Fig.1:

Fig.2:

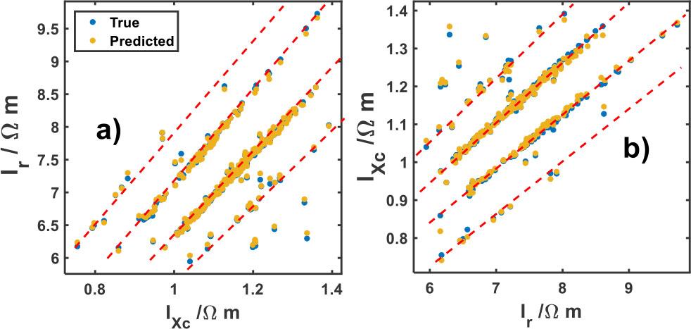
Fig.3:

Fig.4:

Accuracy parameters of specific resistance-reactance indexes (Ir, IXc) and phase angle (θ) responses_
| Response | Model | RMSE | R2 | MSE | MAE |
|---|---|---|---|---|---|
| Ir(Ωm) | Linear SVM | 0.0320 (Ωm) | 1.00 | 0.0010 (Ωm) | 0.0240 (Ωm) |
| IXc (Ωm) | Linear SVM | 0.0150 (Ωm) | 0.98 | 0.0002 (Ω2m2) | 0.1064 (Ωm) |
| θ (º) | Linear SVM | 0.0973 (º) | 0.98 | 0.0095 (°2) | 0.0609 (º) |