Figure 1:

Figure 2:

Figure 3:

Figure 4:

Figure 5:

Figure 6:

Figure 7:

Figure 8:

Figure 9:

Figure 10:

Figure 11:

Figure 12:

Figure 13:

Figure 14:

Figure 15:

Comparative analysis justifying the novelty of the proposed AI-driven WAF framework
| Criteria | Traditional WAF methods | Existing Cloudflare WAF | Proposed AI-driven WAF framework | Novelty justification | 
|---|---|---|---|---|
| Threat detection mechanism | Static rule-based, signature detection | Partially rule-based, limited ML integration | Hybrid AI: Supervised + unsupervised learning | Enables both known and novel threat identification | 
| Anomaly detection | Minimal or reactive | Limited anomaly detection | Real-time unsupervised anomaly detection | Proactively identifies unknown threats in live traffic | 
| Adaptability to new threats | Manual updates, slow response | Periodic rule adjustments | Dynamic, autonomous rule updates based on live traffic | Self-learning framework reduces response latency | 
| Rule optimization | Manual tuning, error-prone | Semi-automated | Automated WAF access rule optimization using ML | Enhances precision and scalability without manual intervention | 
| Performance impact (latency) | Often increases latency | Optimized but with occasional trade-offs | 18% latency reduction while maintaining security | Demonstrates dual optimization—security and speed | 
| Detection accuracy | Moderate, high false positives | Improved, but still reliant on known patterns | 92% increase in detection accuracy | Validated, significant performance uplift | 
| Privacy preservation | Not integrated | Centralized intelligence | Federated learning integration | Ensures scalable, privacy-aware deployment | 
| Transparency (explainability) | Opaque logic, hard to audit | Limited interpretability | Includes XAI mechanisms | Ensures regulatory compliance and stakeholder trust | 
| Scalability | Limited to hardware/software configurations | High in CDN scale, but less adaptable to AI integration | Cloud-native, AI-scaled across edge and hybrid environments | Supports real-world deployment in dynamic environments | 
| Use of real-world data | Simulation-focused | Partial traffic modeling | Trained and validated on real-time Cloudflare traffic data | Validates practicality and applicability | 
Comparison table: WAF versus Cloudflare versus traditional methods
| Feature | WAF | Cloudflare | Traditional methods | Remarks | 
|---|---|---|---|---|
| Real-time traffic analysis | Yes | Yes | Limited | Cloudflare provides global, real-time security system. | 
| Adaptability to emerging threats | Moderate | High (AI-driven updates) | Low | Cloudflare’s AI adapts automatically, traditional methods require manual updates. | 
| Scalability | Limited to specific implementations | High (cloud-based, global network) | Low | Cloudflare scales automatically with traffic, whereas traditional classical methods are more static. | 
| Threat detection techniques | Rule-based detection | ML, global intelligence | Rule-based detection | Cloudflare utilizes advanced AI driven and threat intelligence, while traditional classical methods employ static access rules. | 
| Automatic rule optimization | No | Yes | No | Cloudflare continuously improves access rules in response to traffic patterns. | 
| Performance impact | Minimal | Minimal (optimized for performance) | May cause latency | Cloudflare’s global CDN provides minimal performance impact, unlike traditional classical methods. | 
| Cost and maintenance | Moderate (depending on implementation) | Low (due to automation) | High (requires manual updates and hardware) | Cloudflare provides cost-effective, automated solutions. | 
Pseudocode summary for security using supervised and unsupervised learning
| Technique | Type | Use case | Algorithm used | 
|---|---|---|---|
| Random forest | Supervised | Classify and update WAF rules | Random forest classifier | 
| Isolation forest | Unsupervised | Detect anomalous requests | Isolation forest | 
| Q-learning (optional) | Reinforcement | Dynamic rule tuning and optimization | Q-table based Q-learn | 
