Fig. 1

Fig. 2

Fig. 3

Fig. 4

Fig. 5

Fig. 6

Fig. 7

Fig. 8

Fig. 9

Fig. 10

Fig. 11

Fig. 12

Fig. 13

Fig. 14

Fig. 15

Fig. 16

Fig. 17

Comparison of absolute error AE of the HAM and HWT solutions with Exact solution for x = 0_1, x = 0_01, and x = 0_001 in Application 4_4_
| t | Error at x = 0.1 | Error at x = 0.01 | Error at x = 0.001 | |||
|---|---|---|---|---|---|---|
| HAM | HWT | HAM | HWT | HAM | HWT | |
| 0 | 0 | 0 | 0 | 0 | 0 | 0 |
| 0.1 | 0 | 5.671 ×10−6 | 0 | 5.672×10−9 | 0 | 5.671 ×10−12 |
| 0.2 | 0 | 2.268 ×10−5 | 0 | 2.268 ×10−8 | 0 | 2.268 ×10−11 |
| 0.3 | 0 | 5.104×10−5 | 0 | 5.104×10−8 | 0 | 5.104×10−11 |
| 0.4 | 0 | 9.075×10−5 | 0 | 9.075×10−8 | 0 | 9.075×10−11 |
| 0.5 | 0 | 1.418×10−4 | 0 | 1.418×10−7 | 0 | 1.418×10−10 |
| 0.6 | 0 | 2.041 ×10−4 | 0 | 2.041 ×10−7 | 0 | 2.041 ×10−10 |
| 0.7 | 0 | 2.779 ×10−4 | 0 | 2.779 ×10−7 | 0 | 2.779 ×10−10 |
| 0.8 | 0 | 3.630×10−4 | 0 | 3.630×10−7 | 0 | 3.630×10−10 |
| 0.9 | 0 | 4.594× 10−4 | 0 | 4.594×10−7 | 0 | 4.594×10−10 |
| 1.0 | 0 | 5.672× 10−4 | 0 | 5.672×10−7 | 0 | 5.672×10−10 |
Comparison of solutions obtained from HAM, HWT, and their AE with ND Solver solution for Application 4_2_
| x | ND Solver | HAM | HWT | HAM Error | HWT Error |
|---|---|---|---|---|---|
| 0 | 0.5 | 0.5 | 0.5 | 0. | 0 |
| 0.1 | 0.52438 | 0.52438 | 0.52439 | 2.048 ×10−8 | 1.120 ×10−6 |
| 0.2 | 0.54758 | 0.54758 | 0.54759 | 1.718×10−8 | 4.480 ×10−6 |
| 0.3 | 0.56964 | 0.56964 | 0.56966 | 1.413×10−8 | 1.008 ×10−5 |
| 0.4 | 0.59063 | 0.59063 | 0.59065 | 9.894×10−9 | 1.792 ×10−5 |
| 0.5 | 0.61059 | 0.61059 | 0.61063 | 2.164×10−8 | 2.800×10−5 |
| 0.6 | 0.62959 | 0.62959 | 0.62963 | 1.587×10−8 | 4.032×10−5 |
| 0.7 | 0.64765 | 0.64765 | 0.64771 | 4.028 ×10−8 | 5.488 ×10−5 |
| 0.8 | 0.66483 | 0.66483 | 0.66491 | 1.566 ×10−8 | 7.168 ×10−5 |
| 0.9 | 0.68118 | 0.68118 | 0.68128 | 1.790 ×10−8 | 9.072 ×10−5 |
| 1.0 | 0.69673 | 0.69673 | 0.69685 | 7.461 ×10−10 | 1.120 ×10−4 |
Comparison of solutions obtained from HAM, HWT, and their AE with Exact solution for x = 0 in Application 4_4_
