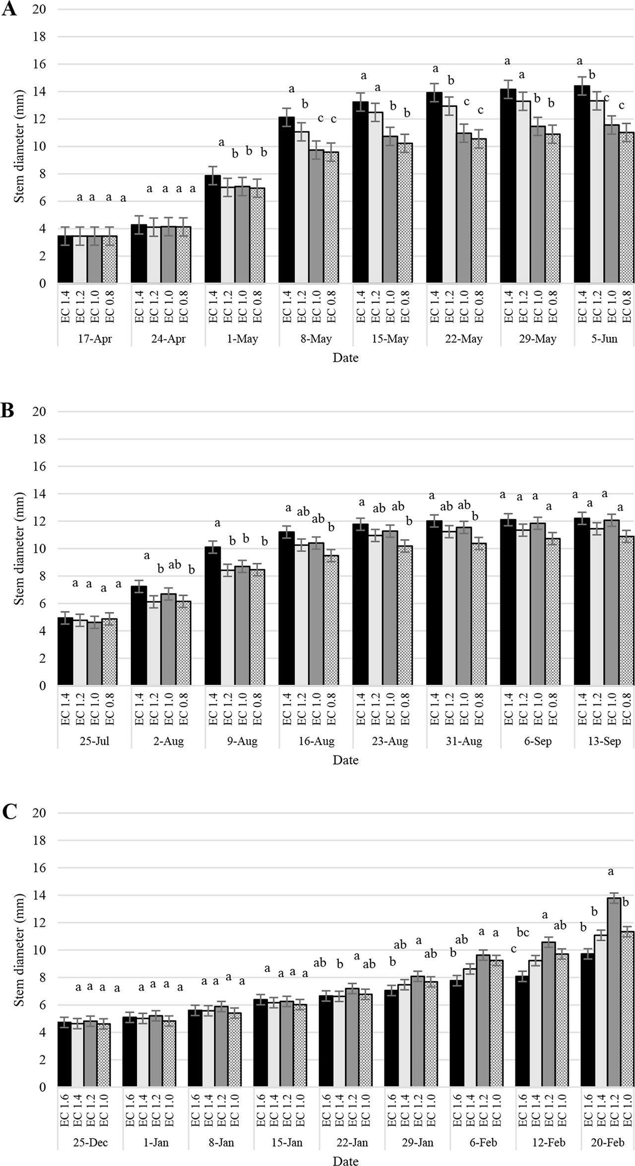
Figure 1.

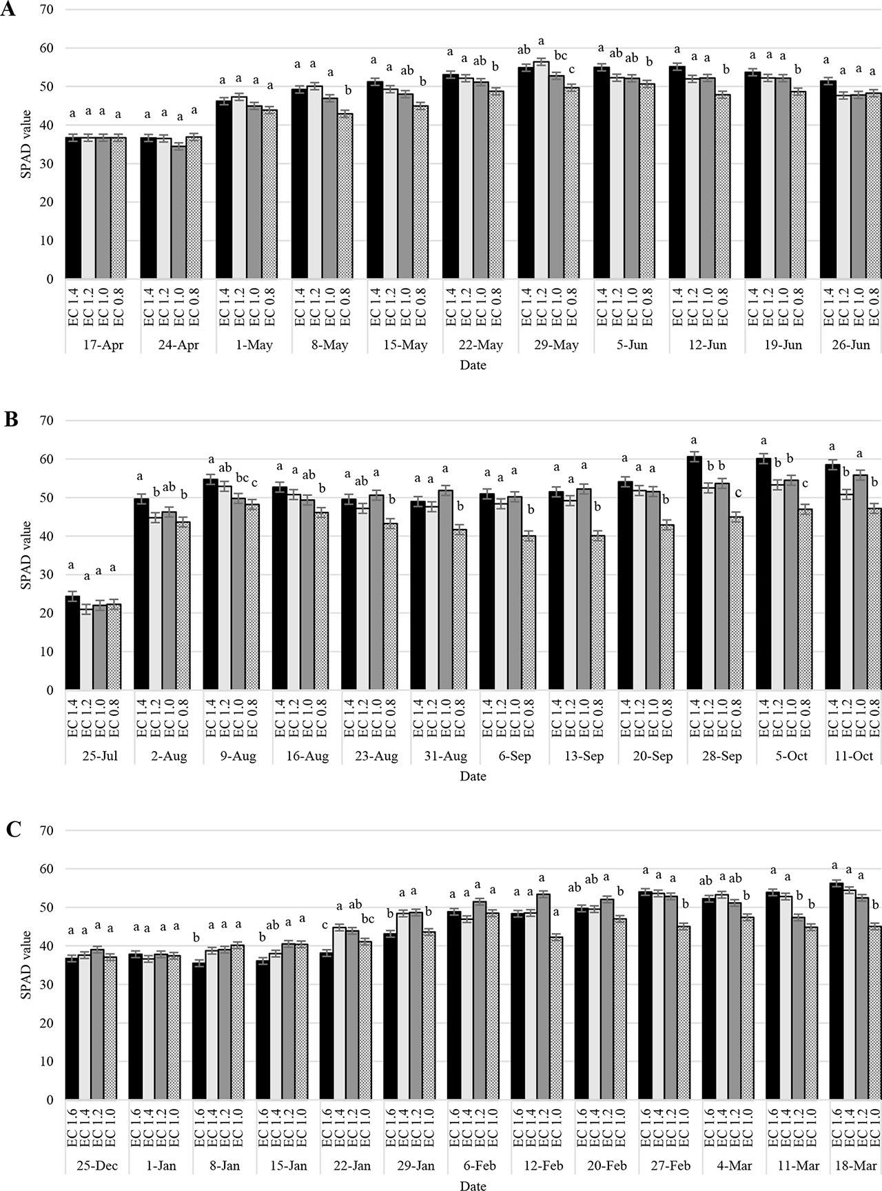
Figure 2.

