Figure 1

Figure 2

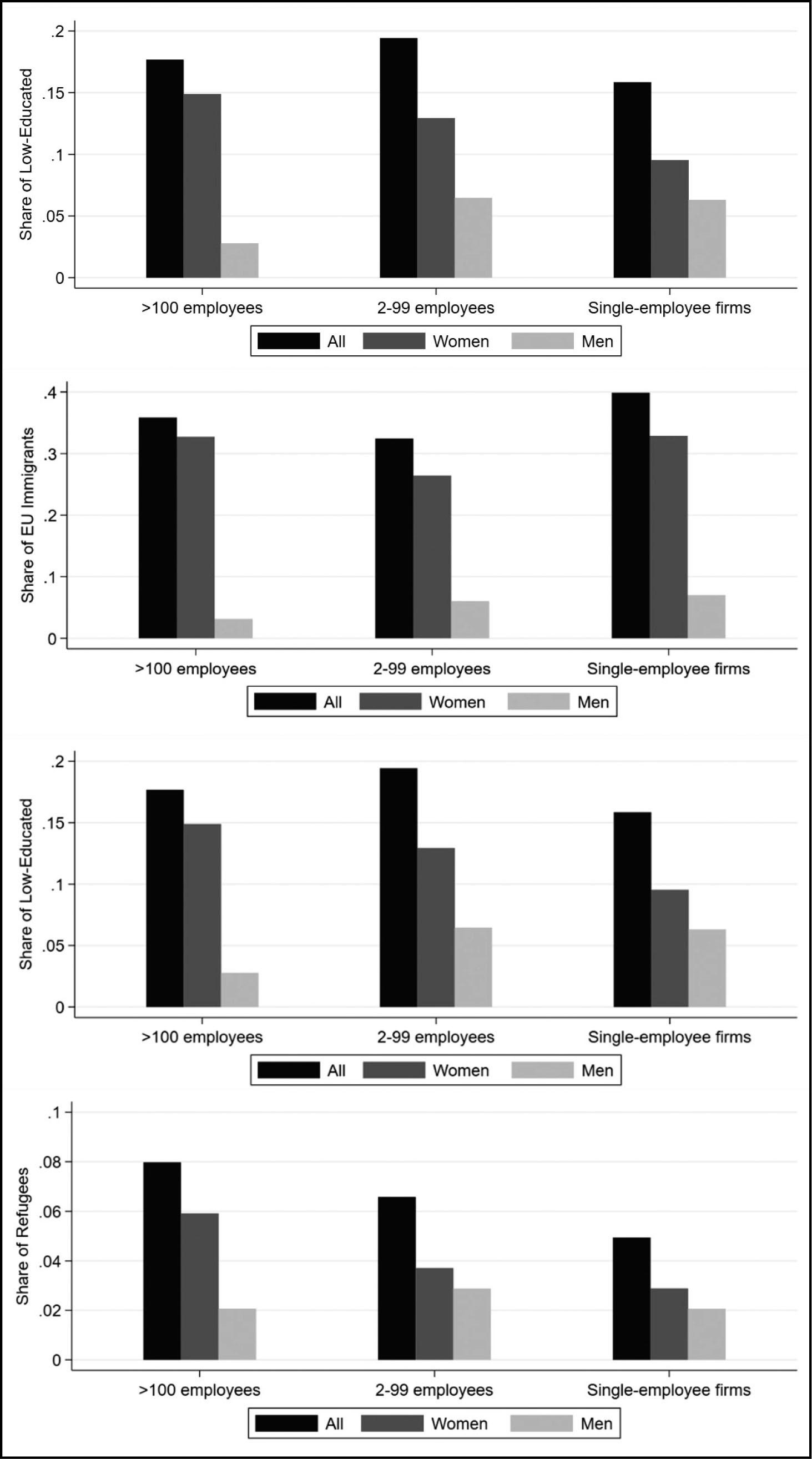
Figure 3

Figure 4

Figure 5

Figure 6

Figure 7

Figure 8

Figure W1

Figure W2

Figure W3

Figure W4

Figure W5

Figure W6

Figure W7

Figure W8

Figure W9

Figure W10

Figure W11

Figure W12

Figure W13

Figure W14

Distribution of 1-digit occupations across sectors (%)
| Subsidized firms | Highly subsidized firms | Commercial cleaning | Restaurant sector | Private sector | ||
|---|---|---|---|---|---|---|
| 0 | Armed Forces occupations | 0.06 | 0.06 | 0 | 0.06 | 0.02 |
| 1 | Managers, senior officials, legislators | 3.63 | 3.23 | 2.79 | 7.01 | 7.62 |
| 2 | Professionals | 1.48 | 1.47 | 1.16 | 0.95 | 15.45 |
| 3 | Technicians and associate professionals | 1.4 | 1.06 | 1.16 | 2.56 | 16.11 |
| 4 | Clerks | 2.66 | 2.27 | 2.34 | 1.91 | 8.99 |
| 5 | Service and sales workers | 7.96 | 7.53 | 8.03 | 37.72 | 16.86 |
| 6 | Skilled agricultural, fishery, forestry workers | 3.94 | 1.92 | 0.23 | 0.14 | 3.27 |
| 7 | Craft and related trades workers | 2.59 | 1.62 | 1.1 | 0.74 | 15.2 |
| 8 | Plant and machine operators and assemblers | 0.81 | 0.49 | 1.09 | 0.54 | 10.98 |
| 9 | Elementary occupations | 75.49 | 80.36 | 82.1 | 48.36 | 5.49 |
Assumptions about the sub-components in the price of domestic services_
| Percentage | Amount per 100 SEK of the price charged to the consumer, where of the tax-deduction is 50 SEK | |
|---|---|---|
| Price charged to the consumer | 100 | |
| where of Value Added Tax | 20% | 20 |
| Remaining amount of net sales | 80 | |
| whereof profit | 10% | 8 |
| whereof non-labor costs | 10% | 8 |
| Remaining amount of labor costs | 64 | |
| where of social contributions | 30% + 5% | 16.6 |
| Remaining wage amount | 47.4 | |
| Tax-deduction relative to the wage bill | 50 kr/47.4 kr = 1–05 | |
| Tax-deduction relative to net sales | 50 kr/80 kr = 0.625 |
Composition of employees by the manager's country of origin for subsidized firms
| Employees | Owner/Manager (% of firm-year observations) | ||||
|---|---|---|---|---|---|
| EU immigrants (32%) | Eastern European immigrants (23%) | Refugees (5%) | Non-EU immigrants (8%) | Swedish born (55%) | |
| EU immigrants | 0.77 | 0.91 | 0.34 | 0.10 | 0.23 |
| Eastern European immigrants | 0.68 | 0.88 | 0.16 | 0.06 | 0.16 |
| Refugees | 0.03 | 0.02 | 0.24 | 0.13 | 0.05 |
| Non-EU immigrants | 0.06 | 0.02 | 0.29 | 0.57 | 0.10 |
| Swedish born | 0.14 | 0.04 | 0.15 | 0.20 | 0.62 |
| Low-educated | 0.14 | 0.11 | 0.22 | 0.25 | 0.22 |
