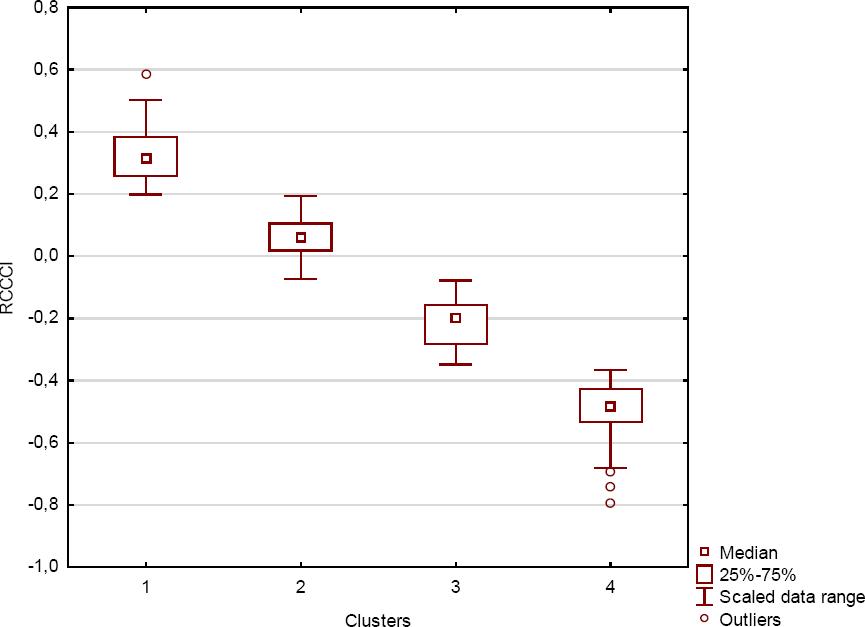
Figure 1.

Figure 2.

Figure 3.

Figure 4.

Figure 5.



Breusch-Pagan test
| Variable | BP statistic value | P-value |
|---|---|---|
| RCCCI | 13.069 | 0.022** |
Local estimated parameters
| Parameter | Min | Max | Average |
|---|---|---|---|
| Intercept | 11.08 | 12.32 | 11.98 |
| β1 | −0.51 | 0.23 | −0.28 |
| β2 | −2.24 | 1.90 | −0.35 |
| β3 | −1.90 | 1.15 | −0.13 |
| β5 | 0.076 | 0.173 | 0.132 |
| β6 | 0.207 | 0.249 | 0.228 |
| β7 | 0.337 | 0.635 | 0.418 |
| β9 | 0.182 | 0.496 | 0.361 |
| β10 | 0.095 | 0.342 | 0.211 |
| β11 | 0.006 | 0.07 | 0.033 |
| β12 | −0.374 | 0.110 | −0.096 |
| β13 | −0.073 | 0.030 | −0.019 |
| β15 | −0.037 | 0.025 | −0.058 |
| β16 | −1.159 | 1.06 | −0.182 |
| β18 | 0.080 | 0.216 | 0.147 |
| β19 | 0.104 | 0.358 | 0.279 |
Correlation analysis results
| RCCCI | D | ES | ECO2 | FI | AFI | RDE | VA | PUB | BAN | EB | TRY | PAR | MD | P | M | U | DIG | MAN | ATE | |
|---|---|---|---|---|---|---|---|---|---|---|---|---|---|---|---|---|---|---|---|---|
| RCCCI | 1.00 | −0.21 | −0.52 | −0.04 | −0.36 | −0.08 | 0.55 | 0.49 | 0.63 | 0.84 | −0.11 | 0.13 | −0.28 | −0.37 | 0.46 | 0.37 | 0.01 | 0.94 | 0.90 | 0.50 |
| D | −0.21 | 1.00 | −0.06 | −0.08 | 0.04 | −0.02 | 0.22 | −0.29 | −0.11 | 0.10 | 0.06 | −0.01 | −0.34 | −0.19 | 0.03 | −0.16 | −0.17 | −0.12 | −0.03 | 0.08 |
| ES | −0.53 | −0.06 | 1.00 | 0.59 | 0.20 | 0.44 | −0.21 | 0.05 | −0.31 | −0.55 | 0.20 | 0.02 | 0.33 | 0.47 | −0.11 | −0.04 | 0.59 | −0.57 | −0.62 | −0.38 |
| ECO2 | −0.04 | −0.08 | 0.59 | 1.00 | 0.18 | 0.19 | 0.23 | 0.48 | 0.10 | −0.00 | 0.21 | 0.06 | 0.13 | 0.32 | 0.36 | 0.28 | 0.84 | 0.01 | −0.04 | 0.01 |
| FI | −0.36 | 0.04 | 0.20 | 0.18 | 1.00 | −0.33 | −0.16 | −0.03 | −0.15 | −0.28 | 0.15 | −0.16 | 0.30 | 0.36 | −0.22 | −0.08 | 0.25 | −0.34 | −0.29 | −0.01 |
| AFI | −0.08 | −0.02 | 0.44 | 0.19 | −0.33 | 1.00 | −0.12 | −0.14 | −0.30 | 0.01 | 0.44 | 0.48 | −0.27 | −0.15 | −0.02 | −0.02 | 0.07 | −0.02 | −0.15 | −0.21 |
| RDE | 0.55 | 0.22 | −0.21 | 0.23 | −0.16 | −0.12 | 1.00 | 0.44 | 0.53 | 0.52 | −0.16 | −0.04 | −0.43 | −0.32 | 0.55 | 0.30 | 0.17 | 0.48 | 0.56 | 0.51 |
| VA | 0.49 | −0.25 | 0.05 | 0.48 | −0.03 | −0.14 | 0.44 | 1.00 | 0.62 | 0.27 | −0.09 | −0.20 | −0.01 | 0.11 | 0.48 | 0.45 | 0.60 | 0.32 | 0.35 | 0.10 |
| PUB | 0.63 | −0.11 | −0.31 | 0.10 | −0.15 | −0.30 | 0.53 | 0.62 | 1.00 | 0.37 | −0.40 | −0.10 | −0.15 | −0.17 | 0.43 | 0.36 | 0.23 | 0.47 | 0.53 | 0.35 |
