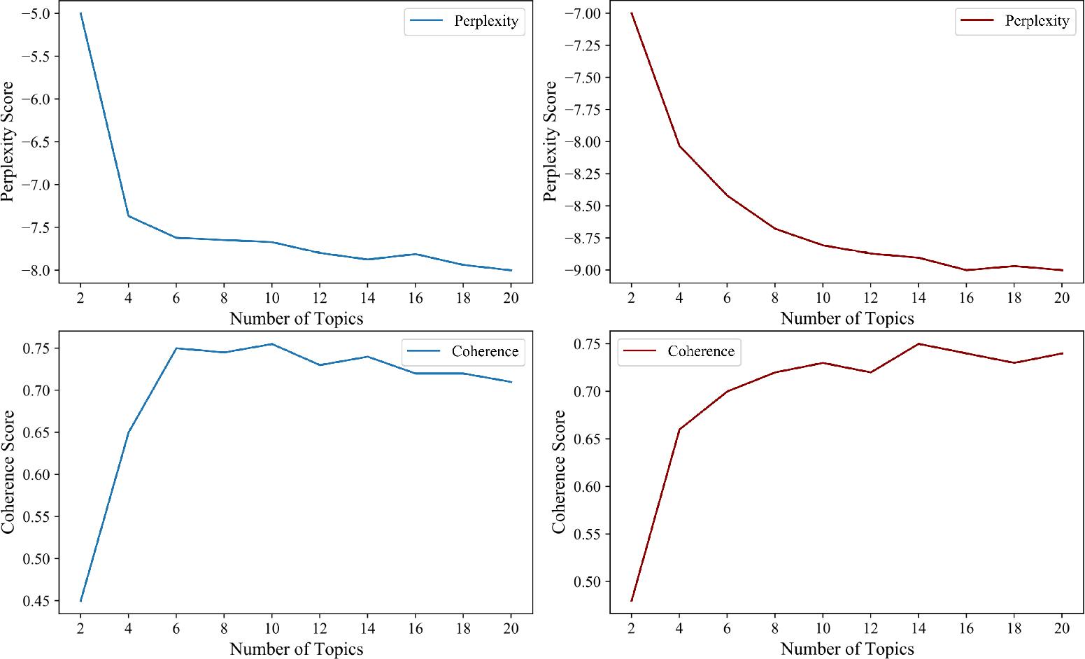
Figure 1.

Figure 2.

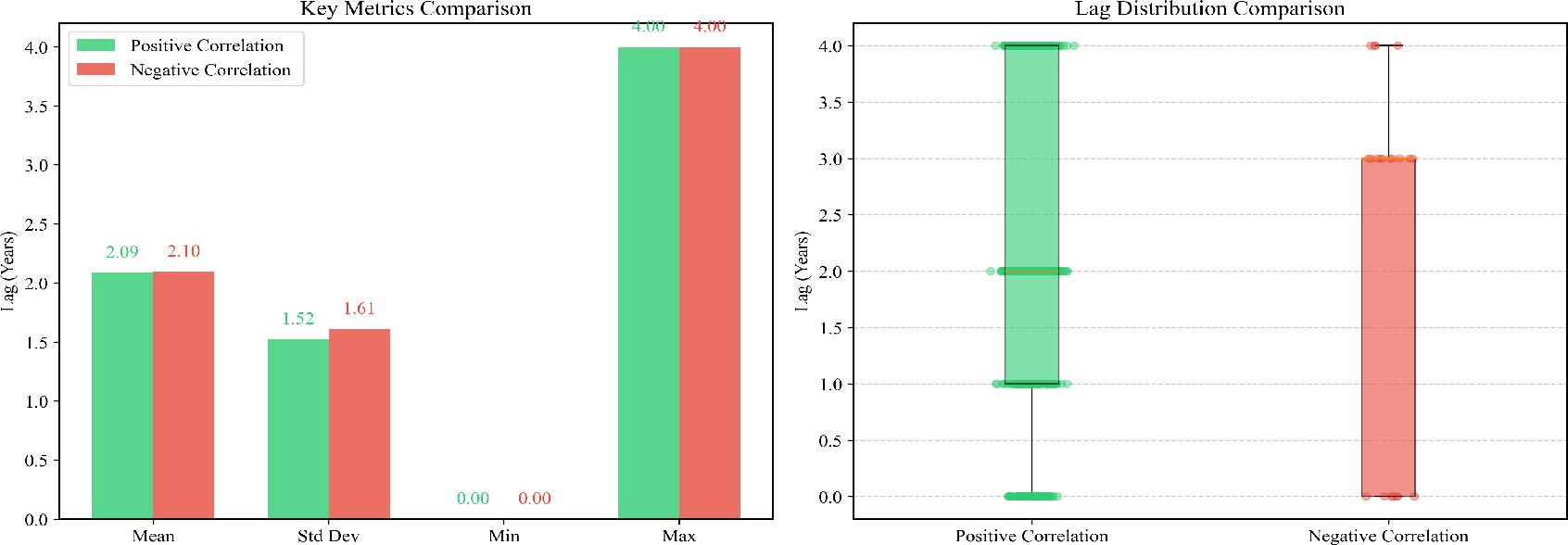
Figure 3.

Figure 4.

Figure 5.

Figure 6.

Figure 7.

Figure 8.

Figure 9.

Figure 10.











© 2025 Ziqiang Liu, Haiyun Xu, Lixin Yue, Zenghui Yue, published by Chinese Academy of Sciences, National Science Library
This work is licensed under the Creative Commons Attribution 4.0 License.