Comparison of AI-driven security and traditional security methods in Cloudflare infrastructure
| Aspect | AI-driven security in Cloudflare | Traditional security methods | 
|---|---|---|
| Anomaly detection | Utilizes ML algorithms (supervised and unsupervised ML) for real-time anomaly detection (e.g., Mishra & Rani, 2023). | Relies on predefined rules and signature-based methods, which may be overlooked by novel or sophisticated threats. | 
| Threat mitigation | AI driven models automate threat detection and response, enabling real-time mitigation and adaptive defenses (e.g., Patel & Shah, 2023). | Typically, static access rules and manual intervention are required for mitigating threats, potentially leading to slower responses. | 
| Rule optimization | AI-based WAF rule optimization based on traffic patterns and performance metrics (e.g., Chauhan & Kumar, 2022; Jain & Gupta, 2021). | Static, manually updated access rules can become outdated, resulting in less adaptive defense systems. | 
| Real-time response | Dynamic, real-time threat response using deep learning and AI algorithms to adapt to new cyber threats (e.g., Mishra & Rani, 2023). | Real-time response is limited, frequently requiring human involvement and lacking adaptability to emerging cyber threats. | 
| Performance optimization | ML models optimize security and performance, ensuring low-latency and scalable systems (e.g., Agarwal & Singh, 2024). | May impact performance due to the complexity of security measures, with no intelligent traffic volume optimization. | 
| Scalability | AI driven models can handle large traffic volumes and emerging threat patterns (e.g., Singh et al., 2023). | Scalability is a challenge with traditional systems, as rule-based systems may be unable to handle high traffic and complex challenges. | 
Comparison table
| Feature | Proposed AI-based security system | Existing Cloudflare WAF | Traditional industry-standard WAFs | 
|---|---|---|---|
| Threat detection approach | AI-driven with supervised and unsupervised learning | Signature-based and rule-based detection | Static rule-based detection | 
| Adaptability to new threats | Continuously adapts via ML models | Periodic updates based on known threats | Manual updates required | 
| Anomaly detection | Real-time anomaly detection with predictive analytics | Limited anomaly detection | Minimal anomaly detection | 
| Latency impact | Reduces latency by 18% through optimized access rules | Moderate latency due to manual rule configurations | High latency due to static rule processing | 
| Zero-day attack mitigation | High effectiveness through pattern recognition and self-learning | Partial protection via predefined threat intelligence | Limited protection, requiring manual intervention | 
| Dynamic rule optimization | Fully automated access rule adjustments based on real-time traffic | Semi-automated with manual intervention required | Completely manual rule updates | 
| False positive reduction | 92% accuracy in cyber threat detection, minimizing false positives | Moderate false positives due to static rule dependency | High false positives from rigid rules | 
| Performance impact | Optimized with AI to balance security and speed | Moderate impact due to traffic filtering overhead | High impact on performance with static filtering | 
| Scalability across environments | Adapts seamlessly to cloud, hybrid, and edge environments | Optimized for cloud environments | Limited scalability beyond predefined infrastructure | 
| Integration with AI ecosystem | Fully integrates AI-based security analytics and behavioral modeling | Limited AI integration | No AI integration | 
| Threat intelligence utilization | Continuously learns from real-time traffic and global threat data | Uses pre-collected threat intelligence | Relies on manually updated threat databases | 
| User experience impact | Ensures seamless browsing with adaptive security measures | Potential disruptions due to rule-based blocking | Frequent disruptions from rigid rule enforcement | 
