The history of project management can be traced back to the early 20th century when complex projects, such as large-scale engineering problems, required more structured and systematic methods to ensure successful completion. In project management environments, uncertainties and complexities often arise due to unpredictable variables such as fluctuating resource availability, evolving project requirements, and external risk factors. Under these uncertain environments, effective decision-making requires robust optimization techniques to balance competing objectives, such as reducing the project duration while controlling costs and resource utilization [1]. Traditional project management methods, such as the critical path method (CPM) [2] and the program evaluation and review technique (PERT) [3], serve as the foundational tools for planning and scheduling. However, these strategies may suffer in dynamic environments where uncertainty significantly impacts task durations and costs, respectively. Traditional optimization techniques often struggle to deal with uncertainties, leading to suboptimal solutions. Therefore, fuzzy logic [4] offers a more flexible modeling approach, allowing project managers to account for imprecise data when making decisions in unpredictable environments. As the project is implemented, the unpredictable factors have a continuing impact on the project schedule. Project managers need to take into account those unpredictable factors, to balance competing objectives simultaneously [5]. To address this, advanced optimization techniques, including multiobjective optimization algorithms [4, 5], are increasingly applied in project management. Advanced optimization techniques such as nature-inspired heuristic algorithms have gained significant attention in recent years due to their ability to efficiently explore and exploit the search space, providing near-optimal solutions within a reasonable computational time. These algorithms mimic natural processes like evolution, swarm intelligence, and knowledge-sharing behaviors to solve optimization problems across various domains.
In recent years, human-inspired algorithms have attracted considerable attention from researchers [6, 7, 8, 9]. Mohamed et al. [7] introduced the “Gaining Sharing Knowledge-based algorithm” (GSK), a nature-inspired algorithm designed for continuous space optimization problems. The GSK algorithm imitates how individuals acquire and share information throughout their life span, incorporating the “junior gaining and sharing phase” and the “senior gaining and sharing phase.” This algorithm is designed for single objective optimization problems. Ma et al. [8] implemented a modified version of the GSK-based algorithm, utilizing a dual-population framework and multiple operators referred to as the (mGSK-DPMO), serving as an adaptive technique to enhance the effectiveness of the GSK algorithm. Pan et al. [9] proposed an enhanced version of the GSK algorithm, specifically tailored for optimizing resource scheduling in the Internet of Vehicles (IoV). The proposed algorithm, termed “Parallel Opposition-Based Gaining-Sharing Knowledge-based algorithm (POGSK),” is compared with the GSK algorithm and several classical algorithms using the CEC2017 test suite. The findings demonstrate a noteworthy enhancement in the performance of the modified algorithm compared with the GSK algorithm. However, population diversity is rapidly lost during optimization, and GSK is prone to get trapped in local optimum, leading to an imbalance between exploration and exploitation. Liang and Wang [10] suggested an improving population diversity-based GSK to address the problem (EPD-GSK). The outcome of the experiment shows that EPD-GSK can successfully enhance the functionality of several different GSK algorithms. Chalabi et al. [11] proposed the “multiobjective gaining-sharing knowledge optimization (MOGSK)” approach, extending the application of the GSK algorithm to address multiobjective optimization problems. The approach utilizes an external archive population to maintain non-dominated solutions generated during optimization, which serves as a guiding mechanism. It incorporates fast non-dominated sorting and crowding distance calculations to retain diverse solutions while directing convergence to the Pareto optimal set. It also uses the ϵ-dominance relationship to update solutions in the archive population. Kapoor et al. [12] implemented a nature-inspired metaheuristic knowledge-based (NMHK) algorithm, an extension of GSK, to address real-life multiobjective optimization problems.
While various nature-inspired algorithms effectively address real-world optimization problems, their efficiency diminishes in the presence of uncertainties inherent in real-world scenarios. To overcome this limitation, integrating a fuzzy logic system offers a robust solution to handle these uncertainties effectively [13, 14, 15]. The analysis of project time under uncertainty has been extensively explored using the fuzzy set theoretic approach [16, 17]. Leu et al. [18] employed the fuzzy set theory to account for fluctuations in activity duration caused by changing environmental conditions. Sensitivity analysis of time–cost trade-off (TCT) profiles has been conducted through an integrated fuzzy-genetic algorithm (GA) method [19]. To address uncertainties related to activity execution time and cost in TCT problems under uncertain environments, fuzzy numbers have been effectively utilized [20]. A membership function characterizing the fuzzy minimal total crash cost (CC) was developed by Chen and Tsai [21], focusing on TCT analysis within fuzzy contexts. To capture managers’ behavior when estimating the duration and cost of TCT problems, a hybrid approach combining fuzzy logic and simulated annealing techniques was proposed by Suliman et al. [22]. Ke et al. [23] introduced a novel method integrating fuzzy simulation and GAs to address uncertainties in activity duration times. Srivastava et al. [24] tackled a wide range of TCT problems encountered in real-life engineering projects. Yildirim and Akcay [25] proposed a model utilizing fuzzy logic and GAs for time–cost optimization in building projects under uncertainty. Tabei et al. [26] highlighted the distinctive characteristics of construction projects, including uncertainties regarding project duration, resource variability, material costs, and employer payment ambiguities, all of which affect the accuracy of project cash flow predictions. To tackle TCT problems effectively, models that accurately depict real-world uncertainty are essential. Fuzzy logic has been widely applied to account for project duration and cost uncertainties [27]. Among the various approaches, fuzzy sets are the most widely used in management and engineering to analyze the impact of uncertainties on project time and cost.
After a comprehensive review of the existing literature, it was found that the human-inspired GSK algorithm has not been explored to solve real-world multiobjective optimization problems along with uncertainties in project management environments. As a result, there is a significant need for a tool to address an increasing number of real-world optimization problems, particularly those incorporating ambiguity in the data. Building on this foundation, we propose a novel fuzzy-gaining sharing knowledge (fuzzy-GSK)-based algorithm to tackle multiobjective optimization problems in project management environments.
The novelty of the fuzzy-GSK algorithm lies in developing a fuzzy logic-based framework that first assesses the impact of various uncertainties inherent in project management and subsequently optimizes competing objectives using a human-inspired GSK algorithm. The contributions of this work are explained as follows:
- 1)
Implementing a fuzzy inference system (FIS) to evaluate the impact of uncertain factors such as managerial expertise (ME), labor expertise (LE), and weather conditions (WC) on competing objectives, taking into account different case scenarios.
- 2)
The existing GSK-based algorithm has been modified to utilize a global population for updating the positions of individuals during the gaining and sharing phases.
- 3)
It introduces an intermediate population and a novel replacement strategy to update the population, distinguishing it from previous algorithms such as NMHK [12] and MOGSK [11], to enhance the optimization process.
- 4)
The proposed algorithm is evaluated and validated using ZDT benchmark problems, showcasing its effectiveness on standard test functions.
- 5)
The performance of the fuzzy-GSK algorithm is compared with existing meta-heuristic algorithms, revealing significant improvements across various metrics.
- 6)
To further assess the proposed algorithm’s effectiveness, real-world multi-objective optimization problems are also addressed.
Therefore, these features collectively contribute to the improved performance of the fuzzy-GSK algorithm. Hence, the fuzzy-GSK algorithm proves to be highly effective in project management scenarios, where decision-makers must navigate uncertainties while managing competing objectives.
Moreover, the rest of the paper is organized as follows: The initial section introduces fuzzy-GSK algorithm, followed by a literature review. In Section II–IV, the working methodology of fuzzy-GSK algorithm is described. The flowchart of fuzzy-GSK is showcased in Section IV. The fuzzy-GSK algorithm is validated using the benchmark problems, showcased in Section V. The description of the TCT problem is given in Section VI. The experimental results for real-world test problems are addressed in Section VII. The statistical analysis of the proposed fuzzy-GSK algorithm for different case scenarios are shown in Section VIII, while the contributions are summarized in Section IX.
The procedure of creating a fuzzy logic mapping from a given antecedent to a consequent is known as an FIS [13, 14]. It uses fuzzy logic operators, membership functions, and if–then rules. In this study, we implement a Mamdani-type FIS, using MATLAB’s (Mathworks, Inc) fuzzy logic toolbox, which is widely used in fuzzy techniques [15]. Furthermore, design of FIS is explained in the following:
For recording the impacts of “antecedent linguistic variables” (ME, LE, and WC) on each “consequent variables” (activity cost and activity time) of the project scheduling, the FIS editor is utilized, as illustrated in Figure 1. In order to model these linguistic characteristics, triangular membership functions are used.

