Fig. 1

Fig. 2

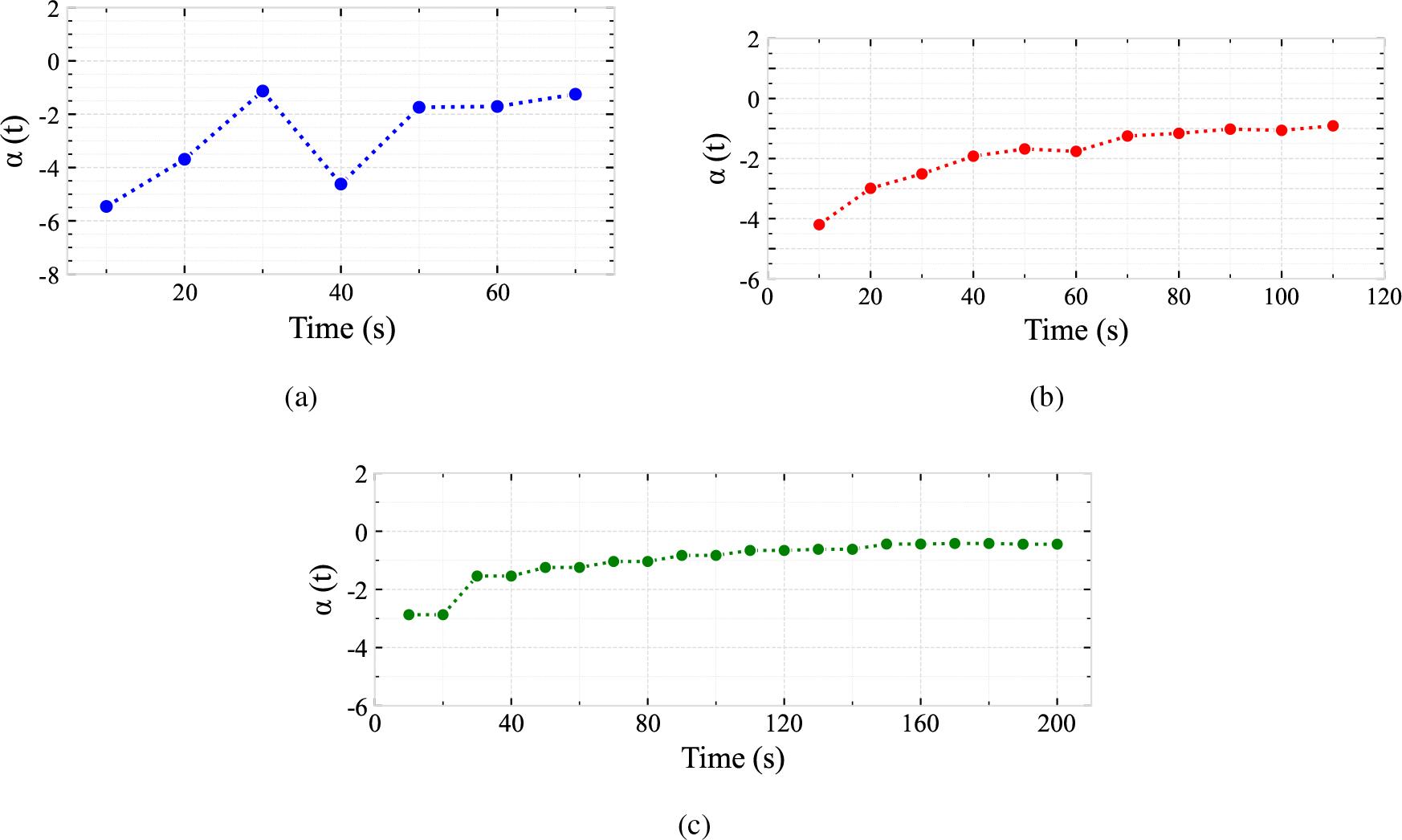
Fig. 3

Fig. 4

Fig. 5

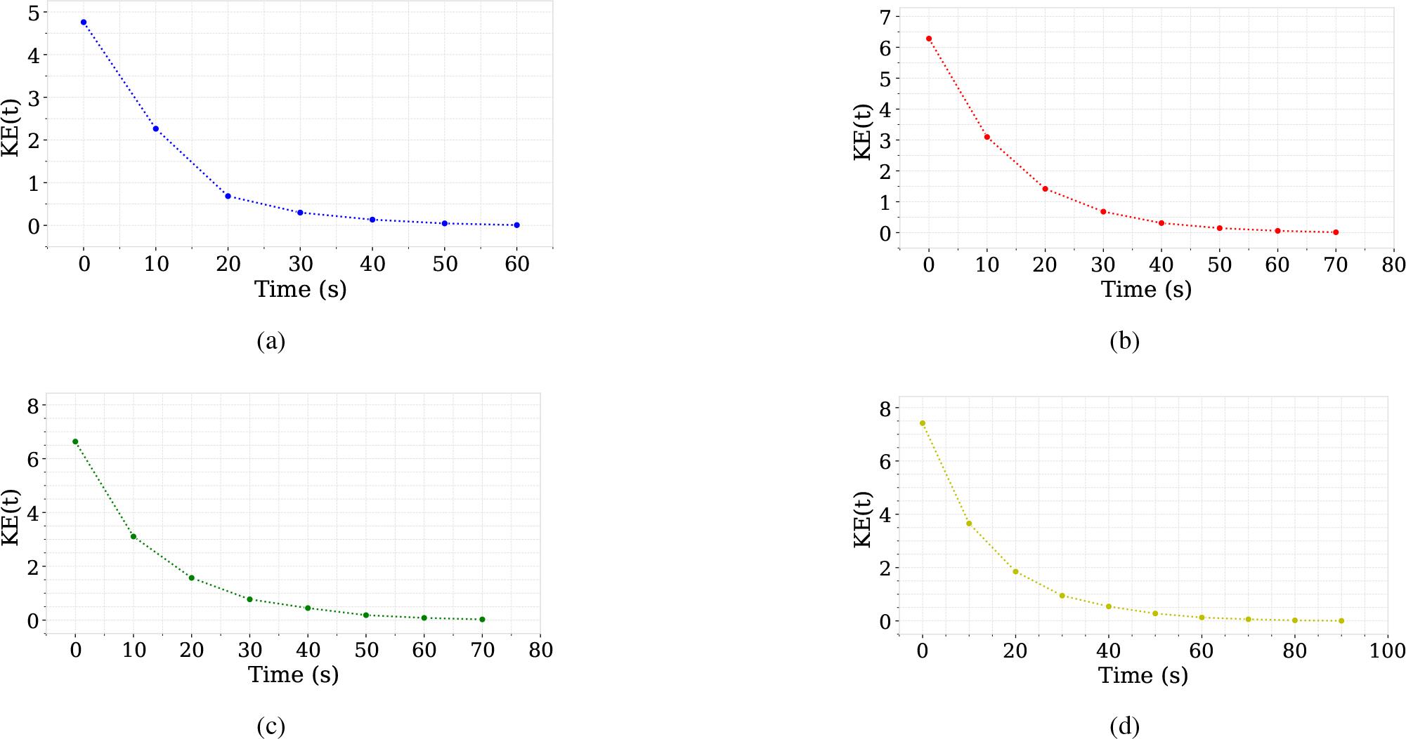
Fig. 6

Fig. 7

Fig. 8

Fig. 9

Fig. 10

Angular velocity versus time_
| S. No. | Setup 1 | Setup 2 | Setup 3 |
|---|---|---|---|
| Material | Copper | Iron | Aluminum |
| (9.32 ± 0.06) V | (9.51 ± 0.04) V | (9.72 ± 0.03) V | |
| Time (s) | ( | ( | ( |
| 0.0 | 209.4 ± 1.4 | 209.0 ± 0.9 | 209.8 ± 0.5 |
| 10.0 | 154.8 ± 4.8 | 167.0 ± 7.6 | - |
| 20.0 | 117.9 ± 0.8 | 137.1 ± 4.0 | 152.4 ± 6.9 |
| 30.0 | 106.6 ± 56.5 | 112.0 ± 3.0 | - |
| 40.0 | 60.4 ± 3.3 | 92.8 ± 2.2 | 121.6 ± 14.2 |
| 50.0 | 43.0 ± 0.5 | 76.0 ± 2.7 | - |
| 60.0 | 25.9 ± 2.7 | 58.4 ± 3.2 | 96.7 ± 14.7 |
| 70.0 | 13.4 ± 1.8 | 45.9 ± 3.1 | - |
| 80.0 | - | 34.3 ± 1.3 | 75.9 ± 12.2 |
| 90.0 | - | 24.1 ± 2.4 | - |
| 100.0 | - | 13.5 ± 2.6 | 59.3 ± 9.5 |
| 110.0 | - | 4.4 ± 4.7 | - |
| 120.0 | - | - | 46.1 ± 7.7 |
| 130.0 | - | - | - |
| 140.0 | - | - | 33.7 ± 2.3 |
| 150.0 | - | - | - |
| 160.0 | - | - | 24.9 ± 5.8 |
| 170.0 | - | - | - |
| 180.0 | - | - | 16.5 ± 5.9 |
| 190.0 | - | - | - |
| 200.0 | - | - | 7.6 ± 5.4 |
Physical quantities studied in Experiment 2_
| Independent Variable | Radius of Disk [mm] |
| Dependent Variable | Angular deceleration [θs−2] |
| Controlled Variables | Mass of the disk [g], Voltage supplied [V] |
| Radius of disk [mm], Thickness of disk [mm] |
