In the age of global competition and fluctuating consumer preferences, households usually adjust their consumption structure to the actual opportunities afforded by their income, for example. The current income level of the population is, therefore, a key economic indicator of consumption trends in that it co-determines – along with other determinants – the amounts expended to satisfy consumption needs [Durlauf, 1996; Roser and Cuaresma, 2016; Grzywińska-Rąpca, 2019; Knight et al., 2021]. It may therefore be argued that the income earned by consumers is the economic pillar enabling each family to function, thus determining the standard of living, the level of consumption, and the ability to meet the needs of the household members, in collective and individual terms alike [Zandvakili and Gustafsson, 1998; Zalega, 2012; Kaplan et al., 2018]. Income rate has a direct impact on individual attitudes and the behavior of the consumer, manifested in their market behavior, regardless of the relation to the objective circumstances.
The wealth of a society and individual households depends on multiple factors, among which income is a crucial element. It should therefore be perceived as the main determinant of the level of satisfaction of needs, in both quantitative and qualitative terms. The classical notion of income defines it as the level of salary obtained by an economic unit (understood as a compensation for work) together with intermittently acquired wealth, e.g., from inheritances [Bouvet, 2010; Panek, 2020]. Income is the most important factor that determines the relationship between the level and the structure of expenditure: one on which the satisfaction of the needs of each household invariably depends [Woolley and Marshall, 1994; Bywalec, 2009; Jappelli and Pistaferri, 2010].
In the literature concerned with income inequality, the authors employ various indicators to illustrate the disparities of income. The need to formulate income inequality indices is unavoidable, as they demonstrate how redistribution policies safeguard the interests of the least affluent stratum of society. In this respect, many different indices and solutions have been advanced; yet none is perfect. Major indicators describing income inequality include variability factors (including standard deviation [SD] or the half-squared coefficient of variation), income logarithm variance, Gini coefficient, Schutz inequality index, Eleto and Frigyes inequality indices, and the Thiel coefficient. According to Ulman and Wałęga [2006], economists cite the Gini coefficient, the Lorenz curve, the Atkinson index, or the Theil coefficient as the most popular indices in the analyses of income inequality used to illustrate the phenomenon.
In consequence, the computations conducted for the purposes of this analysis rely on the widely used indices of economic inequality, i.e., the Gini coefficient, the Atkinson index, and the Theil coefficient [Kot, 2000; Jędrzejczak, 2011]. These coefficients are both apposite and universally employed to determine inequality [Atkinson, 1983]. To assess whether the level of inequality determined using these indices for a given country is low, medium, or high, it is necessary to apply a relative scale, i.e., to compare a given coefficient value for different countries or to collate it with past values for a given country [Spéder and Habich, 1999; Kurowska, 2011; Raza et al., 2017; Adams and Klobodu, 2019; Lee and Wang, 2021]. The Gini coefficient is the most frequently used index, and its value ranges from 0 to 1. If the value of the Gini coefficient approaches 0, it means that the income distribution is uniform (egalitarian). Conversely, when the value of the coefficient is equal to or close to 1, one speaks of an uneven income distribution [Kasprzyk and Wojnar, 2010]. A similar interpretation applies to indices in which an increase in the coefficient value indicates rising income inequality [Panek and Szulc, 2004]. Like the Gini coefficient, the Atkinson index is a standardized indicator. It takes values from 0 to 1, where 0 means a situation in which the income in a given community is distributed equally between individuals. The degree of inequality aversion is usually adopted arbitrarily. The higher its value, the higher the importance attached to income at the bottom section of its distribution [Kot et al., 2004; Mowczan, 2018].