FIS for linguistic antecedent and consequent variables. FIS, fuzzy inference system.
The mathematical formulations for the membership functions “Very Less, Less, Medium, Good, and Very Good” for the input factor ME, are provided in Eqs (1.a)–(1.e), respectively:
The mathematical formulations for the membership functions “Very Low, Low, Medium, High, and Very High” of the input factor LE, are provided in Eqs (1.f)–(1.j), respectively:
The mathematical formulations for the membership functions “Very Bad, Bad, Medium, Good, and Very Good” of the input factor WC are provided in Eqs (1.k)–(1.o), respectively:
The mathematical formulations for the membership functions “Very Small, Small, Small Medium, Medium, Long Medium, Long, and Very Long” of the output factor “activity time” are provided in Eqs (1.p)–(1.v), respectively:
The mathematical formulations for the membership functions “Very Small, Small, Small Medium, Medium, Large Medium, Large, and Very Large” of the output factor “activity cost” are provided in Eqs (1.w)–(1.ac), respectively:
Every antecedent linguistic variable is represented by five membership functions, and every consequent linguistic variable is modeled using seven membership functions (shown in Figures 2–6). Consequently, a total of 6,125 (5 × 5 × 5 × 7 × 7) rules are required for each project activity. This paper includes 252 sets of fuzzy rules, derived through intuition involving different rule combinations, shown in Figure 7. Among them, 126 sets pertain to “normal time” and “normal cost,” while the remaining 126 sets are for “crash time” and “crash cost” of the project activities. For example, one of the 126 rules is as follows: If ME is “good,” LE is “high,” and WC is “good,” then “activity time” is “small,” and “activity cost” is “small”. The remaining 125 fuzzy rule sets are created by combining various linguistic antecedent variables (ME, LE, and WC) and consequent variables (activity cost and activity time).

Membership function for ME. ME, managerial expertise.

Membership function for LE. LE, labor expertise.

Membership function for WC. WC, weather conditions.

Membership function for activity time.

Membership function for activity cost.