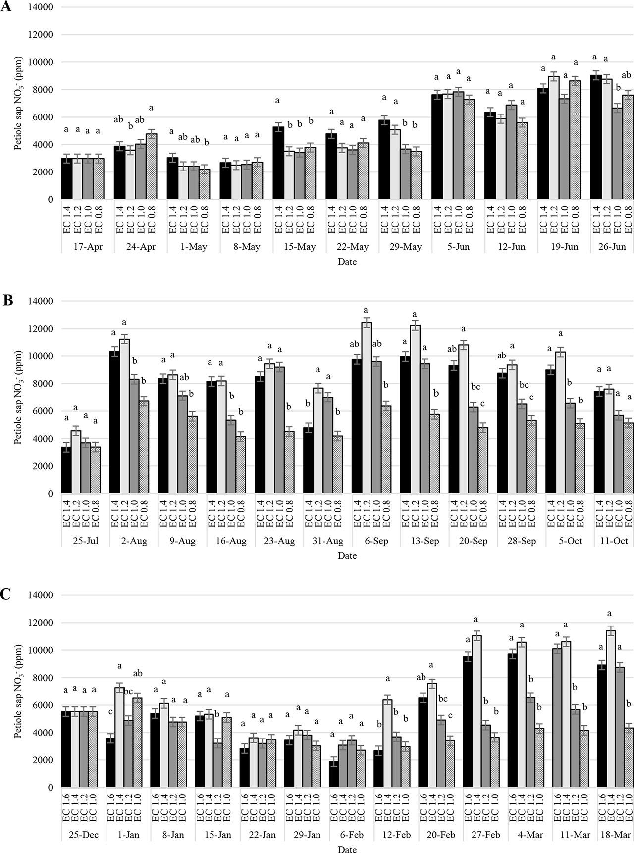
Figure 3.

Figure 4.

Figure 5.

Figure 6.

Figure 7.

Figure 8.

Figure 9.