Income inequality has been investigated by multiple researchers, such as sociologists; yet it primarily draws the attention of economists. However, it remains on the sidelines of mainstream research as an economic phenomenon. The need to study income inequalities stems from their multifaceted nature and complexity. Income inequalities are closely related to the level of income obtained by economic units and the various forms of financial resources they may hold. According to researchers [e.g., Voitchovsky, 2009; Charles-Coll, 2013; Litwiński, 2017; Bouincha and Karim, 2018], any analysis of economic inequality requires the phenomenon to be considered in positive terms (without value judgments) and in a normative approach (seeking to answer whether the occurrence of income inequality is a “justified” phenomenon). Table 1 presents the essential assumptions of income inequality theories formulated by the representatives of classical and neoclassical economics.
Selected theories of income inequality
| Author | Description |
|---|---|
| Positive theories of income inequality | |
| Smith (1776) | Functional distribution of income between the main factors of production: labor, land, and capital. Personal income distribution was not considered. |
| Walras (1874) | Presumption of a relationship between the prices of consumer goods, the prices of production factors, and the distribution of income and wealth. |
| Marshall (1890) | Income distribution depends on the structuring of the production factor market, with particular emphasis on the price of the wage factor. |
| Pareto (1909) | All statistical distributions of income follow the same pattern, which depends on the economic circumstances only to a minor degree |
| Dalton (1920) | Consumers are endowed with some initial resources as well as shares in the profits of enterprises; therefore, prices shape the distribution of income. |
| Schultz (1916), Becker (1962, 1964) | The marginal productivity theory of income distribution does not account for the varying productivity of production factors. |
| Kuznetz (1955) | Trends in income inequality while allowing for changes in the agricultural and modern sectors (higher inequality). |
| Persson, Guido (1994), Barro (1999), Galor (2000), Galor, Moav (2004) | Income inequality as a category incorporated into models explaining the development of other economic phenomena, e.g., economic growth. |
| Normative theories of income inequality | |
| Smith (1776) | Each individual satisfies their own needs and derives benefits from their own labor. |
| Malthus (1803) | Helping disadvantaged individuals in society should not improve their standing in that society in the long run. |
| Ricardo (1817) | Choices must be made between helping individuals (equity) and economic efficiency (allocating resources so that a higher dividend is achieved). |
| Marshall (1890) | Excessive income inequality is seen as a flaw in the economic system, and its elimination is an obvious need, provided that such actions do not cause an economic downturn. |
| Sen (1983, 1990, 1997) | Wealth is an instrument to satisfy needs, not a good. |
| Crocker (1992) | Income and wealth are equated with individual welfare. |
Source: compiled by the author based on Litwiński [2017].
According to Kuznetz [Ulman and Wałęga, 2006], when inequality is discussed from the economic viewpoint, one tends to focus on the differentiation of income among the population in a given region. In the analysis of inequality, its source cannot be unequivocally ascertained, which is attributed, for example, to the fact that household income levels are determined by many (mainly socioeconomic) factors. Second, the income of households is the principle factor affecting the fulfillment of their needs [Saczewska – Piotrowska, 2006; Dynan and Ravina, 2007]. The presence of income inequality means that households possess different economic potential. Economic analyses in this field often underscore the relationship between inequality and the risk of poverty or unemployment. These socioeconomic phenomena are exacerbated in economies where high-income inequality is in evidence. Thus, income inequalities are also indicative of the living standard and existential conditions of the population [Easterly, 2002; Garfinkel et al., 2006; Wahiba and Weriemmi, 2014; Panek, 2020].
The occurrence of household income inequality is most often found to be an undesirable phenomenon, while the theoretical foundations relating to the market economy find their underpinning in the following currents:
Elitist ideology – economic inequality is a prerequisite of economic development; Meritocratic ideology – economic inequality is the result of the varied remuneration that individuals obtain; Egalitarian ideology – providing equal opportunities does not prevent inequalities from arising in living conditions [Apergis et al., 2011; Zwiech, 2013].
The most widespread method of eliminating economic inequalities involves measures that reallocate income from some social groups (the poorest) to others (the wealthy). These actions assume different forms depending on the goals of social policy as well as the fiscal and financial policies in force in a given country. In the studies in which researchers [e.g. Atkinson and Bourgignon, 2000; Wade, 2005; Litwiński, 2017] directed their attention to income inequality, three areas of pertinent interest can be identified:
The levels and variability of income/remuneration of economic units depending on the economic sector.