Set of fuzzy rules.
Defuzzification is the process of converting fuzzy linguistic outputs from an FIS into precise values, enabling their practical application. As the final step in fuzzy logic processing, it transforms abstract fuzzy reasoning into interpretable and usable outcomes, essential for decision-making in real-world scenarios. For TCTs in construction projects, defuzzification converts fuzzy linguistic pairs (e.g., “high cost and moderate time”) into a precise time–cost pair. This precise pair reflects the impact of uncertainties, such as weather or labor conditions, on project objectives.
FIS is explained with a step-by-step procedure:
Pseudo-code for designing FIS
The whole methodology of multiobjective GSK algorithm is represented as below.
Consider a population with Np individuals, where each individual xi for (i = 1,2,…, N) is represented as a vector xi = [xi1, xi2,…, xij,…,xiD], with D being the number of dimensions for each individual. The fitness functions fm, where m represents the number of objectives, are evaluated for each individual to guide the optimization process.
The population is divided into different Pareto fronts based on non-domination sorting [28]. Solutions in the first front are non-dominated and offer the best tradeoffs, while subsequent fronts are dominated by earlier ones. The first Pareto front, referred to as the global population, participates in the junior and senior phases of the knowledge gaining and sharing process.
This phase simulates the early stages of knowledge sharing, where individuals share knowledge within small groups. Individuals update their solutions by learning from their closest neighbors, focusing on exploration to avoid local optima.
The GSK algorithm incorporates a key concept where dimensionality D is calculated using a non-linear formula that varies throughout the optimization process. Specifically, during the junior phase, the dimensionality of the individuals is reduced as generations progress, according to the following equation, which is known as “experience equation” [7]:
- 1)
V represents the problem size, that is, the initial dimensionality of the solution space,
- 2)
g is the current generation,
- 3)
gmax is the maximum number of generations,
- 4)
K is the knowledge rate, affecting the dimensionality reduction.
This formulation reflects that as the algorithm progresses (i.e., as g increases), the dimensionality D decreases non-linearly, emphasizing the algorithm’s shift from exploration to exploitation.
The update of each individual in the junior phase (Figure 8) is calculated by arranging all individuals in ascending order based on their ranks. For each individual xi, the nearest better individual xi−1 and worse individual xi+1 are chosen as knowledge sources, along with a randomly selected individual xr for knowledge sharing. It is important to note that the best and worst individuals are updated using the two nearest better and worse individuals, respectively.

Vector xij during junior gaining and sharing of knowledge phase.
The junior scheme updates each individual’s position based on a learning process and this phase is managed by several key parameters, such as:
- 1)
Knowledge Factor (Kf): governs the amount of knowledge learned by the individual,
- 2)
Knowledge Ratio (Kr): balances the ratio between actual knowledge and currently gained knowledge, with values ranging from 0 to 1.
Pseudo-code 1 outlines the step-by-step procedure for gaining and sharing knowledge during the junior phase. In this pseudo-code, xi represents the vector of the parent population, while
Junior gaining and sharing of knowledge phase
The senior phase represents a more advanced stage of knowledge sharing, where individuals learn from more knowledgeable peers. The solution for the senior phase is illustrated in Figure 9, and the dimensionality during this phase is given in Eq. (3) [7]:

Vector xij during senior gaining and sharing of knowledge phase.
Pseudo-code 2 outlines the step-by-step procedure for gaining and sharing of knowledge during the senior phase, where individuals update their positions based on their sharing mechanism In this pseudo-code, individuals are classified into three categories: best (top N × p%),worst (bottom N × p%), and remaining (middle N − (2N × p%)).
For each individual xi, the senior scheme selects two random individuals from the top (xpbest) and bottom (xpworst) of the population for the gaining part, and a third random individual from the middle (xmiddle) for the sharing part. The value of p lies between [0,1] and p = 0.1, 10% of the population size is considered to be suitable.
Also, two important conclusions are drawn from Figures 8 and 9: the number of updated dimensions using the junior scheme is greater during the junior gaining and sharing phase than the senior scheme in senior gaining and sharing phase, and the quantity of knowledge transferred over generations is controlled by the knowledge rate (K).
The GSK algorithm updates its population by merging the parent, offspring, and global populations, ensuring that the best solutions from each population are retained. This algorithm fosters both diversity and advancement toward optimal solutions over successive generations. The update process selects top-performing individuals based on factors like ranking or crowding distance, while weaker solutions are replaced by newly generated offspring. By refining the population in this way, the algorithm improves overall solution quality while maintaining diversity, preventing premature convergence, and driving the search toward global optima.
Senior gaining and sharing of knowledge phase
To create a “fuzzy time–cost pair” for every activity of the project scheduling, the suggested technique first inputs project uncertainties, that is, “ME, LE, and WC” into the Fuzzy Logic Framework (Section II). The GSK algorithm is then used, and it operates as described in Section III. The flowchart of the working of fuzzy-GSK is explained in Figure 10.

Working methodology of fuzzy-GSK. fuzzy-GSK, fuzzy-gaining sharing knowledge-based algorithm.
To assess the effectiveness of the proposed algorithm, a diverse set of benchmark problems from the ZDT test suite [29] is utilized. These problems highlight both the strengths and possible limitations of the fuzzy-GSK in addressing complex optimization problems. For solving these benchmarks, the key initial parameters of the fuzzy-GSK are initial population size NP = 200, Knowledge rate K = 10, Knowledge factor Kf = 0.5, and Knowledge ratio Kr = 0.9.
The fuzzy-GSK algorithm concludes either when no changes in tradeoff points are observed over 10 consecutive iterations or after 15,000 generations (gmax), a threshold established through extensive testing.
The ZDT1 problem features a convex Pareto-optimal front. The objective functions f1(u) and f2(u) which are to be minimized, subject to constraint g(u), are defined as follows:
In this problem, 30 decision variables are used, that is, n = 30 and each variable ui is bounded between 0 and 1. The Pareto-optimal front occurs when g = 1.0.
This benchmark problem is solved using the fuzzy-GSK algorithm (under normal conditions), and the results are shown in Figure 11. It is evident that the results obtained from this algorithm are evenly dispersed across the solution space and closely align with the Pareto-optimal front. This highlights the fuzzy-GSK capability to converge on the Pareto-optimal front while identifying diverse solutions to complicated problems.

