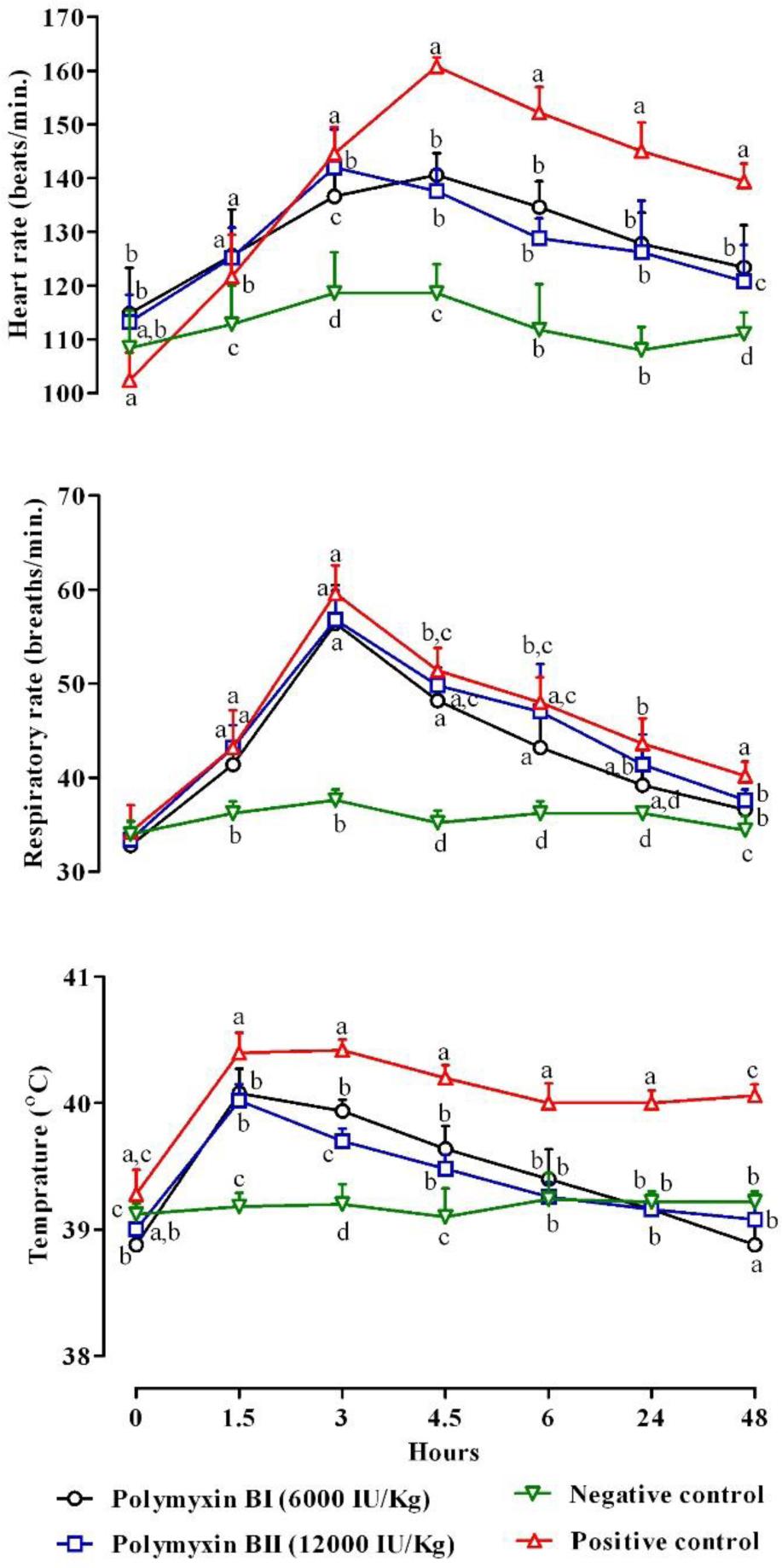
Fig. 1

TNF-α, Hp, and lactate concentrations (mean ±SD) at different hours after intravenous LPS administration in all experimental groups
| Parameters | Groups | Hours | ||||||
|---|---|---|---|---|---|---|---|---|
| 0 | 1.5 | 3 | 4.5 | 6 | 24 | 48 | ||
| TNF-α (ng/L) | Negative control | 169 ± 85 | 178 ± 79 | 183 ± 77ac | 179 ± 79a | 182 ± 83a | 184 ± 85a | 190 ± 85a |
| Positive control | 178 ± 31 | 223 ± 57 | 270 ± 37b | 325 ± 16b | 337 ± 10b | 336 ± 13b | 325 ± 14b | |
| Polymyxin BI | 169 ± 50 | 186 ± 47 | 191 ± 51a | 202 ± 53a | 191 ± 55a | 183 ± 50a | 180 ± 48a | |
| Polymyxin BII | 168 ± 25 | 182 ± 21 | 199 ± 38ab | 233 ± 63a | 213 ± 36a | 200 ± 20a | 194 ± 15a | |
| Hp (mg/L) | Negative control | 232 ± 11 | 242 ± 14 | 246 ± 23a | 253 ± 21c | 259 ± 29c | 253 ± 33c | 253 ± 34c |
| Positive control | 254 ± 33 | 301 ± 32 | 395 ± 50c | 448 ± 39b | 524 ± 44b | 565 ± 19b | 589 ± 14b | |
| Polymyxin BI | 248 ± 51 | 300±100 | 330 ± 113ac | 374± 130a | 397 ± 141a | 439± 142a | 442± 150a | |
| Polymyxin BII | 261 ± 38 | 282 ± 50 | 299 ± 49a | 312 ± 56ac | 327 ± 65ac | 339 ± 68ac | 362 ± 83ac | |
| Lactate (g/L) | Negative control | 0.67 ± 0.01 | 0.90 ± 0.01b | 1.23 ± 0.02a | 1.33 ± 0.03c | 1.35 ± 0.01a | 1.03 ± 0.01a | 0.65 ± 0.01b |
| Positive control | 0.63 ± 0.01 | 0.68 ± 0.01b | 2.51 ± 0.03b | 3.50 ± 0.04b | 4.30 ± 0.01c | 1.80 ± 0.04b | 0.80 ± 0.01bc | |
| Polymyxin BI | 0.74 ± 0.01 | 1.21 ± 0.03a | 1.12 ± 0.06a | 2.06 ± 0.02a | 2.10 ± 0.07a | 1.15 ± 0.01a | 1.10 ± 0.03ac | |
| Polymyxin BII | 0.59 ± 0.01 | 0.65 ± 0.01 b | 1.51 ± 0.04a | 2.48 ± 0.05a | 3.15 ± 0.08b | 1.70 ± 0.02b | 1.30 ± 0.02a | |
P value of trend change of each parameter in separate groups from hour 0 to hour 48