The distribution of personal income of a household and its changes.
The relative magnitude of the different components of income obtained by economic units and their changes [Scitovsky, 1964; Panizza, 2002; De Dominicis, 2008; Galor et al., 2009; Halter et al., 2014; Litwiński, 2017, Brueckner and Lederman, 2018; Vo et al., 2019].
The figures used in this study are sourced from Eurostat resources. These are aggregated data for different countries. For comparative purposes, medians were selected (average values do not fully reflect the income status of households) of net equivalent incomes for the years 2011 and 2020. The choice of such a time bracket is intended to capture changes in the level of income inequality. The reason for the median equivalized income to be applied is that it spans both the structure and the demographic composition of households, which subsequently enables twofold comparisons: by biological type of household and by selected economic entities (selected European countries). In the preliminary stage of the analysis, the net equivalized income of households has been rendered in realistic terms. The primary goal of the study is to show income inequality in selected European countries, while the supplementary objective is to demonstrate that greater income inequality may be observed in the group of multi-person households. Further elements of interest include the levels of inequality indices in selected European countries, levels of inequality indicators per different household fractions, as well as comparison of income inequality and determination of groups of countries which displayed similar income inequalities in 2011 and 2020.
According to economic theories, household income is differentiated by various socioeconomic factors, approached from both macroeconomic and microeconomic standpoints. One of the principal macroeconomic factors is the general state of socioeconomic development, which consists of such benchmarks as the gross domestic productGDP per capita, the degree of investment, or inflation. Given the objective of this research, the analysis takes into account the actual rates of household income and, in consequence, inflation. In 2011, it ranged from 1.2% (Ireland) to 5.8% (Romania), whereas in 2020 from -1.3% (Greece) to 3.7% (Poland). Following the estimation of the real equivalized income for households, the lowest levels are observed in Romanian households (with the exception of single-person households). Efforts undertaken by the European Union (EU) to combat income inequalities aim at adopting consistent inequality indicators which are simultaneously capable of revealing the comparative extent of economic inequalities between EU countries. An absolute approach would have to be employed when seeking to determine the inequality threshold. However, the use of relative cut-off points for income inequality causes inequality indices to rely on values which depend on macroeconomic developments. Establishing a common value of inequality threshold for all EU countries is therefore extremely difficult. Hence, inequality values for the European countries analyzed, as presented in Table 2, are indicative of their income variation.
Inequality rates – indices per country (2011 and 2020)
| Label | Gini | Atkinson (epsilon = 1) | Theil-T GE (alpha = 1) | Theil-L GE (alpha = 0) | Gini | Atkinson (epsilon = 1) | Theil-T E (alpha = 1) | Theil-L GE (alpha = 0) |
|---|---|---|---|---|---|---|---|---|
| 2011 | 2020 | |||||||
| Austria | 0.07 | 0.01 | 0.01 | 0.01 | 0.08 | 0.01 | 0.01 | 0.01 |