ZDT1 using fuzzy-GSK. fuzzy-GSK, fuzzy-gaining sharing knowledge-based algorithm.
The ZDT2 function features a non-convex Pareto-optimal front. The objective functions f1(u) and f2(u) which are to be minimized, subject to constraint g(u), are defined as:
In this formulation, 30 decision variables ui are utilized (n = 30), with each variable taking values from 0 to 1. The Pareto-optimal front is achieved when g = 1.0.
The results obtained using the fuzzy-GSK algorithm (under normal conditions), as illustrated in Figure 12, demonstrate that the solutions are evenly distributed across the solution space and closely match the Pareto-optimal front. This confirms the effectiveness of the proposed algorithm in identifying diverse solutions while converging toward the optimal front.

ZDT2 using fuzzy-GSK. fuzzy-GSK, fuzzy-gaining sharing knowledge-based algorithm.
The ZDT3 problem introduces a challenging, discontinuous Pareto front with multiple disconnected regions. The objective functions and the constraint g(u) are defined as:
In this formulation, the problem uses 10 decision variables (n = 10), with the design variables constrained to the range of 0–1. The global Pareto-optimal front is achieved when g = 1.0. The unique feature of ZDT3 is its fragmented Pareto front, making it a rigorous test for algorithms in maintaining diversity and achieving convergence.
Figure 13 illustrates the performance of the fuzzy-GSK algorithm on ZDT3 (under normal conditions). The results demonstrate a well-distributed set of solutions that successfully capture the disconnected segments of the Pareto-optimal front, showcasing the algorithm’s effectiveness in handling discontinuities while preserving diversity and convergence.

ZDT3 using fuzzy-GSK. fuzzy-GSK, fuzzy-gaining sharing knowledge-based algorithm.
The ZDT6 problem presents a nonuniform search space, where the Pareto-optimal solutions are sparsely distributed near the global front. The objective functions and the constraint g(u) are given as:
In this formulation of the ZDT6 function, 10 decision variables are utilized (n = 10), and the design variables are constrained to the range of 0 to 1. The global Pareto-optimal front is achieved when g = 1.0.
Figure 14 shows the proposed algorithm’s performance on ZDT6 (under normal conditions), where the results again reveal a well-dispersed set of solutions that align closely with the Pareto-optimal front. This further highlights the algorithm’s capability to handle nonuniform search spaces while maintaining diversity and convergence toward the optimal front.

ZDT6 using fuzzy-GSK. fuzzy-GSK, fuzzy-gaining sharing knowledge-based algorithm.
The TCT [30] problem is a critical challenge in project management, where the goal is to minimize both project duration and costs simultaneously. The TCT problem involves finding an optimal balance between accelerating project activities (crashing) and maintaining cost efficiency.
The TCT problem can be mathematically modeled as below.
The project network consists of n activities, with each activity i having two alternatives (1 ≤ i ≤ 2) corresponding to the cost (ci) and time (ti) values. For each activity, a crash time (CTi) is the minimum possible duration required to complete a project activity, and the normal completion time (NTi) is the standard or expected duration required to complete a project activity under normal working conditions, without additional resource allocation. Alongside a crash cost (CCi) is the CC incurred when completing a project activity in its crash time (CTi) and normal cost (NCi) is the total cost incurred when completing a project activity in its normal time (NTi). Figure 15 depicts a linear model that illustrates the relationship between cost and time for project activities [31, 32, 33].

Linear TCT relationship of the project activity. TCT, time–cost trade-off.
The objective is to minimize the total project duration (Tθ) and costs (Cθ), subject to specific constraints:
The duration of each activity (ti) must satisfy the constraint:
The cost of each activity must satisfy the constraint:
The relationship between cost and time is defined using the slope (mi) and intercept (ki):
Eq. (8.d) defines the linear relationship between cost and time, where the cost increases as the activity duration decreases.
Constraints ensure that all activities are completed within realistic time and cost ranges.
The objective functions Tθ and Cθ aim to optimize the total project duration and cost while adhering to the defined constraints.
This model is widely used in TCT problems for optimizing project management under practical constraints. This TCT problem can be solved using the proposed fuzzy-GSK algorithm (shown in Section VII), which integrates fuzzy logic to handle uncertainties and GSK algorithm to find optimal solutions. The proposed fuzzy-GSK algorithm allows for more flexible modeling of project parameters and can optimize conflicting objectives such as minimizing time while controlling costs in uncertain environments. This makes it a powerful tool for solving real-world project management problems that involve TCTs.
In this section, the proposed fuzzy-GSK algorithm is applied to real-world TCT problems to demonstrate its ability to achieve optimal or near-optimal solutions. The project networks illustrated in Figures 16–18, from Pathak and Srivastava [31], Göçken [32], and Pathak and Srivastava [33], respectively, are utilized to evaluate the effectiveness of the fuzzy-GSK algorithm. The performance of fuzzy-GSK algorithm is compared with other optimization methods, including the fuzzy-improved multi-objective genetic algorithm (fuzzy-iMOGA) [34] and the fuzzy-Non-dominated Sorting Genetic Algorithm-II (fuzzy-NSGA-II) [35], across three test problems.

Network of seven activity test problem.