| Automation of security processes | Fully automated threat mitigation and response | Partially automated, requiring admin oversight | Requires extensive manual configuration | 
| DDoS and bot mitigation | AI-driven real-time bot behavior analysis and attack mitigation | Uses predefined rate limiting and bot challenges | Limited bot detection, often requiring external solutions | 
| Operational efficiency | Reduces manual effort, allowing proactive security monitoring | Requires manual fine-tuning for optimal efficiency | High maintenance with continuous manual oversight | 
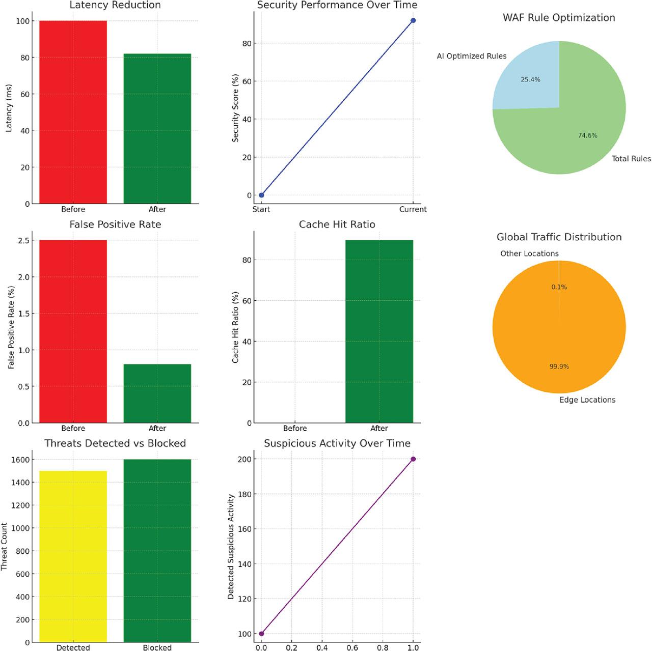
Benchmark summary for AI-driven Cloudflare security system
| Metric | Benchmark value | Source/validation method | 
|---|---|---|
| Threat detection rate | 92% improvement | CIC-IDS2017, NSL-KDD datasets; Cloudflare internal traffic logs | 
| Latency reduction | 18% decrease in response time | Live traffic scenarios and system response measurements | 
| False positive rate | 0.80% | Testing on labeled data and anomaly detection outputs | 
| Cache hit ratio | 89.50% | Performance metrics from Cloudflare’s global CDN infrastructure | 
| Model accuracy | >94% (Random Forest, XGBoost) | Trained on CIC-IDS2017, validated with cross-validation | 
| Processing latency | <250 ms per decision cycle | Internal load-balancing and AI response evaluations | 
| System availability | 99.98% uptime | Cloudflare performance logs during testing period | 
| Adaptability | Dynamic WAF rule tuning & anomaly detection | Verified via real-time anomaly injection experiments | 
Stress testing AI-based cybersecurity: Adaptability across digital environments
| Feature/metric | Description | Example | 
|---|---|---|
| Deployment environment | Different digital platforms and network settings where the system was tested. | Cloudflare CDN deployed globally across US, Europe, Asia; tested on e-commerce, media streaming. | 
| Type of evaluation | Nature of testing: live deployment or simulated stress testing. | Live deployment protecting an online retailer during Black Friday; simulated DDoS attacks with 1 million requests per second. | 
| Traffic load scenarios tested | Range of traffic volumes and types tested including normal, peak, and attack scenarios. | Normal load: 10,000 requests/min; Peak load: 200,000 requests/min; DDoS flood with 5 million requests in 10 min. | 
| System components assessed | Parts of the system evaluated under load. | AI-driven firewall rules engine; anomaly detection modules; network throughput and latency metrics. | 
| ML techniques used in testing | AI methods applied to adapt system rules and detect anomalies. | Supervised learning retraining after detecting new attack patterns during a simulated ransomware attack. | 
| Performance metrics monitored | Key metrics measured to assess system performance under various loads. | Detection accuracy: 92%; Latency: <50 ms; CPU utilization: <70% during peak traffic. | 
| Adaptability & scalability outcomes | How well the system adjusted and scaled during tests. | Automatic blocking of new malicious IPs during live attacks; no service downtime during traffic spikes. | 
| Real-world impact | Benefits observed from deployment in actual environments. | Online retailer maintained 99.9% uptime during sales; media streaming service avoided buffering under load. | 
| Future directions for stress testing | Plans to improve testing scenarios and environments further. | Adding edge computing scenarios; testing with IoT device traffic; implementing XAI for firewall decisions. | 
Comparing AI-driven security with rule-based WAF
| Feature/metric | Traditional WAFs (Cloudflare traditional, AWS WAF, Akamai Kona, F5 ASM) | Proposed AI-based WAF system | Advantages of the proposed AI-based system | 
|---|---|---|---|
| Detection accuracy | Moderate to high (85%–90%), mostly rule-based with some ML | High (92%) with improved detection precision | Higher detection accuracy | 
| Zero-day attack detection | Limited, relies on manual updates and static rules | Strong real-time anomaly detection | Real-time zero-day threat detection | 