| Belgium | 0.09 | 0.01 | 0.01 | 0.01 | 0.09 | 0.01 | 0.01 | 0.01 |
| Bulgaria | 0.18 | 0.06 | 0.06 | 0.06 | 0.13 | 0.03 | 0.03 | 0.03 |
| Croatia | 0.09 | 0.01 | 0.01 | 0.01 | 0.09 | 0.01 | 0.01 | 0.01 |
| Cyprus | 0.07 | 0.01 | 0.01 | 0.01 | 0.06 | 0.01 | 0.01 | 0.01 |
| Czechia | 0.10 | 0.02 | 0.01 | 0.02 | 0.09 | 0.01 | 0.01 | 0.01 |
| Denmark | 0.12 | 0.02 | 0.02 | 0.02 | 0.07 | 0.01 | 0.01 | 0.01 |
| Estonia | 0.08 | 0.01 | 0.01 | 0.01 | 0.10 | 0.02 | 0.02 | 0.02 |
| Finland | 0.09 | 0.01 | 0.01 | 0.01 | 0.08 | 0.01 | 0.01 | 0.01 |
| France | 0.07 | 0.01 | 0.01 | 0.01 | 0.08 | 0.01 | 0.01 | 0.01 |
| Germany | 0.08 | 0.01 | 0.01 | 0.01 | 0.08 | 0.01 | 0.01 | 0.01 |
| Greece | 0.07 | 0.01 | 0.01 | 0.01 | 0.07 | 0.01 | 0.01 | 0.01 |
| Hungary | 0.13 | 0.03 | 0.03 | 0.03 | 0.08 | 0.01 | 0.01 | 0.01 |
| Ireland | 0.10 | 0.02 | 0.02 | 0.02 | 0.10 | 0.02 | 0.02 | 0.02 |
| Latvia | 0.10 | 0.02 | 0.02 | 0.02 | 0.10 | 0.02 | 0.02 | 0.02 |
| Lithuania | 0.13 | 0.03 | 0.03 | 0.03 | 0.11 | 0.02 | 0.02 | 0.02 |
| Luxembourg | 0.09 | 0.01 | 0.01 | 0.01 | 0.10 | 0.02 | 0.02 | 0.02 |
| Malta | 0.13 | 0.03 | 0.03 | 0.03 | 0.10 | 0.02 | 0.02 | 0.02 |
| Netherlands | 0.09 | 0.01 | 0.01 | 0.01 | 0.08 | 0.01 | 0.01 | 0.01 |
| Norway | 0.11 | 0.02 | 0.02 | 0.02 | 0.09 | 0.01 | 0.01 | 0.01 |
| Poland | 0.14 | 0.03 | 0.03 | 0.03 | 0.07 | 0.01 | 0.01 | 0.01 |
| Portugal | 0.09 | 0.01 | 0.01 | 0.01 | 0.06 | 0.01 | 0.01 | 0.01 |
| Romania | 0.20 | 0.06 | 0.06 | 0.06 | 0.12 | 0.02 | 0.02 | 0.02 |
| Slovakia | 0.11 | 0.02 | 0.02 | 0.02 | 0.09 | 0.01 | 0.01 | 0.01 |
| Slovenia | 0.07 | 0.01 | 0.01 | 0.01 | 0.07 | 0.01 | 0.01 | 0.01 |
| Spain | 0.09 | 0.01 | 0.01 | 0.01 | 0.09 | 0.01 | 0.01 | 0.01 |
| Sweden | 0.10 | 0.02 | 0.01 | 0.02 | 0.09 | 0.01 | 0.01 | 0.01 |
Source: compiled by the author.
In 2011, inequality computed using the Gini coefficient ranged from 0.07 to 0.18, with a coefficient spread of 0.11. The lowest level of inequality in 2011 was observed in the households of the following European countries: Austria, Cyprus, France, Greece, and Slovenia. The highest levels of the Gini coefficient were determined for the households of Bulgaria (0.18) and Poland (0.14). However, in 2020, the lowest inequality was observed in the households in Cyprus and Portugal (0.09), whereas the highest Gini coefficient values in 2020 were reported in Bulgaria (0.13) and Romania (0.12).
In 2020, a decrease in income inequality relative to 2011 was noted in 14 of the European countries analyzed. The highest decrease in the Gini coefficient was observed in Romania, Poland, Hungary, and Denmark (Figure 1).

Changes in the value of the Gini coefficient in 2011 and 2020. A – Increasing inequalities; B – decreasing inequalities.
Source: own elaboration.
The highest increase in the Gini coefficient was observed in Estonia (change from 0.08 to 0.1). The countries where income inequality deepened included France, Luxembourg, and Austria (a change of 0.01). The range of values of the Atkinson index (Table 2) was between 0.01 and 0.06. The highest value of the latter characterized the households of Bulgaria and Romania. Also, inequality measured by means of the Theil coefficient (Theil-T and Theil-L) shows the highest level of income inequality in Bulgaria (2011 – 0.06; 2020 – 0.03) and Romania (2011 – 0.06; 2020 – 0.02). It should be noted that the gap between the values of the Atkinson and Theil coefficients in the analyzed time frame decreased in 2020. In 2011, it reached 0.05, whereas in 2020 the disparity between the extreme values of those indices dropped to 0.02.