Description of apparatus_
| S. No. | Apparatus | Quantity | Least Count | Uncertainty |
|---|---|---|---|---|
| 1 | Scale (30 cm) | 1 | 1 mm | 0.5 mm |
| 2 | Digital Tachometer | 1 | 1 RPM | 1 RPM |
| 3 | Digital Weighing Scale | 1 | 0.1 g | 0.1 g |
| 4 | Digital Voltmeter | 1 | 0.01 V | 0.01 V |
Description of variables for Experiment 1_
| Independent Variable | Mass Distribution with respect to vertical axis [I] |
|---|---|
| Dependent Variable | Angular deceleration [θ s−2] |
| Controlled Variables | Mass of the disk [g], Voltage supplied [V] |
| Radius of disk [mm], Thickness of disk [mm] |
Angular deceleration vs time_
| S. No. | Setup 1 | Setup 2 | Setup 3 | Setup 4 |
|---|---|---|---|---|
| d (cm) | (d1) = 0 | (d2) = 1.15 ± 0.01 | (d3) = 2.5 ± 0.01 | (d4) = 3.85 ± 0.01 |
| (7.60 ± 6.06) V | (7.64 ± 0.07) | (7.66 ± 0.08) V | (7.64 ± 0.12) V | |
| Time (s) | ( | ( | ( | ( |
| 0 | 207.5 ± 1.2 | 235.9 ± 2.1 | 231.5 ± 1.9 | 228.1 ± 0.7 |
| 10 | 143.1 ± 38.9 | 165.6 ± 3.7 | 158.4 ± 4.3 | 160.1 ± 5.6 |
| 20 | 78.7 ± 3.3 | 112.1 ± 5.9 | 112.6 ± 3.9 | 113.9 ± 3.7 |
| 30 | 52.0 ± 2.3 | 77.6 ± 1.9 | 79.0 ± 3.6 | 81.5 ± 4.0 |
| 40 | 34.8 ± 1.9 | 52.4 ± 1.7 | 60.1 ± 12.2 | 61.6 ± 5.1 |
| 50 | 20.3 ± 1.1 | 35.9 ± 1.8 | 38.5 ± 2.1 | 44.1 ± 1.6 |
| 60 | 7.4 ± 2.1 | 22.8 ± 1.7 | 25.7 ± 1.3 | 29.9 ± 2.4 |
| 70 | - | 10.6 ± 1.6 | 14.3 ± 1.8 | 20.6 ± 2.1 |
