Fig. 1

Fig. 2

Fig. 3

Fig. 4

Significant differences in serum and urine biomarkers between healthy horses (non-acute kidney injury (AKI) group), horses at risk of kidney injury (AKI-risk group; divided into colic sufferers, recipients of nonsteroidal anti-inflammatory drugs (NSAIDs) and recipients of gentamicin) and horses diagnosed with acute kidney injury (AKI group)
| Parameter | Non-AKI vs | AKI-risk colic vs | AKI-risk NSAIDs vs | AKI-risk gentamicin vs | ||||
|---|---|---|---|---|---|---|---|---|
| AKI | Non-AKI | AKI | Non-AKI | AKI | Non-AKI | AKI | ||
| NGAL (ng/mL) | Serum | 0.0030 | - | - | - | 0.0030 | - | 0.0200 |
| Urine | 0.0050 | 0.0050 | - | - | - | - | - | |
| Cystatin C (mg/L) | Serum | 0.0400 | - | - | - | 0.0400 | - | 0.0200 |
| Urine | 0.0001 | 0.0400 | - | - | 0.0400 | - | 0.0300 | |
Spearman’s correlation between the analysed biomarkers and selected conventional renal dysfunction biomarkers
| Parameter | NGAL | Cystatin C | |||
|---|---|---|---|---|---|
| Serum | Urine | Serum | Urine | ||
| Serum | Urea | rs = 0.360 | NS | rs = 0.300 | rs = 0.340 |
| P = 0.002 | P = 0.014 | P = 0.004 | |||
| Creatinine | NS | NS | NS | rs = 0.300 | |
| P = 0.013 | |||||
| Urine | Protein | NS | rs = 0.360 | NS | rs = 0.400 |
| P < 0.005 | P < 0.001 | ||||
| GGT : Creatinine ratio | rs = 0.300 | rs = 0.390 | NS | rs = 0.370 | |
| P = 0.012 | P < 0.001 | P < 0.005 | |||
| FENa | NS | rs = 0.33 | NS | NS | |
| P = 0.005 | |||||
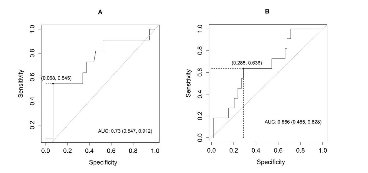
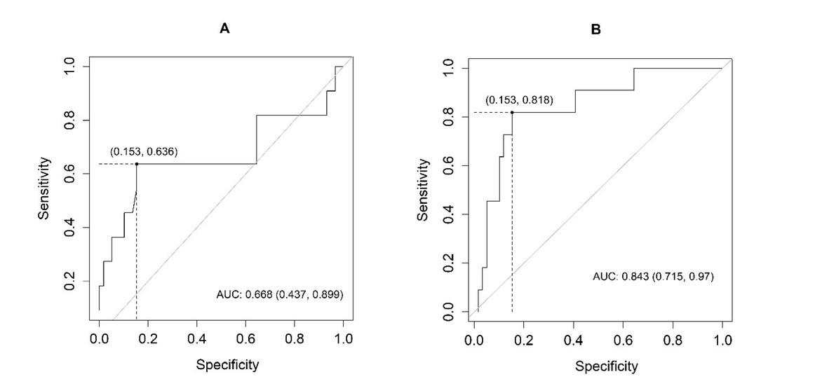
The receiver operating characteristic (ROC) analysis of serum and urinary cystatin C and neutrophil gelatinase-associated lipocalin (NGAL) relative to kidney dysfunction in horses
| Parameter | Cut-off value | Sensitivity | Specificity | Positive predictive value | Negative predictive value | AUC | |
|---|---|---|---|---|---|---|---|
| NGAL | Serum | 95.20 | 0.54 | 0.93 | 0.60 | 0.92 | 0.73 |
| Urine | 33.10 | 0.64 | 0.71 | 0.30 | 0.90 | 0.66 | |
| Cystatin C | Serum | 0.53 | 0.64 | 0.85 | 0.44 | 0.93 | 0.67 |
| Urine | 0.20 | 0.82 | 0.85 | 0.50 | 0.96 | 0.84 |
Concentration of serum and urinary cystatin C and neutrophil gelatinase-associated lipocalin (NGAL) measured in healthy horses (non-acute kidney injury (AKI) group), horses at risk of acute kidney injury (AKI-risk group; divided into colic sufferers, recipients of nonsteroidal anti-inflammatory drugs (NSAIDs) and recipients of gentamicin) and horses diagnosed with acute kidney injury (AKI group)
| AKI-risk group (n = 30) | |||||||||||||
|---|---|---|---|---|---|---|---|---|---|---|---|---|---|
| Parameter | Non-AKI group (n = 30) Colic (n = 10) | NSAIDS (n = 10) | Gentamicin (n = 10) | All | AKI | group (n = 11) | |||||||
| Min–max | Me (Q1– n’ Q3) | Min–max | Me (Q1– n’ Q3) | Min–max | Me (Q1– n’ Q3) | Min–max | Me (Q1– n’ Q3) | Min–max | Me (Q1–Q3) n’ | Min–max | Me (Q1–Q3) n’ | ||
| NGAL | Serum | 25.00– 95.20 | 50.50 (38.80– 0 58.80) | 30.70– 201.90 | 73.00 (54.50– 3 129.70) | 27.20– 74.20 | 45.80 (33.70– 0 61.10) | 31.10–91.20 | 48.30 (40.40– 0 57.30) | 27.20– 201.90 | 51.10 (40.40– 3 66.90) | 50.60– 277.60 | 98.10 (59.40– 6 128.20) |
| (ng/mL) | Urine | 8.50– 41.70 | 20.70 (17.90– 4 24.50) | 12.90– 112.10 | 53.40 (31.10– 7 64.20) | 18.80– 59.80 | 30.20 (23.10– 3 47.80) | 12.80–60.90 | 29.80 (25.20– 2 33.00) | 12.80– 112.10 | 32.30 (23.70– 12 55.80) | 19.10– 223.00 | 36.60 (26.80– 7 89.90) |
| Cystatin | Serum C | 0.13–0.71 | 0.25 (0.19– 2 0.37) | 0.09–1.01 | 0.36 (0.19– 3 0.60) | 0.08–0.40 | 0.24 (0.15– 0 0.26) | 0.06–0.55 | 0.19 (0.13– 1 0.26) | 0.06–1.01 | 0.23 (0.15– 0.37) 4 | 0.07–1.71 | 0.61 (0.37– 7 1.13) |
| (mg/L) | Urine | 0.06–0.50 | 0.10 (0.07– 2 0.13) | 0.02–0.43 | 0.25 (0.10– 5 0.35) | 0.07–0.19 | 0.13 (0.12– 0 0.13) | 0.05–0.34 | 0.14 (0.08– 1 0.19) | 0.02–0.43 | 0.13 (0.10– 6 0.19) | 0.10–0.50 | 0.34 (0.22– 9 0.37) |