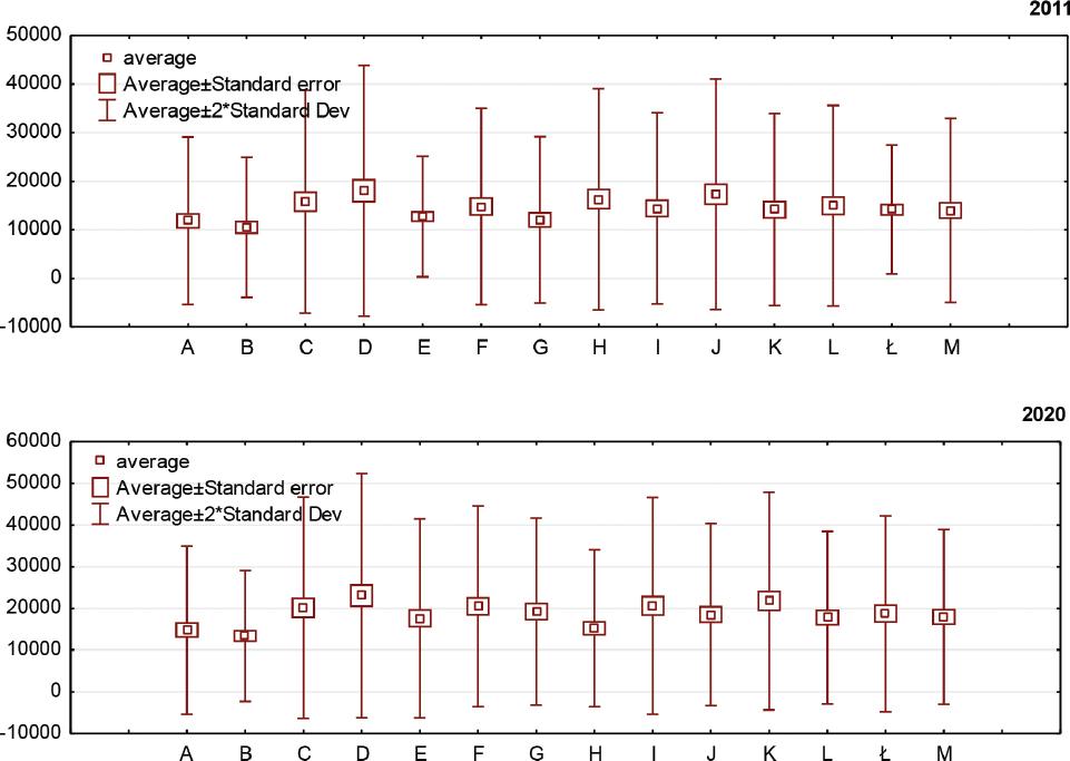
The subsequent stage of the analysis was concerned with inequality indices for 14 types of households in line with their biological characteristics. Based on the collected data, the real median net equivalized income showed the smallest variation for households consisting of two adults, at least one of whom is aged 65 years or over (Figure 2).

Average values of median – real income by biological household type (2011 and 2020). Source: own elaboration.
A – Single person, B – Single person with dependent children, C – Two adults, D – Two adults younger than 65 years, E – Two adults, at least one aged 65 years or over, F – Two adults with one dependent child, G – Two adults with two dependent children, H – Two adults with three or more dependent children, I – Two or more adults without dependent children, J – Two or more adults with dependent children, K – Three or more adults, L – Three or more adults with dependent children, Ł – Households without dependent, M – Households with dependent children.
