Skip to main content
Have a personal or library account? Click to login
Signless Laplacian spectrum of power graph of certain finite non-commutative groups Cover

Signless Laplacian spectrum of power graph of certain finite non-commutative groups

By:   
Open Access
|May 2026

Figures & Tables

Fig. 1

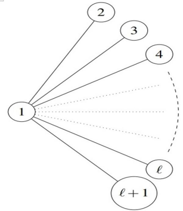
𝒱=K1+K¯ℓ{\cal G} = {K_1} + {{\bar K}_\ell }.

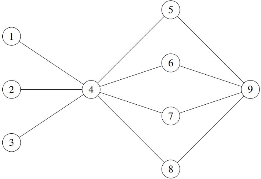
Fig. 3

The graph 𝒱L* for L*.

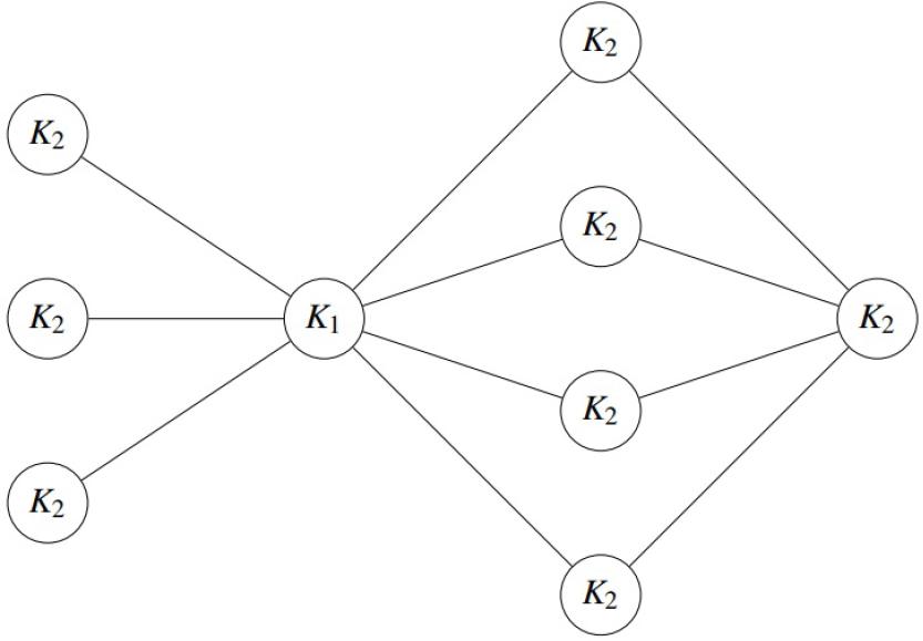
Fig. 2

The graph L*.

Fig. 1

𝒱=K1+K¯ℓ.$1G=K_{1}+\bar{K}_{\ell}$

Fig. 2

The graph L∗.

Fig. 3

The graph GL∗\mathcal{G}_{L^{*}}$ for $L^{*} for L∗.
DOI: https://doi.org/10.2478/ijmce-2026-0003 | Journal eISSN: 2956-7068
Language: English
Page range: 33 - 44
Submitted on: Aug 3, 2024
Accepted on: Dec 5, 2024
Published on: May 27, 2026
Published by: Harran University
In partnership with: Paradigm Publishing Services
Publication frequency: 2 issues per year

© 2026 Subarsha Banerjee, published by Harran University
This work is licensed under the Creative Commons Attribution 4.0 License.