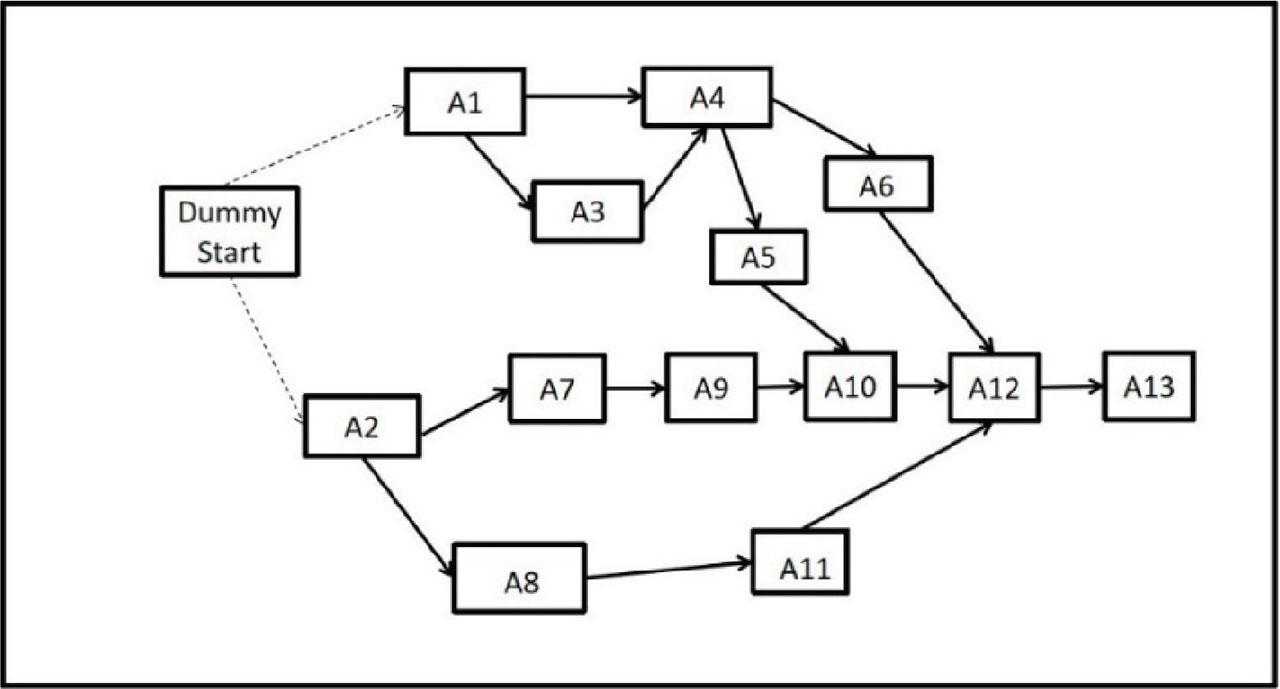
Network of 13 activity test problem.

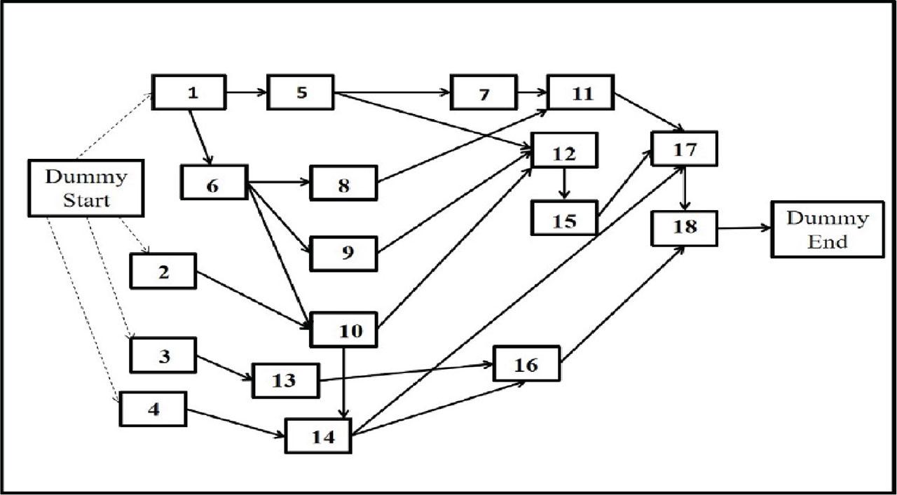
Network of 18 activity test problem.
The experimental results are shown in Figures 19–21, with the corresponding statistical analysis presented in Tables 1–3, respectively.

Comparative analysis using fuzzy-GSK, fuzzy-NSGA-II and fuzzy-iMOGA (for seven activities). Fuzzy-GSK, fuzzy-gaining sharing knowledge-based algorithm; Fuzzy-iMOGA, fuzzy-improved multi-objective genetic algorithm; Fuzzy-NSGA-II, fuzzy-non-dominated sorting genetic algorithm-II.

Comparative analysis using fuzzy-GSK, fuzzy-NSGA-II, and fuzzy-iMOGA (for 13 activities). Fuzzy-GSK, fuzzy-gaining sharing knowledge-based algorithm; Fuzzy-iMOGA, fuzzy-improved multi-objective genetic algorithm; Fuzzy-NSGA-II, fuzzy-non-dominated sorting genetic algorithm-II.