The lowest average median net equivalized income (real-term) is observed in households consisting of a single person with dependent children. The asymmetry coefficient for this fraction of households is 0.75 and the kurtosis 0.08. This indicates the absence of outliers from the average for all European countries selected for analysis (Table 3).
Descriptive statistics determined for the real median income of households by their biological type (2011 and 2020)
| Specific features | Minimum | Maximum | Average | SD | Asymmetry | Kurtosis |
|---|---|---|---|---|---|---|
| 2011 | ||||||
| Single person | 1,656.69 | 31,102.87 | 11,865.08 | 8,626.16 | 0.83 | 0.01 |
| Single person with dependent children | 1,351.77 | 28,278.54 | 10,510.88 | 7,194.32 | 0.75 | −0.08 |
| Two adults | 2,448.26 | 41,422.42 | 15,796.75 | 11,458.09 | 0.76 | −0.30 |
| Two adults younger than 65 years | 2,576.37 | 46,059.34 | 18,053.12 | 12,918.93 | 0.73 | −0.30 |
| Two adults, at least one aged 65 years or over | 3,947.92 | 28,044.49 | 12,721.58 | 6,190.39 | 0.55 | −0.24 |
| Two adults with one dependent child | 1,746.47 | 37,852.44 | 14,831.13 | 10,115.80 | 0.56 | −0.67 |
| Two adults with two dependent children | 1,143.59 | 32,651.93 | 12,062.19 | 8,560.13 | 0.58 | −0.47 |
| Two adults with three or more dependent children | 2,521.73 | 41,783.66 | 16,313.45 | 11,376.58 | 0.71 | −0.34 |
| Two or more adults without dependent children | 1,768.13 | 37,001.64 | 14,439.07 | 9,827.25 | 0.58 | −0.58 |
| Two or more adults with dependent children | 2,698.83 | 44,450.53 | 17,348.74 | 11,846.04 | 0.66 | −0.39 |
| Three or more adults | 1,761.54 | 38,387.39 | 14,153.74 | 9,884.33 | 0.72 | −0.23 |
| Three or more adults with dependent children | 2,321.09 | 37,066.90 | 14,967.05 | 10,321.80 | 0.70 | −0.27 |
| Households without dependent children | 4,044.01 | 28,631.92 | 14,168.54 | 6,630.58 | 0.25 | −0.77 |
| Households with dependent children | 1,741.76 | 35,741.24 | 14,022.70 | 9,478.56 | 0.59 | −0.53 |
| 2020 | ||||||
| Single person | 2,878.04 | 39,219.26 | 14,792.97 | 10,085.63 | 0.96 | 0.46 |
| Single person with dependent children | 3,344.27 | 33,020.06 | 13,406.16 | 7,834.29 | 0.71 | −0.19 |
| Two adults | 4,644.66 | 50,014.94 | 20,133.46 | 13,266.19 | 0.84 | −0.12 |
| Two adults younger than 65 years | 5,428.21 | 59,721.98 | 23,050.07 | 14,655.37 | 0.79 | −0.08 |
| Two adults, at least one aged 65 years or over | 3,799.85 | 48,849.00 | 17,581.58 | 11,936.95 | 1.02 | 0.55 |
| Two adults with one dependent child | 5,430.05 | 46,529.28 | 20,483.28 | 12,048.63 | 0.62 | −0.61 |
| Two adults with two dependent children | 4,228.46 | 41,423.88 | 19,226.05 | 11,204.71 | 0.53 | −0.83 |
| Two adults with three or more dependent children | 2,244.74 | 35,085.86 | 15,201.32 | 9,410.65 | 0.54 | −0.72 |
| Two or more adults without dependent children | 4,923.10 | 50,024.02 | 20,596.13 | 12,985.93 | 0.79 | −0.22 |
| Two or more adults with dependent children | 3,997.88 | 40,661.14 | 18,524.73 | 10,936.62 | 0.55 | −0.75 |
| Three or more adults | 5,443.84 | 50,333.47 | 21,790.62 | 13,060.10 | 0.64 | −0.53 |
| Three or more adults with dependent children | 3,680.36 | 38,804.69 | 17,796.42 | 10,346.80 | 0.47 | −0.95 |
| Households without dependent children | 4,402.36 | 46,697.62 | 18,720.43 | 11,743.30 | 0.83 | −0.01 |
| Households with dependent children | 3,953.92 | 39,740.40 | 17,932.39 | 10,464.23 | 0.56 | −0.71 |
Source: compiled by the author.
