Fig. 1.

Fig. 2.

Fig. 3.

Fig. 4.

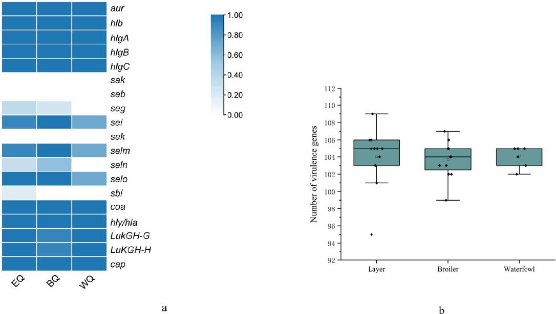
Fig. 5.

Fig. 6.

Resistance rates of 102 methicillin-resistant (MRSA) strains of different avian origins to 18 antimicrobials
| Drug Class | Antibacterial drugs | MRSA (n = 102) | P-value | Overall drug resistance rate | ||
|---|---|---|---|---|---|---|
| Layers | Broilers | Waterfowl | ||||
| Penicillin | PEN | 100% | 100% | 100% | ns | 100% |
| OXA | 97.10% | 97.80% | 95.50% | 0.87 (ns) | 97.06% | |
| Quinolones | ENR | 100% | 100% | 100% | ns | 100% |
| OFL | 100% | 100% | 100% | ns | 100% | |
| Cephalosporins | CFX | 97.10% | 97.80% | 95.50% | 0.87 (ns) | 97.06% |
| FOX | 100% | 97.80% | 100% | 0.53 (ns) | 99.02% | |
| Sulfonamides | SF | 28.60% | 4.40% | 13.60% | 0.01** | 14.71% |
| SXT | 20.00% | 24.40% | 13.60% | 0.59 (ns) | 19.33% | |
| Macrolides | ERY | 100% | 100% | 100% | ns | 100% |
| TIL | 100% | 100% | 100% | ns | 100% | |
| β-lactamase inhibitor class | A/C | 77.10% | 95.60% | 68.20% | 0.009** | 77.45% |
| Lincosamides | CLI | 100% | 100% | 100% | ns | 100% |
| Glycopeptides | VAN | 0.00% | 0.00% | 0.00% | ns | 0.00% |
| Tetracycline | DOX | 2.80% | 11.11% | 0% | 0.18 (ns) | 4.63% |
| Amide alcohols | FFC | 100% | 100% | 100% | ns | 100% |
| Pleuromutilin | TIA | 100% | 100% | 77.30% | <0.001*** | 95.10% |
| Aminoglycosides | GEN | 100% | 100% | 90.90% | 0.04* | 98.04% |
| Azolidinones | LZD | 2.80% | 2.20% | 0.00% | 0.74 (ns) | 1.96% |
Multi-locus sequence, staphylococcal protein A and staphylococcal cassette chromosome mec (SCCmec) typing results of 102 different avian-derived methicillin-resistant Staphylococcus aureus strains (number of strains/percentage %)
| Type | ST9-t899 | ST9-t1939 | ST398-t034 | ST398-t1250 | |||
|---|---|---|---|---|---|---|---|
| SCCmec III | SCCmec IVb | Not typed | SCCmec IVb | SCCmec III | SCCmec V | SCCmec III | |
| Layers | 10 (9.80) | 22 (21.57) | 2 (0.98) | 0 | 0 | 0 | 0 |
| Broilers | 5 (4.90) | 37 (36.27) | 0 | 2 (1.96) | 0 | 0 | 1 (0.98) |
| Waterfowl | 3 (2.94) | 13 (12.75) | 5 (4.90) | 0 | 1 (0.98) | 1 (0.98) | 0 |
| Total | 17.65% | 70.59% | 6.86% | 1.96% | 0.98% | 0.98% | 0.98% |