Comparative analysis using fuzzy-GSK, fuzzy-NSGA-II, and fuzzy-iMOGA (for 18 activities). Fuzzy-GSK, fuzzy-gaining sharing knowledge-based algorithm; fuzzy-iMOGA, fuzzy-improved multi-objective genetic algorithm; fuzzy-NSGA-II, fuzzy-non-dominated sorting genetic algorithm-II.
Test problem alternatives
| Activities | CT | NT | CC | NC |
|---|---|---|---|---|
| 1 | 14 | 24 | 2,400 | 1,500 |
| 2 | 15 | 25 | 3,000 | 1,000 |
| 3 | 15 | 33 | 4,500 | 3,200 |
| 4 | 12 | 20 | 45,000 | 30,000 |
| 5 | 22 | 30 | 20,000 | 10,000 |
| 6 | 14 | 24 | 40,000 | 18,000 |
| 7 | 09 | 18 | 30,000 | 20,000 |
CC, crash cost; CT, crash time; NC, normal cost; NT, normal time.
Test problem alternatives
| Activities | CT | NT | CC | NC |
|---|---|---|---|---|
| A1 | 14 | 10 | 1,000 | 1,600 |
| A2 | 18 | 15 | 4,000 | 4,540 |
| A3 | 19 | 19 | 1,200 | 1,200 |
| A4 | 15 | 13 | 200 | 440 |
| A5 | 8 | 08 | 600 | 600 |
| A6 | 19 | 16 | 2,100 | 2,490 |
| A7 | 22 | 20 | 4,000 | 4,600 |
| A8 | 24 | 24 | 1,200 | 1,200 |
| A9 | 27 | 24 | 5,000 | 5,450 |
| A10 | 20 | 16 | 2,000 | 2,200 |
| A11 | 22 | 18 | 1,400 | 1,900 |
| A12 | 18 | 15 | 700 | 1,150 |
| A13 | 20 | 18 | 1,000 | 1,200 |
CC, crash cost; CT, crash time; NC, normal cost; NT, normal time.
Test problem alternatives
| Activities | CT | NT | CC | NC |
|---|---|---|---|---|
| 1 | 14 | 24 | 2,400 | 1,500 |
| 2 | 15 | 25 | 3,000 | 1,000 |
| 3 | 15 | 33 | 4,500 | 3,200 |
| 4 | 12 | 20 | 45,000 | 30,000 |
| 5 | 22 | 30 | 20,000 | 10,000 |
| 6 | 14 | 24 | 40,000 | 18,000 |
| 7 | 09 | 18 | 30,000 | 20,000 |
| 8 | 14 | 24 | 220 | 120 |
| 9 | 15 | 25 | 300 | 100 |
| 10 | 15 | 33 | 450 | 320 |
| 11 | 12 | 20 | 450 | 300 |
| 12 | 22 | 30 | 2,000 | 1,000 |
| 13 | 14 | 24 | 4,000 | 1,800 |
| 14 | 09 | 18 | 3,000 | 2,200 |
| 15 | 16 | 16 | 3,500 | 3,500 |
| 16 | 20 | 30 | 3,000 | 1,000 |
| 17 | 14 | 24 | 4,000 | 1,800 |
| 18 | 09 | 18 | 3,000 | 2,200 |
CC, crash cost; CT, crash time; NC, normal cost; NT, normal time.
To address these real-world problems, the fuzzy-GSK algorithm is implemented with the following key parameters: an initial population size of Np = 200, a knowledge rate of K = 10, a knowledge ratio of Kr = 0.9, a knowledge factor of Kf = 0.5, and a maximum number of generations gmax = 2000.
As visible in Figures 19–21, the standard deviations for the fuzzy-GSK algorithm are slightly higher than those of fuzzy-iMOGA, or at least comparable to fuzzy-NSGA-II. This indicates that the proposed algorithm effectively maintains a diverse set of solutions, thereby avoiding premature convergence while ensuring thorough exploration of the solution space. Therefore, when considering the diversity metrics, fuzzy-GSK reflects a healthy balance between exploration and exploitation, which contributes to its overall strong performance.
To further explore the effectiveness of the fuzzy-GSK algorithm, four potential cases of fuzzy inputs are considered, each representing different real-world scenarios. These cases aim to capture the impact of uncertainties commonly encountered in project management environments, such as variations in ME, LE and WC. Each case scenario helps in assessing the robustness of the fuzzy-GSK algorithm under varying conditions and provides insights into how different levels of uncertainty can affect decision-making and the resulting TCT solutions in real-world projects.
The results for the first, second, and third real-world problems using the fuzzy-GSK algorithm are illustrated in Figures 22–24, respectively, showcasing the project’s cost, completion time, and associated uncertainties. For each test problem, the first set of results shows elevated values for the linguistic variables (ME = 0.9, LE = 0.8, and WC = 0.7), which exceed normal conditions. The second scenario, with ME = 0.5, LE = 0.5, and WC = 0.5), represents the normal conditions. The worst-case scenario, where ME = 0.1, LE = 0.1, and WC = 0.1, reflects a decline from normal conditions. Additionally, a mixed scenario is considered, where ME = 0.9 exceeds normal conditions, LE = 0.5 remains at the normal level, and WC = 0.1 falls below normal conditions. Furthermore, Tables 4–6 provide a detailed statistical analysis for 7, 13, and 18 activities, offering a comprehensive overview of the obtained results. The experimental findings suggest the potential capability of the proposed algorithm in solving complex real-world optimization problems.

Trade-off profiles using fuzzy-GSK for seven activities. Fuzzy-GSK, fuzzy-gaining sharing knowledge-based algorithm.

Trade-off profiles using fuzzy-GSK for 13 activities. Fuzzy-GSK, fuzzy-gaining sharing knowledge-based algorithm.