SD, standard deviation.
The highest value of the asymmetry coefficient for median net equivalized income in 2011 is observed for a fraction of one-person households. It amounts to 0.83, which implies that the median value in most of the examined countries is below average. On the other hand, kurtosis reaches the highest values in households without dependents (-0.77) and in households with dependent children. It is to be inferred that there are no outliers for these fractions of households. Further inequality indices were determined based on data pertaining to real household income (Table 4).
Inequality indices per household type (2011 and 2020)
| Label | Gini | Atkinson (epsilon = 1) | Theil-T GE (alpha = 1) | Theil-L GE (alpha = 0) | Gini | Atkinson (epsilon = 1) | Theil-T GE (alpha = 1) | Theil-L E (alpha = 0) |
|---|---|---|---|---|---|---|---|---|
| 2011 | 2020 | |||||||
| Households with dependent children | 0.37 | 0.24 | 0.23 | 0.27 | 0.32 | 0.17 | 0.16 | 0.19 |
| Households without dependent children | 0.26 | 0.12 | 0.11 | 0.12 | 0.34 | 0.18 | 0.18 | 0.20 |
| Single person | 0.39 | 0.26 | 0.25 | 0.30 | 0.36 | 0.21 | 0.21 | 0.24 |
| Single person with dependent children | 0.37 | 0.24 | 0.23 | 0.27 | 0.32 | 0.16 | 0.16 | 0.18 |
| Three or more adults | 0.38 | 0.25 | 0.24 | 0.28 | 0.33 | 0.17 | 0.17 | 0.19 |
| Three or more adults with dependent children | 0.38 | 0.24 | 0.23 | 0.28 | 0.32 | 0.17 | 0.17 | 0.19 |
| Two adults | 0.39 | 0.26 | 0.25 | 0.30 | 0.35 | 0.20 | 0.20 | 0.22 |
| Two adults, at least one aged 65 years or over | 0.27 | 0.12 | 0.11 | 0.12 | 0.36 | 0.21 | 0.21 | 0.23 |
| Two adults with one dependent child | 0.38 | 0.25 | 0.23 | 0.28 | 0.32 | 0.17 | 0.17 | 0.18 |
| Two adults with three or more dependent children | 0.38 | 0.24 | 0.24 | 0.28 | 0.34 | 0.20 | 0.19 | 0.23 |
| Two adults with two dependent children | 0.39 | 0.28 | 0.25 | 0.33 | 0.32 | 0.17 | 0.16 | 0.19 |
| Two adults younger than 65 years | 0.39 | 0.26 | 0.25 | 0.30 | 0.34 | 0.19 | 0.19 | 0.21 |
| Two or more adults with dependent children | 0.37 | 0.24 | 0.23 | 0.27 | 0.33 | 0.17 | 0.17 | 0.19 |
| Two or more adults without dependent children | 0.37 | 0.24 | 0.23 | 0.28 | 0.34 | 0.19 | 0.19 | 0.20 |
Source: compiled by the author.
The estimated indices (Table 4) demonstrate heterogeneous distribution in each household fraction, with the lowest inequality in single-parent households. The lowest Gini coefficient (G = 0.26) was obtained in the group of households without dependent children. Changes in the Gini coefficient in 2020 in relation to 2011 suggest that income inequality deepened in households with two adults, at least one aged 65 years or over (Table 4).