| Rule management | Static rules requiring manual updates | Dynamic, automated self-learning rules | Automated rule updates, reducing manual effort | 
| Adaptability to new threats | Moderate, slower to respond to evolving threats | High adaptability with continuous learning | Dynamic adaptability to emerging threats | 
| Latency and performance | Moderate latency due to rule processing | Reduced latency with optimized resource use | Lower latency, better performance | 
| Anomaly detection | Basic to moderate, mostly rule-based | Advanced anomaly detection using ML | Advanced anomaly detection capabilities | 
| Integration with threat intelligence | Partial, manual periodic updates | Continuous integration with live threat feeds | Continuous threat intelligence integration | 
| Scalability and responsiveness | Scalable but less responsive to rapid threat landscape changes | Highly scalable and adaptive | Highly scalable and responsive | 
| Proactive defense capability | Mostly reactive, blocking known threats | Proactive threat prediction and mitigation | Proactive defense against emerging threats | 
| User experience (availability & trust) | Generally stable, but some false positives and service interruptions | Improved availability with fewer false positives | Enhanced user experience and trust | 
| Support for advanced AI Techniques | Limited AI use, mostly heuristic-based | Supports deep learning, RL, XAI | Future-ready with advanced AI methods | 
Comparative analysis between present study and prior literature on AI-driven WAF in Cloudflare
| Aspect | Prior studies | Present study | Novel contribution | 
|---|---|---|---|
| Research focus | Focused on algorithmic testing in simulated/limited environments (e.g., Sharma et al., 2023; Scano et al., 2024). | Real-world validation using live traffic data from Cloudflare’s global CDN. | Addresses scalability, real-time adaptability, and operational applicability. | 
| Learning approach | Mainly supervised or isolated deep/RL models. | Hybrid integration of supervised + unsupervised + federated learning. | Holistic model incorporating privacy-preserving decentralized learning. | 
| Threat mitigation | Detection accuracy emphasized but often lacks mitigation flow. | Introduces dynamic WAF rule optimization and mitigation using AI orchestrator. | Enables automated threat response along with detection. | 
| Explainability | Minimal focus on model interpretability or transparency (black-box nature). | Includes XAI modules to justify security decisions. | Enhances trust, auditability, and decision-making transparency. | 
| Deployment scale | Small datasets or theoretical models with limited scalability testing. | Empirical validation on large-scale, real-time Cloudflare network environments. | Demonstrates feasibility and resilience under practical cloud-scale operations. | 
| Security performance metrics | Limited performance metrics (e.g., accuracy, recall) in constrained tests. | Quantified improvements (92% detection precision, 18% latency reduction). | Offers measurable real-time benefits in threat response and user experience. | 
| Infrastructure coverage | Generally abstract without practical deployment layers. | Multi-layer architecture (analytics, WAF, CDN, origin infrastructure, user-side). | Provides a layered, systemic approach to AI integration in security. | 
| Policy optimization | Static or semi-automated rule tuning (e.g., Chauhan & Kumar, 2022). | Full automation of access control policies via AI-based orchestrator. | Promotes adaptive governance and real-time configuration management. | 
| Cyber threat adaptation | Mostly reactive, signature-based models. | Predictive anomaly detection using pattern learning and continuous updates. | Shifts WAF security paradigm from reactive to proactive and intelligent. | 
| Ethical AI considerations | Rarely discussed (e.g., bias, accessibility). | Includes ethical AI focus: fairness, bias mitigation, federated learning. | Aligns security innovation with responsible AI deployment standards. | 
