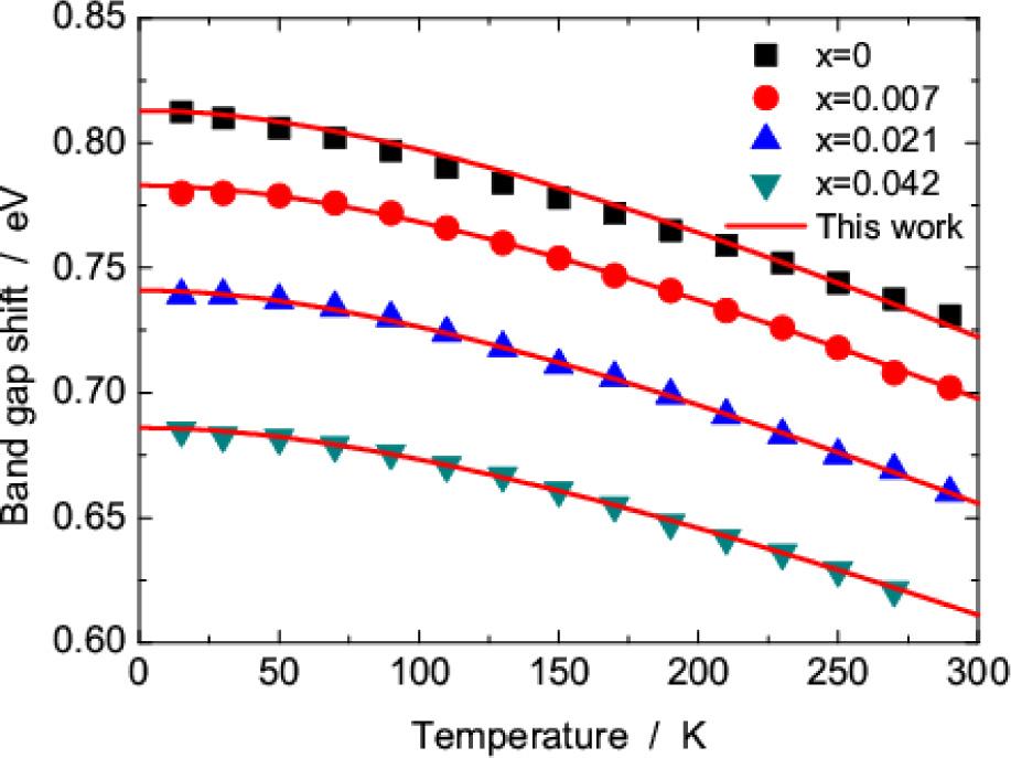
The parameters obtained in Eq_ (2)_
| Bi fraction x | γ (meV/K) | Eg(0) (eV) | σ (meV) |
|---|---|---|---|
| 0 | 0.57 | 0.813 | 0 |
| 0.007 | 0.57 | 0.783 | 8.6 |
| 0.021 | 0.57 | 0.741 | 8.7 |
| 0.042 | 0.57 | 0.686 | 25.3 |


| Bi fraction x | γ (meV/K) | Eg(0) (eV) | σ (meV) |
|---|---|---|---|
| 0 | 0.57 | 0.813 | 0 |
| 0.007 | 0.57 | 0.783 | 8.6 |
| 0.021 | 0.57 | 0.741 | 8.7 |
| 0.042 | 0.57 | 0.686 | 25.3 |
© 2021 Chuan-Zhen Zhao, Xue-Lian Qi, published by Wroclaw University of Science and Technology
This work is licensed under the Creative Commons Attribution-NonCommercial-NoDerivatives 4.0 License.