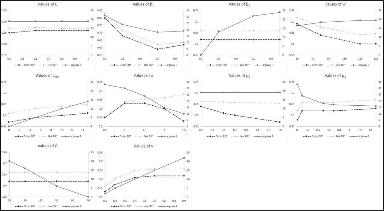
Figure 1

Figure 2

Figure 3

Figure 4

Figure 5

Figure 6

Figure 7

Figure 8

Functional Forms and Parameters
| Functions | Description | Functional Form | Source |
|---|---|---|---|
| u(cu) | Utility function | Chetty (2008) | |
| λ(s, a) | Cost of search effort | Cockx et al. (2018) | |
| g(a) | Subsistence production | Our choice | |
| P(s, a) | Probability of finding a job | Our choice |