Effect of nutrient solution concentration expressed as EC on yield of marketable tomato fruit and their appearance in the spring, summer, and winter production cycles
| Production cycle | Treatment | Fine fruit (number per plant) | Fine fruit (g per plant) | Mean fruit weight (g) | Cracked fruit (number per plant) |
|---|---|---|---|---|---|
| Spring | EC 1.4 | 3.8 ± 0.06 | 723.8 ± 4.0 a | 186 ± 3.7 a | 0.07 ± 0.01 |
| EC 1.2 | 3.7 ± 0.07 | 706.7 ± 11.2 a | 191 ± 4.7 a | 0.04 ± 0.01 | |
| EC 1.0 | 3.7 ± 0.07 | 625.8 ± 20.8 b | 172 ± 6.51ab | 0.08 ± 0.02 | |
| EC 0.8 | 3.8 ± 0.08 | 573.1 ± 20.5 b | 150 ± 7.3 b | 0.06 ± 0.01 | |
| Summer | EC 1.4 | 0.5 ± 0.11 b | 62.8 ± 18 b | 118.4 ± 9.9 | 0.06 ± 0.01 b |
| EC 1.2 | 1.2 ± 0.11 a | 173.7 ± 22 a | 141.1 ± 7.5 | 0.13 ± 0.03 ab | |
| EC 1.0 | 1.1 ± 0.15 a | 155.0 ± 15.8 a | 132.9 ± 8.2 | 0.19 ± 0.04 a | |
| EC 0.8 | 0.6 ± 0.09 b | 68.3 ± 8.2 b | 115.8 ± 8.9 | 0.1 ± 0.01 ab | |
| Winter | EC 1.6 | 2.1 ± 0.04 | 220.6 ± 0.21d | 104.4 ± 2.1b | 0.7 ± 0.09 |
| EC 1.4 | 2.2 ± 0.08 | 270.1 ± 0.41a | 119.7 ± 4.9a | 0.6 ± 0.09 | |
| EC 1.2 | 2.2 ± 0.04 | 267.0 ± 0.40b | 121.3 ± 2.3a | 0.9 ± 0.09 | |
| EC 1.0 | 2.3 ± 0.04 | 259.0 ± 0.40c | 113.1 ± 1.9ab | 0.7 ± 0.09 | |
Effect of nutrient solution concentrations expressed as EC on soluble solid concentration and acidity of tomato fruit in the spring, summer, and winter production cycles
| Production cycle | Treatment | SSC (%) | Acidity (%) | SSC to acidity ratio | |
|---|---|---|---|---|---|
| Spring | EC 1.4 | 5.4 ± 0.12 a | 0.75 ± 0.02 | 7.4 ± 0.4 | |
| EC 1.2 | 4.8 ± 0.15b | 0.75 ± 0.02 | 6.5 ± 0.3 | ||
| EC 1.0 | 4.7 ± 0.13b | 0.69 ± 0.01 | 6.8 ± 0.3 | ||
| EC 0.8 | 4.7 ± 0.18b | 0.66 ± 0.03 | 7.4 ± 0.4 | ||
| Summer | EC 1.4 | 5.4 ± 0.08 a | 0.95 ± 0.04 a | 5.8 ± 0.3 b | |
| EC 1.2 | 4.9 ± 0.15 b | 0.69 ± 0.02 b | 7.2 ± 0.2 a | ||
| EC 1.0 | 4.8 ± 0.13 b | 0.73 ± 0.03 b | 6.7 ± 0.2 ab | ||
| EC 0.8 | 4.7 ± 0.11 b | 0.71 ± 0.03 b | 6.8 ± 0.3 ab | ||
| Winter | EC 1.6 | 6.1 ± 0.13 | 0.78 ± 0.04 | 9.3 ± 1.9 | |
| EC 1.4 | 5.7 ± 0.15 | 0.71 ± 0.03 | 8.1 ± 0.2 | ||
| EC 1.2 | 5.9 ± 0.17 | 0.74 ± 0.04 | 8.1 ± 0.3 | ||
| EC 1.0 | 6.1 ± 0.06 | 0.71 ± 0.03 | 8.9 ± 0.5 | ||
Daily uptake of macronutrients by tomato plants during the spring, summer, and winter production cycles
| Treatment | N (mg per plant) | P2O5 (mg per plant) | K2O (mg per plant) | MgO (mg per plant) | CaO (mg per plant) |
|---|---|---|---|---|---|
| EC 1.4 | 26.22 ± 3.30a | 12.90 ± 1.69a | 56.05 ± 7.34a | 10.12 ± 1.32a | 27.64 ± 3.62a |
| EC 1.2 | 18.10 ± 2.43ab | 8.74 ± 1.20ab | 37.96 ± 5.21ab | 6.85 ± 0.94ab | 18.72 ± 2.57ab |
| EC 1.0 | 13.84 ± 1.68b | 6.73 ± 0.78b | 29.24 ± 3.39b | 5.27 ± 0.61b | 14.41 ± 1.67b |
| EC 0.8 | 9.39 ± 1.14b | 4.50 ± 0.54b | 19.58 ± 2.34b | 3.53 ± 0.42b | 9.65 ± 1.15b |
| EC 1.4 | 14.51 ± 2.17a | 6.77 ± 0.89a | 29.44 ± 3.87a | 5.31 ± 0.70a | 14.52 ± 1.91a |
| EC 1.2 | 19.06 ± 1.62a | 9.08 ± 0.74a | 39.47 ± 3.24a | 7.12 ± 0.58a | 19.46 ± 1.59a |
| EC 1.0 | 13.92 ± 0.94ab | 6.74 ± 0.54a | 29.28 ± 2.38a | 5.28 ± 0.43a | 14.44 ± 1.17a |
| EC 0.8 | 8.46 ± 0.57b | 4.09 ± 0.29b | 17.79 ± 1.27b | 3.21 ± 0.23b | 8.77 ± 0.62b |
| EC 1.6 | 10.10 ± 3.17 | 3.52 ± 0.87 | 14.05 ± 3.49 | 2.98 ± 0.74 | 8.14 ± 2.02 |
| EC 1.4 | 15.00 ± 3.26 | 5.63 ± 1.16 | 22.47 ± 4.63 | 4.76 ± 0.98 | 13.02 ± 2.68 |
| EC 1.2 | 13.80 ± 3.42 | 5.31 ± 1.22 | 21.18 ± 4.86 | 4.49 ± 1.03 | 12.27 ± 2.81 |
| EC 1.0 | 10.01 ± 2.48 | 3.96 ± 0.97 | 15.80 ± 3.89 | 3.35 ± 0.82 | 9.15 ± 2.25 |