Figure 1:

Figure 2:

Figure 3:

Figure 4:

Figure 5:

Figure 6:

Figure 7:

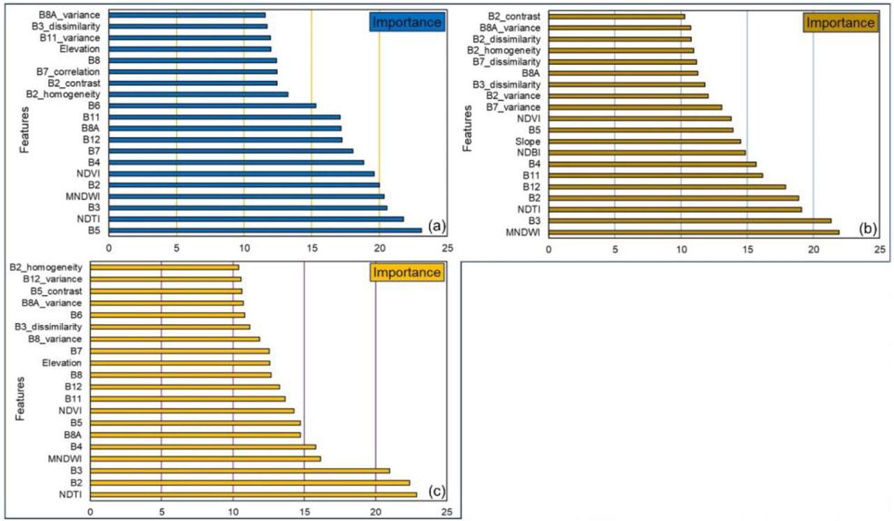
Figure 8:

Area of pixels in each class for each season in square km_
| Class | Area (km2) | |
|---|---|---|
| Summer | Non-vegetation | 1,364.3155 |
| Grass | 1,691.4873 | |
| Trees | 9,225.3798 | |
| Crops | 86.8179 | |
| Autumn | Non-vegetation | 1,335.9587 |
| Grass | 1,537.0343 | |
| Trees | 9,440.5423 | |
| Crops | 54.4652 | |
| Winter | Non-vegetation | 1,370.4691 |
| Grass | 1,485.4252 | |
| Trees | 9,440.9971 | |
| Crops | 71.1091 | |
Spatial and spectral resolutions of Sentinel-2 satellite data_
| Band | Central wavelength (nm) | Spatial resolution (m) |
|---|---|---|
| Coastal aerosol | 443 | 60 |
| Blue | 490 | 10 |
| Green | 560 | 10 |
| Red | 665 | 10 |
| Vegetation red edge | 705 | 20 |
| Vegetation red edge | 740 | 20 |
| Vegetation red edge | 783 | 20 |
| NIR | 842 | 10 |
| Vegetation red edge | 865 | 20 |
| Water vapor | 945 | 60 |
| SWIR-Cirrus | 1,380 | 60 |
| SWIR | 1,610 | 20 |
| SWIR | 2,190 | 20 |
Quantitative results were achieved by the suggested RF method for season-based vegetation mapping_
| Precision (%) | Recall (%) | F1 score (%) | OA (%) | Kappa (%) | |||
|---|---|---|---|---|---|---|---|
| Summer | RF+spectral indices | Non-vegetation | 82.45 | 91.22 | 86.61 | 90.65 | 86.11 |
| Grass | 91.54 | 83.96 | 87.59 | ||||
| Trees | 98.93 | 97.64 | 87.59 | ||||
| Crops | 67.01 | 75.01 | 70.78 | ||||
| RF+ spectral indices+topographic factors | Non-vegetation | 82.99 | 91.39 | 86.99 | 91.29 | 87.06 | |
| Grass | 92.80 | 84.46 | 88.43 | ||||
| Trees | 99.24 | 97.94 | 98.58 | ||||
| Crops | 67.87 | 78.15 | 72.65 | ||||
| RF+ spectral indices+topographic factors+texture information | Non-vegetation | 84.27 | 92.08 | 88.00 | 92.56 | 88.96 | |
| Grass | 93.50 | 87.31 | 90.30 | ||||
| Trees | 99.37 | 98.28 | 98.82 | ||||
| Crops | 74.98 | 80.89 | 77.82 | ||||
| Autumn | RF+spectral indices | Non-vegetation | 81.45 | 88.72 | 84.93 | 90.08 | 85.27 |
| Grass | 90.10 | 83.50 | 86.68 | ||||
| Trees | 98.93 | 97.83 | 98.38 | ||||
| Crops | 66.61 | 73.64 | 69.95 | ||||
| RF+ spectral indices+topographic factors | Non-vegetation | 80.70 | 92.30 | 86.11 | 90.60 | 86.06 | |
| Grass | 90.33 | 83.98 | 87.04 | ||||
| Trees | 98.96 | 97.85 | 98.40 | ||||
| Crops | 71.69 | 73.46 | 72.57 | ||||
| RF+ spectral indices+topographic factors+texture information | Non-vegetation | 81.87 | 92.49 | 86.86 | 91.64 | 87.60 | |
| Grass | 91.97 | 85.70 | 88.72 | ||||
| Trees | 99.44 | 98.21 | 98.83 | ||||
| Crops | 73.50 | 76.56 | 75.00 | ||||
| Winter | RF+spectral indices | Non-vegetation | 81.88 | 91.61 | 86.47 | 91.35 | 87.17 |
| Grass | 90.99 | 84.73 | 87.75 | ||||
| Trees | 99.25 | 98.29 | 98.77 | ||||
| Crops | 73.84 | 77.10 | 75.44 | ||||
| RF+ spectral indices+topographic factors | Non-vegetation | 82.62 | 91.93 | 87.03 | 92.08 | 88.27 | |
| Grass | 91.05 | 88.04 | 89.52 | ||||
| Trees | 99.37 | 98.37 | 98.87 | ||||
| Crops | 78.46 | 75.87 | 77.14 | ||||
| RF+ spectral indices+topographic factors+texture information | Non-vegetation | 83.36 | 92.57 | 87.72 | 92.89 | 89.46 | |
| Grass | 92.78 | 86.96 | 89.78 | ||||
| Trees | 99.50 | 98.63 | 99.06 | ||||
| Crops | 80.16 | 82.97 | 81.54 | ||||
The number of input variables for the RF method used to create season-based vegetation maps_
| Category | Description | Input variables number |
|---|---|---|
| Topographic | Elevation, slope, aspect | 3 |
| Spectral bands | Blue, green, red, vegetation red edge, near-infrared, and SWIR | 10 |
| Spectral indices | NDVI, NDBI, MNDWI, NDTI | 4 |
| Textural information | Variance, contrast, dissimilarity, homogeneity, correlation | 5×10 |
| Total variable | 67 |