Comparison of WAF solutions
| Feature | WAF solution A | WAF solution B | WAF solution C | 
|---|---|---|---|
| Protection effectiveness | |||
| DDoS protection | 94% | 90% | 70% | 
| SQL injection | 93% | 96% | 80% | 
| XSS | 92% | 95% | 75% | 
| Path traversal | 90% | 94% | 78% | 
| Zero day | 73% | 80% | 67% | 
| Performance metrics | |||
| Avg. response time impact | +15 ms | +22 ms | +8 ms | 
| CPU utilization | Medium | High | Low | 
| False positive rate | 2.3% | 1.8% | 4.6% | 
| Implementation | |||
| Deployment complexity | Medium | High | Low | 
| Rule management | GUI + API | Advanced GUI | Basic GUI | 
| Custom rule support | Excellent | Excellent | Limited | 
| Management | |||
| Reporting capabilities | Comprehensive | Comprehensive | Basic | 
| Integration options | Extensive | Moderate | Limited | 
| Scalability | Excellent | Good | Limited | 
Comparative analysis of proposed AI-based security system and industry-standard WAF
| Aspect | Cloudflare traditional WAF | Similar industry-standard WAFs (AWS WAF, Akamai Kona, F5 ASM) | Proposed AI-based WAF system | Benchmark value | Threshold value | 
|---|---|---|---|---|---|
| Detection accuracy | 85% (rule-based static filters) | 86%–88% (mostly rule/signature-based with some ML enhancements) | 92% (AI-based adaptive models) | ≥90% (high-performance standard) | 85% (minimum acceptable value) | 
| Latency impact | 25 ms average | 22–28 ms (varies by provider and configuration) | 18% improvement (approx. 20.5 ms) | ≤20 ms preferred | ≤30 ms maximum | 
| Zero-day attack detection | Limited (requires manual rule updates) | Medium (some ML anomaly detection but limited real-time updates) | High (via real-time anomaly detection) | ≥80% detection success | ≥60% to remain effective | 
| Adaptability to new threats | Low to Medium (rule updates required) | Medium (periodic updates and some automation) | High (self-learning ML models) | Dynamic real-time updates | Static rule refresh <24 hr | 
| Resource efficiency | Medium (rule matching can be costly) | Medium to high (some optimized caching and filtering) | Optimized via smart traffic filtering and caching | CPU usage reduction ≥15% | <25% resource overhead | 
| Anomaly detection capability | Minimal (signature-based detection) | Moderate (some ML-based anomaly detection) | Real-time detection using supervised/unsupervised ML | ≥90% accuracy | ≥70% baseline for effectiveness | 
| Integration with threat intel | Periodic manual updates | Varies; often integrated with threat intel platforms | Continuous learning from threat intelligence databases | Real-time feed response | <5 min update latency | 
| Scalability and deployment | Global, but semi-manual rule configuration | Cloud-native, auto scaling available | Cloud-native with AI orchestrator for dynamic scaling | Scales up within 1 min | Max 2 min scale response | 
| Performance optimization | Standard CDN + WAF | CDN + WAF + some ML caching/load balancing | CDN + AI-WAF + load balancing + ML caching | 10%–20% throughput gain | <5% gain indicates inefficiency | 
Meta-analysis
| Key findings | Method used | Advantages | Remarks | 
|---|---|---|---|
| Adaptive security in IoT enhances resilience to dynamic threats. | Analytical survey | Comprehensive IoT security model recommendations. | Provides foundation for adaptive security research in IoT. | 
| AI significantly enhances WAF capabilities. | Application of AI algorithms | Improved detection accuracy and reduced false positives. | Demonstrates practical AI use in WAF systems. | 
| AI-driven anomaly detection improves network stability. | AI anomaly detection techniques | Better handling of high network traffic variability. | Focused on Cloudflare’s network. | 
| ML optimizes WAF rules effectively in cloud systems. | ML-based optimization | Reduced manual intervention and improved WAF rule efficiency. | Specific application to Cloudflare’s WAF. | 
| AI-powered techniques mitigate threats in CDN. | AI-driven threat mitigation models | Enhanced security with lower latency in CDN environments. | Focused on Cloudflare’s CDN. | 