| Groups | Parameters | |||||
|---|---|---|---|---|---|---|
| Hp | TNF-α | Lactate | Heart rate | Respiratory rate | Temperature | |
| Negative control | 0.213 | 0.294 | 0.093 | 0.4 | 0.942 | 0.165 |
| Positive control | 0.001 Stars indicate significant trend change for each parameter in different groups (P < 0.05). In this table the time is considered as a covariable | 0.002 Stars indicate significant trend change for each parameter in different groups (P < 0.05). In this table the time is considered as a covariable | 0.001 Stars indicate significant trend change for each parameter in different groups (P < 0.05). In this table the time is considered as a covariable | 0.001 Stars indicate significant trend change for each parameter in different groups (P < 0.05). In this table the time is considered as a covariable | 0.287 | 0.049 |
| Polymyxin BI | 0.01 Stars indicate significant trend change for each parameter in different groups (P < 0.05). In this table the time is considered as a covariable | 0.071 | 0.021 | 0.03 | 0.249 | 0.012 Stars indicate significant trend change for each parameter in different groups (P < 0.05). In this table the time is considered as a covariable |
| Polymyxin BII | 0.009 Stars indicate significant trend change for each parameter in different groups (P < 0.05). In this table the time is considered as a covariable | 0.146 | 0.001 Stars indicate significant trend change for each parameter in different groups (P < 0.05). In this table the time is considered as a covariable | 0.566 | 0.888 | 0.001 Stars indicate significant trend change for each parameter in different groups (P < 0.05). In this table the time is considered as a covariable |