The soliton theory has been an interesting topics of research for more than two hundred years. The fundamentals of this theory go back to J. Scott Russell [1], D. Korteweg and G. De Vries [2] and since then a large amount of papers have been dedicated to the soliton theory (see e.g. [3–6] and references therein). In recent years, after the discovering of nano scales and quantum world there has been a renewed interest for such a theory. In particular, among the most significant contributions let us remind some interesting soliton models in quantum theory (see e.g. [7, 8]), nano-materials (see e.g. [9, 10]), diffusion (see e.g. [11]), engineering (see e.g. [12]), mechanics (see e.g. [13]), dispersion (see e.g. [14, 15]), medicine (see e.g. [16, 17]), chemistry (see e.g. [18, 19]) and biology (see e.g. [20]).
In the following, we will study the forced KdV equation with a forcing term also known as KdV with forcing [21]
where
If we consider the following function [23]
then, Eq.(1) may be rewritten as follows
where α, β are arbitrary constants.
In the following, we propose an analytical solution of equation (3) based on the rational sine-Gordon expansion method (RSGEM). This method is newly developed in the following and up to our knowledge it has never been applied to KdV equations in advance. RSGEM differ from the sine-Gordon expansion method (SGEM) because it contains rational trigonometric functions in the test function of the solution. Moreover, it is based on two important properties of the nonlinear sine-Gordon equation.
The organization of this paper is as follows: in Section 2, some preliminary remarks of RSGEM are given. Section 3 deals with the application of the RSGEM to obtain the analytical solution of the forced KdV equation. Some concrete discussion and physical comments of the solutions are reported in Section 4. Section 5 concludes the paper by summarizing the main novelties of this paper and discussing about future prospectives.
In this part of the paper, the main properties of RSGEM are given. Let’s consider the sine-Gordon equation [24,25]
where m is an arbitrary constant. By using
where
k being a nonzero real constant. By assuming k = 0,
where
Let’s consider the general nonlinear partial differential model given as
Also in this case, by using the wave transformation
where
The resulting solution will be obtained by computing the rational coefficients and the corresponding method is known as RSGEM with the help of equations (8) and (9), the equation (12) may be rewritten as
After determining the values of M and N by using balance rule, it is obtained the values of coefficients which give the so-called travelling solutions.
In this section, different types of soliton solutions to the KdV equation (3) with a forcing term are extracted by using RSGEM. Let’s take
where k is real constant. τ(t) will be determined later. Putting equation (14) into equation (3), we obtain
where
where A0 ≠ B0, A1 ≠B1, c1 ≠ d1 simultaneously, and also both B1 and d1 must be not taken as zero at the same time. If these are A0 = B0, A1 =B1, c1 = d1 in this case, the solution is trivial. Using equation (16) into (15), we obtain the system of an algebraic equation being with a different order. Solving this system via computational program, we obtain the following set of results.
Set 1. The first set of results is given by the following
From (12), (14) and (17), the hyperbolic travelling wave solution of equation (3) follows
where k≠0, A1≠0, c1≠0, B0≠0, d1≠0 and τ(t) is an arbitrary function given by equation (14).
To observe the wave dynamics of equation (18) under the various properties of τ(t), we consider the trigonometric functions of the τ(t) such as sin(t), cos(t), tan(t) and cot(t). In Figure 1, the new and novel main wave propagations are plotted under the real data. These simulations are firstly presented to the literature.

Parametric nature wave behaviors for equation (18) at (a): τ(t) = sin(t), (b): τ(t) = cos(t), (c): τ(t) = tan(t) and (d): τ(t) = cot(t).
Set 2. We may consider other coefficients as follows
where
where k≠0, A0≠0, d1≠0, B0≠0,
The dynamical distribution of equation (20) according to the various properties such as F(t) = sin(t), F(t) = cos(t), F(t) = tan(t) and F(t) = cot(t), respectively and also τ(t) = cos(t), are simulated in Figure 2. In Figure 2, we see the important properties such as singular and travelling wave propagations of the governing model. These behavior are used to symbolize the real distribution in hyperbolic domain.

Parametric nature wave behaviors for equation (20) at (a): F(t) = sin(t), (b): F(t) = cos(t), (c): F(t) = tan(t) and (d): F(t) = cot(t), and also τ(t) = cos(t).
Set 3. If we consider following coefficients,
where
where k≠0, A0≠0, β≠0,d1≠0,B0≠0,
The propagation of equation (22) by considering F(t) = sin(t) cos(t) tan(t) and τ(t) = cot(t) are plotted in Figure 3 and and Figure 4. In these figures, one can see that the equation (22) has single periodic propagations in governing model.

Parametric nature wave behaviors for equation (22) at F(t) = sin(t) cos(t) tan(t) is (a)3D, and (b) Contour, respectively, and also τ = cos(t).