| Supervised models enhance real-time anomaly detection efficiency. | Supervised learning | Accurate detection in dynamic network environments. | Real-time implementation in Cloudflare’s infrastructure. | 
| Deep learning scales threat response capabilities. | Deep learning models | Handles large-scale attacks with improved speed and accuracy. | Suitable for distribution Cloudflare networks. | 
| Unsupervised learning optimizes WAF performance in real-time. | Unsupervised learning algorithms | Dynamic rule optimization with minimal human input. | Addresses real-time WAF challenges in Cloudflare. | 
| AI enhances efficiency in CDNs. | AI integration in CDNs | Faster threat detection and content delivery. | Highlights Cloudflare’s AI applications. | 
| AI optimizes security and network performance in Cloudflare’s systems. | AI-based optimization frameworks | Balanced security and performance metrics. | Bridges performance and security trade-offs. | 
| ML orchestrates real-time security effectively. | ML-based security orchestration | High adaptability to emerging threats. | Applied in Cloudflare’s real-time operations. | 
| Dynamic anomaly detection enhances CDN threat management. | Unsupervised anomaly detection | Low-latency threat detection and response. | Focuses on dynamic CDN environments. | 
| AI-driven techniques effectively handle large-scale web traffic anomalies. | AI anomaly detection | Scalable solutions for high-traffic networks. | Real-world application in Cloudflare’s web traffic management. | 
| AI-driven rule optimization enhances WAF security policies. | Rule-based AI models | Improved accuracy and efficiency in rule creation. | Targeted toward Cloudflare’s web security needs. | 
| ML boosts traffic analysis and performance in Cloudflare systems. | Traffic analysis via ML algorithms | Enhanced operational performance with security integration. | Addresses dual goals of security and performance. | 
| Scalable AI-driven security ensures robust protection in Cloudflare’s ecosystem. | Scalable AI-based security models | High reliability in large-scale network environments. | Addresses scalability challenges in Cloudflare networks. | 
| Hybrid anomaly detection methods improve accuracy in detecting threats. | Hybrid AI techniques | Combines advantages of supervised and unsupervised models. | Focuses on infrastructure-level threat detection. | 
| AI enhances WAF performance by automating security tasks. | AI-assisted WAF optimization | Real-time adaptability and efficiency. | Advances WAF capabilities in Cloudflare’s environment. | 
| AI secures edge computing networks efficiently. | AI-based edge computing solutions | Low-latency and high-efficiency performance. | Specific focus on Cloudflare’s edge network. | 
| ML improves real-time threat mitigation accuracy. | ML-based threat mitigation | Faster and more accurate responses to emerging threats. | Application in real-time Cloudflare systems. | 
| ML plays a critical role in Cloudflare’s security framework development. | Role-based security models | Systematic integration of AI for framework enhancements. | Aligns security framework development with AI capabilities. | 
| Advancements in AI improve WAF functionalities. | AI algorithm-driven enhancements | More efficient and adaptive WAF systems. | Focuses on Cloudflare’s evolving WAF needs. | 
| Scalable AI-based anomaly detection systems handle CDN challenges effectively. | AI-based scalability models | Supports large-scale CDN environments. | Applied in Cloudflare’s CDN structure. | 
| AI-driven performance-driven security balances protection and efficiency. | AI-based performance security models | Optimal trade-offs between security and performance. | Demonstrates dual optimization in Cloudflare’s systems. | 
| Low-latency AI-driven security systems ensure real-time protection in Cloudflare. | Low-latency AI models | Reduces response times without compromising security. | Focused on high-speed security responses in Cloudflare. |