Trade-off profiles using fuzzy-GSK for 18 activities. Fuzzy-GSK, fuzzy-gaining sharing knowledge-based algorithm.
Statistical analysis of fuzzy-GSK, fuzzy-NSGA-II, and fuzzy-iMOGA (for seven activities)
| Algorithm | Project time | Project cost | ||||||||||
|---|---|---|---|---|---|---|---|---|---|---|---|---|
| Min | Max | Mean | Median | Mode | Std | Min | Max | Mean | Median | Mode | Std | |
| Fuzzy-GSK | 60 | 105 | 77 | 75.3 | 60 | 13.05 | 9.62e+04 | 1.417e+05 | 1.137e+05 | 1.105e+05 | 9.62e+04 | 1.449e+04 |
| Fuzzy-NSGA-II | 60 | 105 | 77.4 | 74.68 | 105 | 13.35 | 9.62e+04 | 1.418e+05 | 1.134e+05 | 1.112e+05 | 9.62e+04 | 1.419e+04 |
| Fuzzy-iMOGA | 60.6 | 95.56 | 74.7 | 73.04 | 60.6 | 10.41 | 9.733e+04 | 1.422e+05 | 1.156e+05 | 1.137e+05 | 9.733e+05 | 1.334e+04 |
Fuzzy-GSK, fuzzy-gaining sharing knowledge-based algorithm; Fuzzy-iMOGA, fuzzy-improved multi-objective genetic algorithm; Fuzzy-NSGA-II, fuzzy-non-dominated sorting genetic algorithm-II.
Statistical Analysis of fuzzy-GSK, fuzzy-NSGA-II, and fuzzy-iMOGA (for 13 activities)
| Algorithm | Project time | Project cost | ||||||||||
|---|---|---|---|---|---|---|---|---|---|---|---|---|
| Min | Max | Mean | Median | Mode | Std | Min | Max | Mean | Median | Mode | Std | |
| Fuzzy-GSK | 108 | 125 | 115.5 | 115.3 | 108 | 4.951 | 2.44e+04 | 2.684e+04 | 2.543e+04 | 2.536e+04 | 2.44e+04 | 729.3 |
| Fuzzy-NSGA-II | 108 | 125 | 115.7 | 115.5 | 108 | 5.014 | 2.44e+04 | 2.684e+04 | 2.541e+04 | 2.534e+04 | 2.44e+04 | 735.9 |
| Fuzzy-iMOGA | 108 | 121.1 | 114.1 | 114 | 108 | 3.94 | 2.46e+04 | 2.689e+04 | 2.562e+04 | 2.556e+04 | 2.46e+04 | 672.3 |
Fuzzy-GSK, fuzzy-gaining sharing knowledge-based algorithm; fuzzy-iMOGA, fuzzy-improved multi-objective genetic algorithm; fuzzy-NSGA-II, fuzzy-non-dominated sorting genetic algorithm-II.
Statistical Analysis of fuzzy-GSK, fuzzy-NSGA-II, and fuzzy-iMOGA (for 18 activities)
| Algorithm | Project time | Project cost | ||||||||||
|---|---|---|---|---|---|---|---|---|---|---|---|---|
| Min | Max | Mean | Median | Mode | Std | Min | Max | Mean | Median | Mode | Std | |
| Fuzzy-GSK | 104 | 169 | 125.7 | 116.7 | 169 | 20.07 | 9.804e+04 | 1.267e+05 | 1.07e+05 | 1.027e+05 | 9.084e+04 | 9,068 |
| Fuzzy-NSGA-II | 104 | 169 | 123.8 | 113.8 | 104 | 19.23 | 9.81e+04 | 1.274e+05 | 1.077e+05 | 1.038e+05 | 9.81e+04 | 9,298 |
| Fuzzy-iMOGA | 104 | 136.6 | 113.5 | 111.1 | 104 | 8.691 | 1.029e+05 | 1.321e+05 | 1.16e+05 | 1.15e+05 | 1.029e+05 | 8,930 |
Fuzzy-GSK, fuzzy-gaining sharing knowledge-based algorithm; Fuzzy-iMOGA, fuzzy-improved multi-objective genetic algorithm; Fuzzy-NSGA-II, fuzzy-non-dominated sorting genetic algorithm-II.
All case scenarios are presented in Tables 7–9, which illustrates the first, second, and third real-world test problems. These scenarios are statistically analyzed to provide a clearer understanding of the proposed fuzzy-GSK algorithm.
Statistical results for seven activities
| Statistical Values | Completion time | Total cost | Unpredictable Factors |
|---|---|---|---|
| Min | 56.02 | 7.815e+04 | ME = 0.9, LE = 0.8, WC = 0.1 |
| Max | 98.02 | 1.148e+05 | |
| Mean | 70.48 | 9.11e+04 | |
| Median | 66.44 | 8.813e+04 | |
| Mode | 56.02 | 7.815e+04 | |
| Std | 12.69 | 1.174e+04 | |
| Range | 42 | 3.663e+04 | |
| Min | 60 | 8.372e+04 | ME = 0.5, LE = 0.5, WC = 0.5 |
| Max | 105 | 1.23e+05 | |
| Mean | 76.1 | 9.717e+04 | |
| Median | 72.39 | 9.305e+04 | |
| Mode | 60 | 8.372e+04 | |
| Std | 13.86 | 1.275e+04 | |
| Range | 45 | 3.923e+04 | |
| Min | 66.32 | 9.253e+04 | ME = 0.9, LE = 0.5, WC = 0.1 |
| Max | 116.1 | 1.338e+05 | |
| Mean | 84.47 | 1.062e+05 | |
| Median | 80.42 | 1.026e+05 | |
| Mode | 116.1 | 9.253e+04 | |
| Std | 14.77 | 1.259e+04 | |
| Range | 49.74 | 4.127e+04 | |
| Min | 68.79 | 9.594e+04 | ME = 0.1, LE = 0.1, WC = 0.1 |
| Max | 120.4 | 1.388e+05 | |
| Mean | 86.9 | 1.107e+05 | |
| Median | 83.33 | 1.063e+05 | |
| Mode | 68.79 | 9.594e+05 | |
| Std | 14.78 | 1.37e+04 | |
| Range | 51.58 | 4.285e+04 | |
LE, labor expertise; ME, managerial expertise; WC, weather conditions.
Statistical results for 13 activities
| Statistical values | Completion time | Total cost | Unpredictable factors |
|---|---|---|---|
| Min | 100.8 | 2.278e+04 | ME = 0.9, LE = 0.8, WC = 0.1 |