Increasing income inequality in 2011 and 2020 is also evinced in the unfavorable rise of the Gini coefficient determined for households without dependent children. In 2020, the value of the Gini coefficient for this fraction of European households increased from 0.26 to 0.34. In other groups of households, a decrease of the coefficient in question was observed, which suggests that income inequality abated to some degree. When compared, Theil-T and Theil-L show no change in the level of income inequality only for households composed of two adults with three or more dependent children (Table 5).
Changes in inequality by biological type of households
| Label | Theil-L vs Theil-T | Inequality changes |
|---|---|---|
| Households with dependent children | Theil-T decrease < Theil-L decrease | Inequality decrease among lowest-income population |
| Households without dependent children | Theil-L increase >Theil-T increase | Inequality increase among lowest-income population |
| Single person | Theil-T decrease < Theil-L decrease | Inequality decrease among lowest-income population |
| Single person with dependent children | Theil-T decrease < Theil-L decrease | Inequality decrease among lowest-income population |
| Three or more adults | Theil-T decrease < Theil-L decrease | Inequality decrease among lowest-income population |
| Three or more adults with dependent children | Theil-T decrease < Theil-L decrease | Inequality decrease among lowest-income population |
| Two adults | Theil-T decrease < Theil-L decrease | Inequality decrease among lowest-income population |
| Two adults, at least one aged 65 years or over | Theil-L increase >Theil-T increase | Inequality increase among lowest-income population |
| Two adults with one dependent child | Theil-T decrease < Theil-L decrease | Inequality decrease among lowest-income population |
| Two adults with three or more dependent children | Theil-T decrease = Theil-L decrease | No change |
| Two adults with two dependent children | Theil-T decrease < Theil-L decrease | Inequality decrease among lowest-income population |
| Two adults younger than 65 years | Theil-T decrease < Theil-L decrease | Inequality decrease among lowest-income population |
| Two or more adults with dependent children | Theil-T decrease < Theil-L decrease | Inequality decrease among lowest-income population |
| Two or more adults without dependent children | Theil-T decrease < Theil-L decrease | Inequality decrease among lowest-income population |
Source: compiled by the author. based on Wołoszyn, Głowicka-Wołoszyn (2018).
Based on the review of pertinent literature and the findings from empirical studies conducted by economists, one readily observes that the growing interest in inequality has caused a change in their perspective. It follows from the above analyses concerned with the variation of inequality indices that income inequality is indeed related to the biological type of households. As demonstrated, the variation across the studied fractions of households indicates that the research objective has been achieved.
The literature review and the presented values of measures of inequality in selected European countries allow us to formulate a statement that the actions carried out to reduce income inequalities over 10 years (2011 and 2020) resulted in positive changes. This is indicated by the determined values of inequality measures. It should be emphasized that the range of determined Gini coefficients in 2011 was higher than in 2020. In 2011, the span was 0.11, while in 2020 the spread between the extreme values of the Gini coefficient was at the level of 0.07. The results presented in this study suggest that countries with a higher level of economic development show lower income inequality. The effect of declining income inequality in the long run can be the cause of economic growth in a given country. Thus, striving to eliminate income inequality through, for example, actions in the field of social policy, may result in achieving an advanced level of economic development.
The conducted analysis warrants the claim that between 2011 and 2020 income inequality saw a decrease in most fractions of European households. The exceptions include households without dependent children and the fraction composed of two adults with at least one person aged 65 years or over. No change in inequality over the period in question was observed for households comprising two adults with three or more dependent children. The decrease in inequality should be attributed to diminishing inequality among the poorest households (decrease in Theil-T <; decrease in Theil-L). The reason for such changes in the bottom section of the income scale may be sought in the various market conditions, manifested, for instance, in the demand for unskilled labor. These changes may be influenced by distinct unemployment rates in the analyzed household fractions and an increase in the minimum wage, for example. Measures adopted as part of social policies are significant as well, but further in-depth research is required if the latter are to be identified. Analyses of income inequality taking into account the type of biological household indicate that the poorest households are the most sensitive to income changes (Theil-T and Theil-L). They conclude that income is one of many factors influencing the occurrence of household income inequality, but it is certainly a key determinant of it.