| BAN | 0.84 | 0.10 | −0.55 | −0.00 | −0.28 | 0.01 | 0.52 | 0.27 | 0.37 | 1.00 | 0.13 | 0.25 | −0.36 | −0.37 | 0.42 | 0.16 | −0.11 | 0.92 | 0.89 | 0.53 |
| EB | −0.11 | 0.06 | 0.20 | 0.21 | 0.15 | 0.44 | −0.16 | −0.09 | −0.40 | 0.13 | 1.00 | 0.32 | −0.02 | 0.19 | 0.11 | 0.02 | 0.18 | 0.06 | −0.08 | 0.15 |
| TRY | 0.13 | −0.00 | 0.02 | 0.06 | −0.16 | 0.48 | −0.04 | −0.20 | −0.10 | 0.25 | 0.32 | 1.00 | −0.13 | −0.12 | −0.05 | 0.03 | 0.01 | 0.21 | 0.06 | 0.14 |
| PAR | −0.28 | −0.34 | 0.33 | 0.13 | 0.30 | −0.27 | −0.43 | −0.01 | −0.15 | −0.36 | −0.02 | −0.13 | 1.00 | 0.73 | −0.27 | −0.19 | 0.20 | −0.28 | −0.32 | −0.28 |
| MD | −0.37 | −0.19 | 0.47 | 0.32 | 0.36 | −0.15 | −0.32 | 0.11 | −0.17 | −0.37 | 0.19 | −0.12 | 0.73 | 1.00 | −0.12 | −0.06 | 0.41 | −0.40 | −0.37 | −0.24 |
| P | 0.46 | 0.03 | −0.11 | 0.36 | −0.22 | −0.02 | 0.55 | 0.48 | 0.43 | 0.42 | 0.11 | −0.05 | −0.27 | −0.12 | 1.00 | 0.46 | 0.37 | 0.38 | 0.48 | 0.22 |
| M | 0.37 | −0.16 | −0.04 | 0.28 | −0.08 | −0.02 | 0.30 | 0.45 | 0.36 | 0.16 | 0.02 | 0.03 | −0.19 | −0.06 | 0.46 | 1.00 | 0.36 | 0.24 | 0.33 | 0.15 |
| U | 0.01 | −0.17 | 0.59 | 0.84 | 0.25 | 0.07 | 0.17 | 0.60 | 0.23 | −0.11 | 0.18 | 0.01 | 0.20 | 0.41 | 0.37 | 0.36 | 1.00 | −0.09 | −0.07 | 0.04 |
| DIG | 0.94 | −0.12 | −0.57 | 0.00 | −0.34 | −0.02 | 0.48 | 0.32 | 0.47 | 0.92 | 0.06 | 0.21 | −0.28 | −0.40 | 0.38 | 0.24 | −0.09 | 1.00 | 0.91 | 0.58 |
| MAN | 0.90 | −0.03 | −0.62 | −0.04 | −0.29 | −0.15 | 0.56 | 0.35 | 0.53 | 0.89 | −0.08 | 0.06 | −0.32 | −0.37 | 0.48 | 0.33 | −0.07 | 0.91 | 1.00 | 0.48 |
| ATE | 0.50 | 0.08 | −0.38 | 0.01 | −0.01 | −0.21 | 0.51 | 0.10 | 0.35 | 0.53 | 0.15 | 0.14 | −0.28 | −0.24 | 0.22 | 0.15 | 0.04 | 0.58 | 0.48 | 1.00 |
The Breusch-Pagan Test combination for the determination of variables
| Variable | BP test | P-value | Note |
|---|---|---|---|
| Y dengan X1 (D) | 28.21 | 0.03* | Local |
| Y dengan X2 (ECO2) | 139.01 | 0.00* | Local |
| Y dengan X3 (ES) | 64.18 | 0.00* | Local |
| Y dengan X4 (FI) | 0.61 | 0.89 | Global |
| Y dengan X5 (AFI) | 18.90 | 0.03* | Local |
| Y dengan X6 (RDE) | 26.08 | 0.03* | Local |
| Y dengan X7 (VA) | 37.65 | 0.02* | Local |
| Y dengan X8 (PUB) | 1.56 | 0.35 | Global |
| Y dengan X9 (BAN) | 44.72 | 0.01* | Local |
| Y dengan X10 (EB) | 25.25 | 0.02* | Local |
| Y dengan X11 (TRY) | 20.56 | 0.00* | Local |