| t | Exact | HAM | HWT | HAM Error | HWT Error |
|---|---|---|---|---|---|
| 0 | 1 | 1 | 1 | 0 | 0 |
| 0.1 | 1.10517 | 1.10517 | 1.10517 | 0 | 0 |
| 0.2 | 1.22140 | 1.22140 | 1.22140 | 0 | 0 |
| 0.3 | 1.34986 | 1.34986 | 1.34986 | 0 | 0 |
| 0.4 | 1.49182 | 1.49182 | 1.49182 | 0 | 0 |
| 0.5 | 1.64872 | 1.64872 | 1.64872 | 0 | 0 |
| 0.6 | 1.82212 | 1.82212 | 1.82212 | 0 | 0 |
| 0.7 | 2.01375 | 2.01375 | 2.01375 | 0 | 0 |
| 0.8 | 2.22554 | 2.22554 | 2.22554 | 0 | 0 |
| 0.9 | 2.45960 | 2.45960 | 2.45960 | 0 | 0 |
| 1.0 | 2.71828 | 2.71828 | 2.71828 | 0 | 0 |
Comparison of solutions obtained from HAM, HWT, and their AE with Exact solution for u1 in Application 4_3_
| x | Exact | HAM | HWT | HAM Error | HWT Error |
|---|---|---|---|---|---|
| 0 | 1 | 1 | 1 | 0 | 0 |
| 0.1 | 0.67032 | 0.67032 | 0.67032 | 0 | 1.120 ×10−7 |
| 0.2 | 0.44932 | 0.44932 | 0.44933 | 0 | 8.960×10−7 |
| 0.3 | 0.30119 | 0.30119 | 0.30120 | 0 | 3.024×10−6 |
| 0.4 | 0.20189 | 0.20189 | 0.20190 | 0 | 7.168 ×10−6 |
| 0.5 | 0.13533 | 0.13533 | 0.13535 | 0 | 1.140 ×10−5 |
| 0.6 | 0.09071 | 0.09071 | 0.09074 | 0 | 2.419 ×10−5 |
| 0.7 | 0.06081 | 0.06081 | 0.06084 | 0 | 3.841 ×10−5 |
| 0.8 | 0.04076 | 0.04076 | 0.04082 | 0 | 5.734×10−5 |
| 0.9 | 0.02732 | 0.02732 | 0.02740 | 0 | 8.164×10−5 |
| 1.0 | 0.01831 | 0.01831 | 0.01842 | 0 | 1.120 ×10−4 |
Comparison of absolute error AE of the HAM and HWT solutions with Exact solution for t = 0_1, t = 0_01, and t = 0_001 in Application 4_4_
| x | Error at t = 0.1 | Error at t = 0.01 | Error at t = 0.001 | |||
|---|---|---|---|---|---|---|
| HAM | HWT | HAM | HWT | HAM | HWT | |
| 0 | 0 | 0 | 0 | 0 | 0 | 0 |
| 0.1 | 0 | 5.672×10−6 | 0 | 5.672×10−8 | 0 | 5.672×10−10 |
| 0.2 | 0 | 4.537×10−5 | 0 | 4.537×10−7 | 0 | 4.537×10−9 |
| 0.3 | 0 | 1.531×10−4 | 0 | 1.531×10−6 | 0 | 1.531×10−8 |
| 0.4 | 0 | 3.630×10−4 | 0 | 3.630×10−6 | 0 | 3.630×10−8 |
| 0.5 | 0 | 7.090× 10−4 | 0 | 7.090× 10−6 | 0 | 7.090× 10−8 |
| 0.6 | 0 | 1.225 ×10−3 | 0 | 1.225 ×10−5 | 0 | 1.225 ×10−7 |
| 0.7 | 0 | 1.945 ×10−3 | 0 | 1.945 ×10−5 | 0 | 1.945 ×10−7 |
