Figure 1:

Figure 2:

Figure 3:

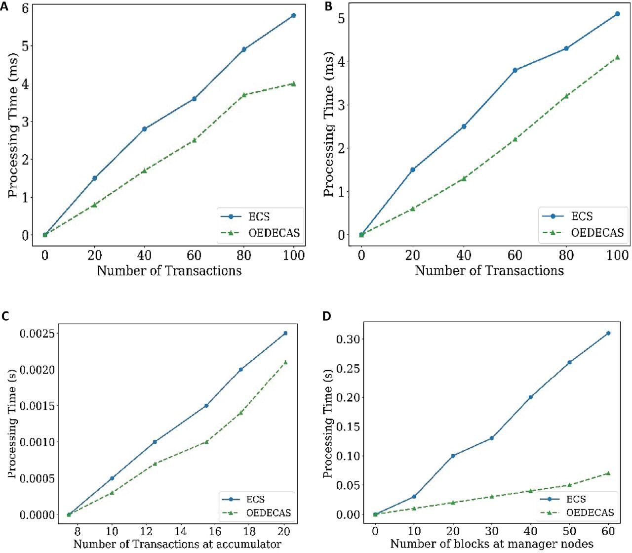
Figure 4:

Key generation time (ms)
| Dataset | ECDSA | Hyper-ECDSA | Optimized Edward-Elgamal |
|---|---|---|---|
| DS1 | 120 | 110 | 85 |
| DS2 | 130 | 115 | 90 |
| DS3 | 125 | 112 | 87 |
Computational overhead (ms)
| Dataset | ECDSA | Hyper-ECDSA | Optimized Edward-Elgamal |
|---|---|---|---|
| Dataset 1 | 1.60 | 1.80 | 1.15 |
| Dataset 2 | 1.65 | 1.85 | 1.18 |
| Dataset 3 | 1.58 | 1.75 | 1.12 |
Signature verification time (ms)
| Dataset | ECDSA | Hyper-ECDSA | Optimized Edward-Elgamal |
|---|---|---|---|
| DS1 | 140 | 125 | 95 |
| DS2 | 150 | 130 | 100 |
| DS3 | 145 | 128 | 97 |
Signature generation time (ms)
| Dataset | ECDSA | Hyper-ECDSA | Optimized Edward-Elgamal |
|---|---|---|---|
| DS1 | 150 | 135 | 100 |
| DS2 | 160 | 145 | 110 |
| DS3 | 155 | 140 | 105 |
Attack resistance (success rate of attacks in %)
| Attack type | ECDSA | Hyper-ECDSA | Optimized Edward-Elgamal |
|---|---|---|---|
| Replay attack | 5.0 | 4.5 | 1.5 |
| Key reuse attack | 3.0 | 2.5 | 0.5 |
| Collision attack | 2.0 | 1.5 | 0.2 |
Latency (ms)
| Dataset | ECDSA | Hyper-ECDSA | Optimized Edward-Elgamal |
|---|---|---|---|
| DS1 | 30 | 28 | 20 |
| DS2 | 32 | 30 | 22 |
| DS3 | 31 | 29 | 21 |
Throughput (transactions per second)
| Dataset | ECDSA | Hyper-ECDSA | Optimized Edward-Elgamal |
|---|---|---|---|
| DS1 | 66 | 74 | 100 |
| DS2 | 62 | 69 | 95 |
| DS3 | 64 | 72 | 98 |