| Max | 116.7 | 2.507e+04 | |
| Mean | 107.3 | 2.382e+04 | |
| Median | 106.8 | 2.38e+04 | |
| Mode | 100.8 | 2.278e+04 | |
| Std | 4.429 | 676.5 | |
| Range | 15.85 | 2288 | |
| Min | 108 | 2.44e+04 | ME = 0.5, LE = 0.5, WC = 0.5 |
| Max | 125 | 2.708e+04 | |
| Mean | 115 | 2.555e+04 | |
| Median | 114.2 | 2.544e+04 | |
| Mode | 125 | 2.44e+04 | |
| Std | 5.068 | 783.6 | |
| Range | 17 | 2677 | |
| Min | 119.4 | 2.684e+04 | ME = 0.9, LE = 0.5, WC = 0.1 |
| Max | 138.2 | 2.967e+04 | |
| Mean | 127.2 | 2.809e+04 | |
| Median | 126.4 | 2.808e+04 | |
| Mode | 119.4 | 2.967e+04 | |
| Std | 5.522 | 834.5 | |
| Range | 18.8 | 2822 | |
| Min | 123.8 | 2.779e+04 | ME = 0.1, LE = 0.1, WC = 0.1 |
| Max | 143.3 | 3.078e+04 | |
| Mean | 132.1 | 2.907e+04 | |
| Median | 131.9 | 2.899e+04 | |
| Mode | 123.8 | 2.799e+04 | |
| Std | 5.68 | 878.2 | |
| Range | 19.48 | 2983 | |
LE, labor expertise; ME, managerial expertise; WC, weather conditions.
Statistical results for 18 activities
| Statistical values | Completion time | Total cost | Unpredictable factors |
|---|---|---|---|
| Min | 97.1 | 9.185e+04 | ME = 0.9, LE = 0.8, WC = 0.1 |
| Max | 141 | 1.45e+05 | |
| Mean | 112.4 | 1.028e+04 | |
| Median | 108.3 | 9.611e+04 | |
| Mode | 97.1 | 9.185e+04 | |
| Std | 13.59 | 1.294e+04 | |
| Range | 43.86 | 5.32e+04 | |
| Min | 104 | 9.88e+04 | ME = 0.5, LE = 0.5, WC = 0.5 |
| Max | 161 | 1.296e+05 | |
| Mean | 122.5 | 1.079e+05 | |
| Median | 113.9 | 1.036e+05 | |
| Mode | 104 | 9.88e+04 | |
| Std | 17.02 | 9372 | |
| Range | 56.98 | 3.077e+04 | |
| Min | 114.9 | 1.089e+05 | ME = 0.9, LE-0.5, WC = 0.1 |
| Max | 182.8 | 1.528e+05 | |
| Mean | 137.6 | 1.196e+05 | |
| Median | 129.2 | 1.138e+05 | |
| Mode | 114.9 | 1.089e+05 | |
| Std | 21.36 | 1.142e+04 | |
| Range | 67.83 | 4.393e+04 | |
| Min | 119.2 | 1.124e+05 | ME = 0.1, LE = 0.1, WC = 0.1 |
| Max | 193.7 | 1.475e+05 | |
| Mean | 143.8 | 1.23e+05 | |
| Median | 134 | 1.177e+05 | |
| Mode | 193.7 | 1.124e+05 | |
| Std | 23.15 | 1.102e+04 | |
| Range | 74.51 | 3.509e+04 | |
LE, labor expertise; ME, managerial expertise; WC, weather conditions.
This statistical analysis offers better insight into the effectiveness of the fuzzy-GSK algorithm in handling diverse project conditions. These results highlight that the fuzzy-GSK algorithm maintains a healthy balance between exploration and exploitation, which is crucial for avoiding premature convergence and ensuring diverse solutions. Statistical metrics such as the mean, median, standard deviation, and range are used to demonstrate this capability. By comparing results across different scenarios, the framework’s ability to generate optimal or near-optimal solutions under uncertainty is highlighted, showcasing its practical application in real-world project management challenges.
In this study, we introduced the fuzzy-GSK, termed as fuzzy-GSK algorithm – a novel algorithm for solving multiobjective optimization problems along with uncertainties in the data. Fuzzy-GSK combines fuzzy logic and GSK to handle uncertainties in competing objectives, with fuzzy managing uncertainty and GSK optimizing competing objectives. Experimental results show that fuzzy-GSK is significantly comparable to the existing methods because of its convergence and solution quality. Experimental validation on benchmark problems from the ZDT test suite demonstrated the strong performance of the proposed algorithm. The findings show that the fuzzy-GSK excels not only in solution quality and convergence but also in maintaining population diversity, which is essential for effectively navigating multiobjective optimization problems in an uncertain project environment. Furthermore, its practical applicability is validated through its success in solving real-world optimization challenges, confirming its robustness and efficiency in real-world complex scenarios.
There are several avenues for future research and development based on the fuzzy-GSK algorithm. One direction is to further enhance the algorithm’s performance by exploring different fuzzy logic models, membership functions, and knowledge-based systems. Additionally, fuzzy-GSK can be extended to handle dynamic multiobjective optimization problems, where the objectives and constraints change over time.