| 0.8 | 0 | 2.904× 10−3 | 0 | 2.904× 10−5 | 0 | 2.904× 10−7 |
| 0.9 | 0 | 4.134×10−3 | 0 | 4.134×10−5 | 0 | 4.134×10−7 |
| 1.0 | 0 | 5.672× 10−3 | 0 | 5.672×10−5 | 0 | 5.672× 10−7 |
Comparison of solutions obtained from HAM, HWT, and their AE with Exact solution for x = 1 in Application 4_4_
| t | Exact | HAM | HWT Error | HAM Error | HWT |
|---|---|---|---|---|---|
| 0 | 0.36787 | 0.36787 | 0.36787 | 0 | 0 |
| 0.1 | 0.40657 | 0.40657 | 0.41224 | 0 | 5.672 ×10−3 |
| 0.2 | 0.44932 | 0.44932 | 0.47202 | 0 | 2.268 ×10−2 |
| 0.3 | 0.49658 | 0.49658 | 0.54763 | 0 | 5.104 ×10−2 |
| 0.4 | 0.54881 | 0.54881 | 0.63956 | 0 | 9.075 ×10−2 |
| 0.5 | 0.60653 | 0.60653 | 0.74833 | 0 | 1.418×10−1 |
| 0.6 | 0.67032 | 0.67032 | 0.87451 | 0 | 2.042×10−1 |
| 0.7 | 0.74081 | 0.74081 | 1.01870 | 0 | 2.779 ×10−1 |
| 0.8 | 0.81873 | 0.81873 | 1.18175 | 0 | 3.630×10−1 |
| 0.9 | 0.90483 | 0.90483 | 1.36432 | 0 | 4.594×10−1 |
| 1.0 | 1 | 1 | 1.56721 | 0 | 5.672×10−1 |
Comparison of solutions obtained from HAM, HWT, and their AE with Exact solution for t = 0 in Application 4_4_
| x | Exact | HAM | HWT Error | HAM Error | HWT |
|---|---|---|---|---|---|
| 0 | 1 | 1 | 1 | 0 | 0 |
| 0.1 | 0.90483 | 0.90483 | 0.90483 | 0 | 0 |
| 0.2 | 0.81873 | 0.81873 | 0.81873 | 0 | 0 |
| 0.3 | 0.74081 | 0.74081 | 0.74081 | 0 | 0 |
| 0.4 | 0.67032 | 0.67032 | 0.67032 | 0 | 0 |
| 0.5 | 0.60653 | 0.60653 | 0.60653 | 0 | 0 |
| 0.6 | 0.54881 | 0.54881 | 0.54881 | 0 | 0 |
| 0.7 | 0.49658 | 0.49658 | 0.49658 | 0 | 0 |
| 0.8 | 0.44932 | 0.44932 | 0.44932 | 0 | 0 |
| 0.9 | 0.40656 | 0.40656 | 0.40656 | 0 | 0 |
| 1.0 | 0.36787 | 0.36787 | 0.36787 | 0 | 0 |
Comparison of solutions obtained from HAM, HWT, and their AE with Exact solution for t = 1 in Application 4_4_
| x | Exact | HAM | HWT Error | HAM Error | HWT |
|---|---|---|---|---|---|
| 0 | 2.71828 | 2.71828 | 2.71828 | 0 | 0 |
| 0.1 | 2.45960 | 2.45960 | 2.46021 | 0 | 5.672 ×10−4 |
| 0.2 | 2.22554 | 2.22554 | 2.23012 | 0 | 4.357 ×10−3 |
| 0.3 | 2.01375 | 2.01375 | 2.0291 | 0 | 1.531 ×10−2 |
