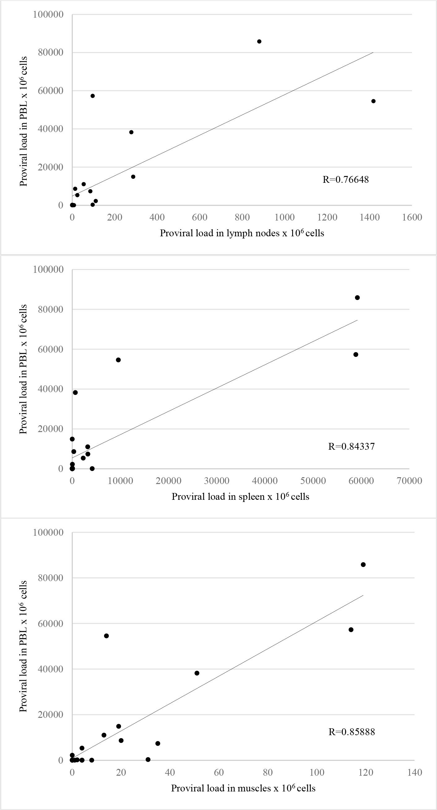
Fig. 1.

Bovine leukaemia virus (BLV) proviral load in peripheral blood leukocytes (PBLs) and organs of naturally infected cattle
| Carcass No. | BLV proviral load – number of copies per 106 cells | |||
|---|---|---|---|---|
| PBLs | muscles | spleens | lymph nodes | |
| 1 | 85,803 | 119* | 59,188 | 881 |
| 2 | 57,284 | 114* | 58,883 | 6,888 |
| 3 | 54,556 | 14** | 9,559 | 1,419 |
| 4 | 38,228 | 51* | 645 | 278 |
| 5 | 14,895 | 19* | 3 | 287 |
| 6 | 11,019 | 13* | 3,215 | 54 |
| 7 | 8,603 | 20* | 314 | 14 |
| 8 | 7,323 | 35* | 3,231 | 85 |
| 9 | 5,330 | 4* | 2,295 | 24 |
| 10 | 2,211 | 0* | 45 | 111 |
| 11 | 269 | 31* | 37 | 96 |
| 12 | 187 | 2* | 1 | 0 |
| 13 | 182 | 0* | 0 | 0 |
| 14 | 25 | 0* | 48 | 6 |
| 15 | 16 | 0* | 17 | 2 |
| 16 | 11 | 8*** | 0 | 8 |
| 17 | 11 | 0* | 2 | 0 |
| 18 | 4 | 0* | 4,137 | 0 |
| 19 | 3 | 4*** | 8 | 0 |
| 20 | 3 | 4* | 1 | 0 |
| 21 | 3 | 1* | 0 | 4 |
| 22 | 1 | 4* | 0 | 0 |