| Y dengan X12 (PAR) | 16.30 | 0.00* | Local |
| Y dengan X13 (MD) | 14.78 | 0.05* | Local |
| Y dengan X14 (M) | 3.74 | 0.18 | Global |
| Y dengan X15 (P) | 14.23 | 0.00* | Local |
| Y dengan X16 (U) | 36.83 | 0.00* | Local |
| Y dengan X17 (MAN) | 3.84 | 0.32 | Global |
| Y dengan X18 (ATE) | 40.98 | 0.00* | Local |
| Y dengan X19 (DIG) | 20.23 | 0.05* | Local |
Model summary
| b* | SE z b* | B std | T | p | |
|---|---|---|---|---|---|
| Intercept | −0.092 | 0.007 | −12.506 | 0.000 | |
| X1 (D) | −0.080 | 0.015 | −0.125 | −5.347 | 0.000 |
| X2 (ECO2) | −0.137 | 0.013 | −0.140 | −8.379 | 0.000 |
| X7 (VA) | 0.066 | 0.012 | 0.164 | 5.688 | 0.000 |
| X8 (PUB) | 0.026 | 0.011 | 0.077 | 2.284 | 0.025 |
| X10 (EB) | 0.081 | 0.009 | 0.217 | 8.863 | 0.000 |
| X12 (PAR) | −0.036 | 0.007 | −0.116 | −4.862 | 0.000 |
| X14 (M) | 0.018 | 0.009 | 0.049 | 2.045 | 0.044 |
| X19 (DIG) | 0.227 | 0.008 | 0.770 | 30.003 | 0.000 |
PCA analysis results
| Variable | Strength | R2 | Variable | Strength | R2 |
|---|---|---|---|---|---|
| ES | 0.681 | 0.467 | VA | 0.773 | 0.406 |
| ECO2 | 0.670 | RDE | 0.521 | ||
| D | 0.011 | FI | 0.312 | ||
| BAN | 0.763 | 0.616 | AFI | 0.106 | |
| PUB | 0.551 | PAR | 0.910 | 0.440 | |
| EB | 0.174 | MD | 0.852 | ||
| TRY | 0.162 | P | 0.718 | ||
| DIG | 0.841 | 0.730 | M | 0.032 | |
| MAN | 0.811 | U | 0.008 | ||
| ATE | 0.575 |
Results of best subset regression
| Cluster | Regions | Variables | AIC | Cp Mallows | R2 |
|---|---|---|---|---|---|
| Low | SK, LV, PL, BG, EL, HU, RO | All variables except M | −711.649 | - | 0.9 |
| Middle–low | UK, FR, AT, IT, ES, PT, CZ, MT | D, ECO2, AFI, RDE, VA, PUB, BAN, EB, TRY, PAR, MD, P, M, U, ATE | - | - | 0.9 |
| Middle–high | SE, DE, DK, FIN, UK, BE, NL | D, ES, FI, RDE, BAN, EB, PAR, U, M, MAN, ATE | −166.624 | 10.5 | 0.87 |
| High | SE, NL, DE | ECO2, BAN, U, ATE | −129.501 | −3.652 | 0.74 |
Descriptive statistics
| Variable | N-significant | Mean | Minimum | Maximum | Variance | St. dev. | Skewness | Kurtosis |
|---|---|---|---|---|---|---|---|---|
| RCCCI | 281 | 0.01 | −0.8 | 0.6 | 9.76E−02 | 0.31 | −0.457 | −0.775 |
| D | 233 | 2412.10 | 94.7 | 5717.4 | 7.09E+05 | 842.19 | 0.055 | 1.457 |
| ES | 240 | 15.96 | 0.0 | 129.6 | 3.88E+02 | 19.70 | 2.494 | 7.555 |
| ECO2 | 270 | 14425.60 | 2.0 | 88498.3 | 2.18E+08 | 14767.67 | 2.376 | 7.168 |
