Fig. 1

Results of ELISA, PCR test in faecal material and fold change transcription of target genes of animals used in this study
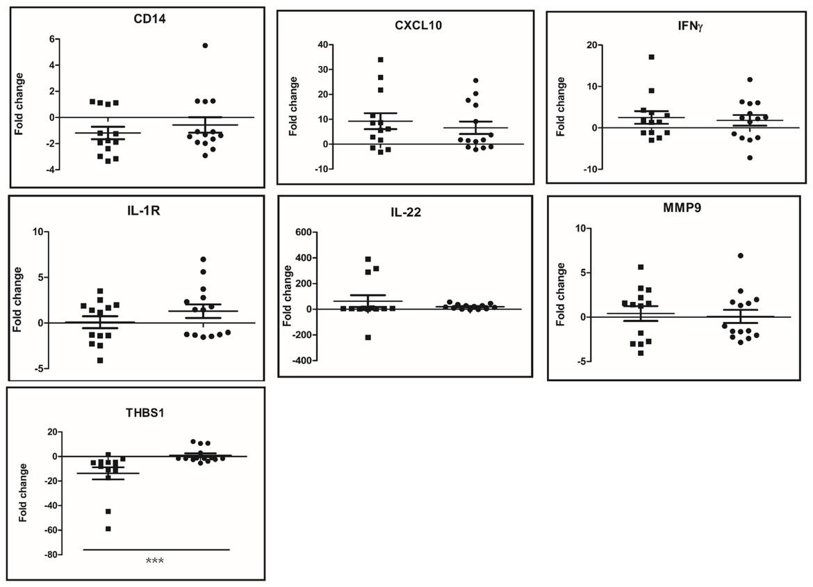
| Animal ID | ELISA | PCR | IFN-γ | IL-22 | CXCL10 | THBS1 | IL-1R | MMP9 | CD14 |
|---|---|---|---|---|---|---|---|---|---|
| 1 | + | + | 3.68 | 4.27 | 6.10 | −7.44 | −2.28 | −2.73 | −1.25 |
| 2 | + | + | −2.96 | 2.84 | −3.20 | −10.98 | −4.09 | −3.05 | −3.35 |
| 3 | + | − | 1.31 | 6.34 | 5.56 | −17.34 | −1.31 | −1.79 | −2.97 |
| 4 | + | + | 2.99 | 9.19 | 21.76 | 1.49 | 3.51 | 1.57 | −1.89 |
| 5 | + | − | 1.74 | 7.52 | 1.65 | −8.02 | −1.39 | 1.40 | −1.93 |
| 6 | + | + | −1.11 | 4.63 | −1.48 | −1.96 | 1.40 | 2.20 | 1.21 |
| 7 | + | − | 4.27 | 288.74 | 33.97 | −58.89 | 2.52 | 5.65 | 1.01 |
| 8 | + | − | 1.41 | 317.41 | 8.63 | −44.74 | 1.97 | 3.26 | −1.77 |
| 9 | + | − | −1.21 | 5.59 | −2.17 | −11.42 | −2.48 | −4.06 | −3.15 |
| 10 | + | + | −1.17 | 1.42 | 2.86 | −5.07 | 1.16 | 1.25 | 1.11 |
| 11 | + | − | 9.00 | 1.93 | 26.86 | −4.56 | −1.36 | 3.07 | 1.20 |
| 12 | + | + | −2.40 | −219.17 | 8.20 | −4.81 | 1.67 | −3.02 | 1.11 |
| 13 | + | − | 17.13 | 389.80 | 11.52 | −4.28 | 1.88 | 1.55 | −2.38 |
| 14 | − | − | 2.54 | 8.43 | 25.62 | −1.58 | 1.47 | −1.01 | −1.90 |
| 15 | − | − | 2.20 | 16.74 | 3.71 | 12.23 | 1.45 | −1.54 | 1.22 |
| 16 | − | − | 1.44 | 22.23 | 1.05 | −1.21 | 2.32 | 1.98 | 1.26 |
| 17 | − | − | −2.44 | −1.14 | −1.19 | −5.36 | −1.03 | −2.41 | −2.91 |
| 18 | − | − | −7.21 | −2.51 | −2.16 | 10.83 | 1.79 | 2.95 | −1.09 |
| 19 | − | − | −2.37 | 1.11 | 1.47 | −1.65 | 3.72 | 1.70 | −1.65 |
| 20 | − | − | 6.07 | 56.45 | 20.35 | −2.53 | −1.45 | −2.05 | −1.46 |
| 21 | − | − | 3.46 | 27.63 | 15.70 | −1.65 | −1.25 | −1.60 | −1.10 |
| 22 | − | − | 5.85 | 14.44 | 17.66 | −1.56 | −1.27 | −2.25 | −2.44 |
| 23 | − | − | −2.94 | ND | −1.02 | −2.35 | 5.60 | 1.55 | −1.38 |
| 24 | − | − | 6.29 | 27.91 | 1.75 | 10.66 | 6.98 | 6.93 | 5.50 |
| 25 | − | − | 2.42 | 36.69 | 1.73 | 2.88 | 2.78 | 1.32 | 1.25 |
| 26 | − | − | −1.45 | 3.81 | −1.49 | −1.07 | −1.32 | −1.64 | −1.31 |
| 27 | − | − | 11.67 | 45.12 | 9.14 | −3.9 | −1.55 | −2.84 | −1.98 |