| 0.4 | 1.82212 | 1.82212 | 1.8584 | 0 | 3.630×10−2 |
| 0.5 | 1.64872 | 1.64872 | 1.7196 | 0 | 7.090 ×10−2 |
| 0.6 | 1.49182 | 1.49182 | 1.6143 | 0 | 1.225 ×10−1 |
| 0.7 | 1.34986 | 1.34986 | 1.5444 | 0 | 1.945 ×10−1 |
| 0.8 | 1.22140 | 1.22140 | 1.5118 | 0 | 2.904 ×10−1 |
| 0.9 | 1.10517 | 1.10517 | 1.5187 | 0 | 4.134×10−1 |
| 1.0 | 1 | 1 | 1.5672 | 0 | 5.672×10−1 |
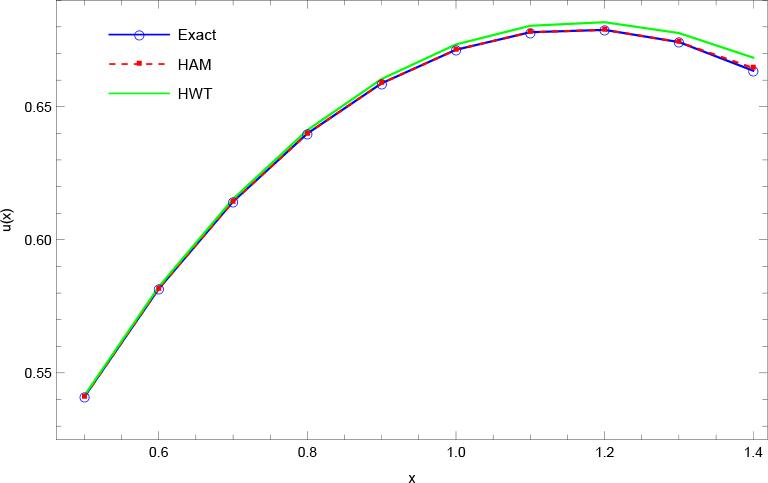
Comparison of solutions obtained from HAM, HWT, and their absolute errors (AE) with Exact solution for Application 4_1_
| x | Exact | HAM | HWT | HAM Error | HWT Error |
|---|---|---|---|---|---|
| 0.5 | 0.541049 | 0.540974 | 0.54147 | 7.554×10−5 | 5.0×10−4 |
| 0.6 | 0.581622 | 0.581618 | 0.58234 | 4.062 ×10−6 | 7.2×10−4 |
| 0.7 | 0.614361 | 0.614361 | 0.61534 | 3.496×10−7 | 9.8 ×10−4 |
| 0.8 | 0.639926 | 0.639926 | 0.64121 | 2.917×10−7 | 1.28 ×10−3 |
| 0.9 | 0.658813 | 0.658813 | 0.66043 | 2.933 ×10−7 | 1.62 ×10−3 |
| 1.0 | 0.671397 | 0.671397 | 0.67340 | 2.929 ×10−7 | 2×10−3 |
| 1.1 | 0.677989 | 0.677989 | 0.68041 | 2.904 ×10−7 | 2.42 ×10−3 |
| 1.2 | 0.678866 | 0.678865 | 0.68175 | 2.838 ×10−7 | 2.88 ×10−3 |
| 1.3 | 0.674286 | 0.674289 | 0.67767 | 3.718×10−6 | 3.38 ×10−3 |
| 1.4 | 0.663534 | 0.664524 | 0.66844 | 9.9 ×10−4 | 3.92×10−3 |
Comparison of solutions obtained from HAM, HWT, and their AE with Exact solution for u2 in Application 4_3_
| x | Exact | HAM | HWT | HAM Error | HWT Error |
|---|---|---|---|---|---|
| 0 | 1 | 1 | 1 | 0 | 0 |
| 0.1 | 0.90483 | 0.90483 | 0.90484 | 0 | 5.672 ×10−8 |
| 0.2 | 0.81873 | 0.81873 | 0.81873 | 0 | 9.075 ×10−7 |
| 0.3 | 0.74081 | 0.74081 | 0.74082 | 0 | 4.594 ×10−6 |
| 0.4 | 0.67032 | 0.67032 | 0.67057 | 0 | 1.452 ×10−5 |
| 0.5 | 0.60653 | 0.60653 | 0.60657 | 0 | 3.545 ×10−5 |
| 0.6 | 0.54881 | 0.54881 | 0.54889 | 0 | 7.350×10−5 |
| 0.7 | 0.49658 | 0.49658 | 0.49672 | 0 | 1.361 ×10−4 |
| 0.8 | 0.44932 | 0.44932 | 0.44956 | 0 | 2.323 ×10−4 |
| 0.9 | 0.40656 | 0.40656 | 0.40694 | 0 | 3.721 ×10−4 |
| 1.0 | 0.36787 | 0.36787 | 0.36845 | 0 | 5.672 ×10−4 |