Fig. 1

Fig. 2

Fig. 3

Fig. 4

Fig. 5

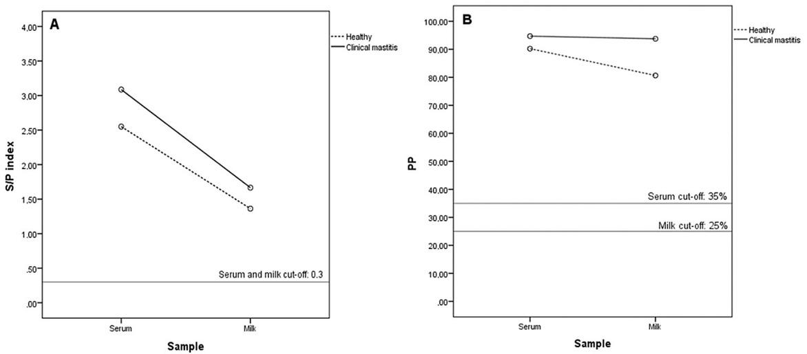
Bovine viral diarrhoea virus (BVDV) and bovine herpesvirus-1 (BoHV-1) levels in serum and milk taken from cattle with clinical mastitis and healthy cattle
| P-values | ||||||||
|---|---|---|---|---|---|---|---|---|
| Virus | State of health | Serum mean ± SD | ELISA cut-off | Milk mean ± SD | ELISA cut-off | Sample | State of health | Sample × state of health |
| Healthy | 90.24±3.74a,A | 80.66±6.99b,A | ||||||
| BVDV | Mastitic | 94.71±1.39a,B | ≥35% | 93.76±2.87b,B | ≥0.3 | <0.001 | 0.003 | 0.156 |
| Healthy | 90.24±3.74a,A | 80.66±6.99b,A | ||||||
| BoHV-1 | Mastitic | 94.71±1.39a,B | ≥35% | 93.76±2.87b,B | ≥25% | <0.001 | <0.001 | <0.001 |
Primers used in PCR for detection of BoHV-1 and BoHV-4
| Virus | Target gene/amplicon size (bp) | Primers | Sequence (5′–3′) | Reference |
|---|---|---|---|---|
| BoHV-1 | gC/575 | PF1 | CGGCCACGACGCTGACGA | (15) |
| PF2 | CGCCGCCGAGTACTACCC | |||
| BoHV-4 | gB/615 | gB1 | CCCTTCTTTACCACCACCTACA | (29) |
| gB2 | TGCCATAGCAGAGAAACAATGA |
Bovine herpesvirus-4 (BoHV-4) levels in serum and milk samples collected from cattle with clinical mastitis
| Sample | |||||
|---|---|---|---|---|---|
| Serum | Milk | ELISA cut-off | P-value | ||
| BoHV-4 positivity rate (%) | Mean ± SD | 110.85 ± 34.39 | 145.64 ± 51.75 | ≥30% | <0.001 |
| BoHV-4 positivity degree* | Mean ± SD | 3.15 ± 1.05 | 3.97 ± 1.08 | ||
| Median (min–max) | 3 (1–5) | 4 (2–5) | <0.001 | ||