| 80 | - | - | - | 12.0 ± 0.4 |
| 90 | - | - | - | 5.1 ± 2.1 |
Description of materials_
| Material | Description |
|---|---|
| DC Motor | 10 V with a flat base can be mounted on any flat surface. Thin metal axis. |
| Battery | 2 V to 12 V . |
| Connecting wires | Made up of copper and insulated with thread. |
| Rheostat | A device with variable resistance. |
| Reflective tape | Stuck on the disk. Helps the tachometer record the RPM. |
| Metal disk | Mass −175 ± 1 g ; Radius - 50 ± 1 mm; Thickness - 0.3 ± 0.1 mm |
| Iron disk | Mass - 248 ± 1 g; Radius - 91 ± 1 mm; Thickness - 6 ± 1 mm |
| Copper disk | Mass - 245 ± 1 g; Radius - 78 ± 1 mm; Thickness - 6 ± 1 mm |
| Aluminum disk | Mass - 249 ± 1 g; Radius - 141 ± 1 mm; Thickness - 6 ± 1 mm |
| Small stainless-steel disk × 4 | Mass 11 ± 1 g each. Used to add mass to the metal disk. |
| Stand | Used to position the Digital Tachometer. |
| Metal clamps × 2 | Used to firmly attach the material on which the motor is mounted to the tabletop. |
| Blu-Tact | A rubbery material used to add mass to the disk. |
| M-Seal | An adhesive paste used to mound the motor onto any required surface. |
| Fevi-Quick | A very strong liquid adhesive. |
Time rise and time fall_
| - | Time Rise | Time Fall |
|---|---|---|
| Copper | 124.32 ± 2.69 | 76.33 ± 0.95 |
| Iron | 163.75 ± 2.19 | 113.63 ± 1.80 |
| Aluminium | 214.28 ± 2.85 | 212.46 ± 1.25 |