| FI | 273 | 4.22 | 0.0 | 34.9 | 3.05E+01 | 5.53 | 2.966 | 11.064 |
| AFI | 278 | 0.81 | 0.5 | 1.5 | 3.91E−02 | 0.20 | 0.617 | 0.557 |
| RDE | 208 | 0.34 | 0.0 | 1.0 | 6.84E−02 | 0.26 | 0.953 | 0.196 |
| VA | 240 | 53109.92 | 1178.4 | 674282.8 | 4.51E+09 | 67168.07 | 4.424 | 32.094 |
| PUB | 209 | 0.55 | 0.1 | 1.0 | 5.74E−02 | 0.24 | 0.171 | −0.777 |
| BAN | 281 | 62.06 | 11.3 | 95.0 | 3.59E+02 | 18.96 | −0.731 | 0.373 |
| EB | 170 | 10.26 | 5.2 | 19.9 | 7.38E+00 | 2.72 | 0.384 | 0.595 |
| TRY | 262 | 2.90 | 2.2 | 4.3 | 6.38E−02 | 0.25 | 0.448 | 3.485 |
| PAR | 195 | 21.39 | 7.9 | 49.7 | 7.31E+01 | 8.55 | 1.176 | 0.909 |
| MD | 156 | 6.80 | 0.5 | 25.8 | 3.88E+01 | 6.23 | 1.495 | 1.390 |
| P | 281 | 489.36 | 3.3 | 11509.1 | 1.66E+06 | 1289.34 | 5.669 | 38.089 |
| M | 270 | 4650.19 | −64908.0 | 48975.0 | 9.80E+07 | 9900.16 | −0.172 | 10.768 |
| U | 280 | 806.32 | 14.0 | 5253.2 | 4.40E+05 | 663.49 | 2.610 | 10.968 |
| DIG | 194 | 0.53 | 0.0 | 1.0 | 6.12E−02 | 0.25 | −0.036 | −0.785 |
| MAN | 160 | 0.35 | 0.1 | 0.5 | 1.02E−02 | 0.10 | −0.422 | −1.088 |
| ATE | 260 | 0.65 | 0.5 | 1.5 | 3.14E−02 | 0.18 | 2.411 | 7.015 |
Multicollinearity results
| Indicator | Tolerance | VIF |
|---|---|---|
| D | 0.462 | 2.163 |
| ES | 0.116 | 8.642 |
| ECO2 | 0.166 | 6.029 |
| FI | 0.460 | 2.172 |
| AFI | 0.165 | 6.051 |
| RDE | 0.266 | 3.763 |
| VA | 0.189 | 5.281 |
| PUB | 0.279 | 3.588 |
| BAN | 0.057 | 17.621 |
| EB | 0.274 | 3.653 |
| TRY | 0.470 | 2.127 |
| PAR | 0.217 | 4.604 |
| MD | 0.244 | 4.096 |
| P | 0.339 | 2.947 |
| M | 0.537 | 1.862 |
| U | 0.102 | 9.831 |
| DIG | 0.033 | 30.705 |
| MAN | 0.061 | 16.413 |
| ATE | 0.241 | 4.150 |
j_mgrsd-2023-0009_tab_011
| I | Z | p-value | |
|---|---|---|---|
| EB | 0.22 | 4.12 | 0.00 |
| ECO2 | 0.19 | 4.08 | 0.02 |
| ES | 0.21 | 4.10 | 0.04 |
| FI | 0.24 | 5.07 | 0.01 |
| AFI | 0.36 | 6.43 | 0.00 |
| RDE | 0.18 | 3.55 | 0.04 |
| PAR | 0.05 | 1.47 | 0.06 |
| MD | 0.10 | 3.75 | 0.00 |
| P | 0.11 | 3.95 | 0.00 |
| VA | 0.48 | 8.72 | 0.00 |
| PUB | 0.03 | 1.30 | 0.00 |
| BAN | 0.27 | 4.62 | 0.03 |
| TRY | 0.17 | 3.15 | 0.02 |
| D | 0.23 | 4.08 | 0.00 |
| M | 0.10 | 2.21 | 0.06 |
| U | 0.33 | 6.12 | 0.02 |
| DIG | 0.46 | 7.51 | 0.00 |
| MAN | 0.09 | 3.56 | 0.04 |
| ATE | 0.26 | 4.74 | 0.04 |
Global estimated parameters
| Parameter | Estimation Value |
|---|---|
| β4 | 0.003 |
| β8 | 0.052 |
| β14 | −0.007 |
| β17 | 0.031 |