2D wave behavior for equation (22) at F(t) = sin(t)cos(t)tan(t) with 2D, and t = 8.5, and also τ(t) = cos(t) τ(t) = sin(t), respectively.
Set 4. For the proceeding to the next solution, we may take
and
From (12), (14), (23) and (24), the following smooth travelling wave solution of equation (3) is obtained as below
where k≠0, A0≠0, d1≠0, B0≠0.
The equation (25) contains only three hyperbolic function solution terms. This solution may not be obtained by getting other values of the parameters in other cases. So, by considering τ(t) = cos(t) we plot a realistic wave simulation and also observe the wave propagation of equation (25) in Figure 5.

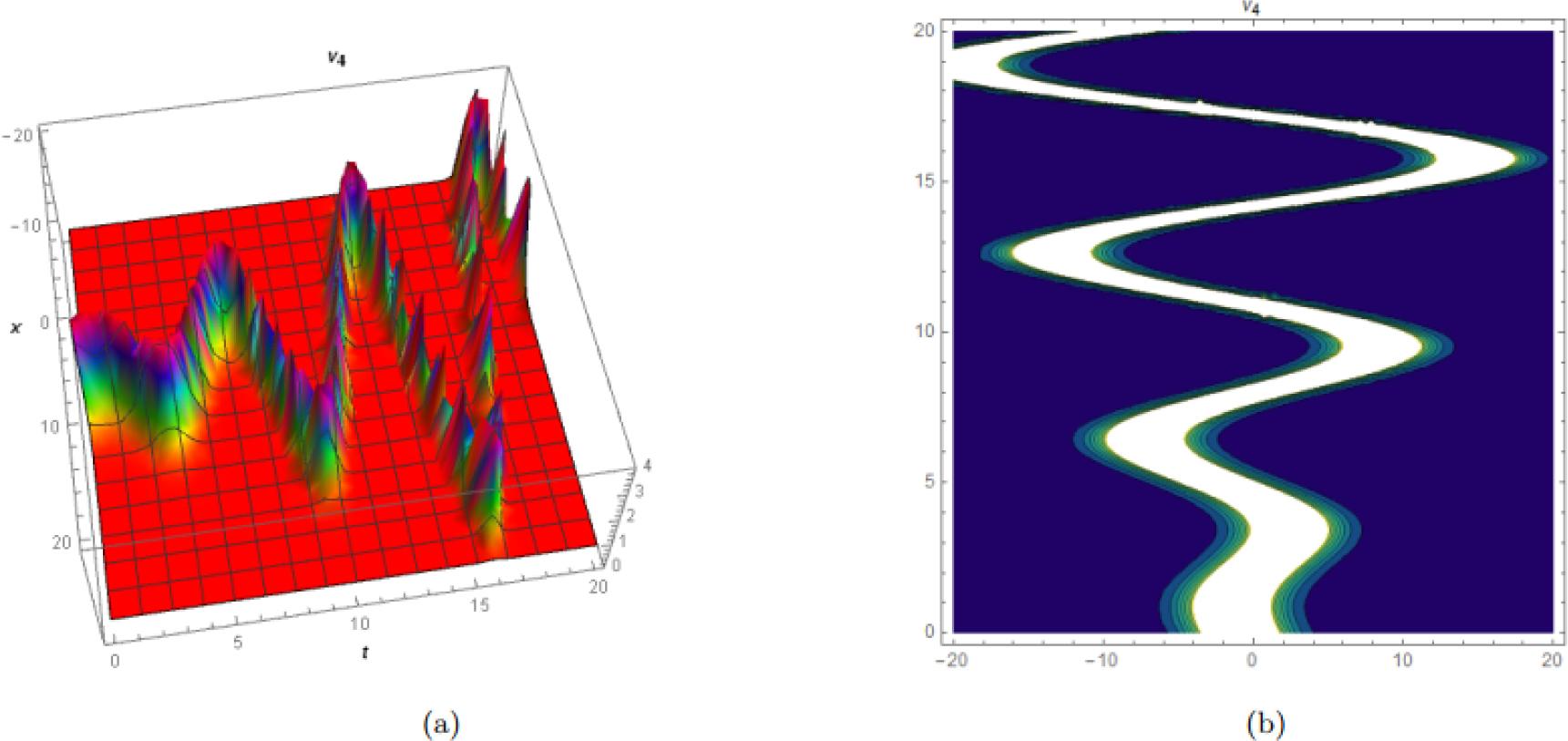
The wave way behavior for equation (25) at τ(t) = cos(t) with a) 3D and b) Contour.
In this part of the paper, we present the physical properties of the solution obtained in this paper. The parametric nature wave behaviors for equation (18) are plotted in Figure 1. This figure symbolizes the effects of the forcing term in equation (3). This wave simulation is newly presented to literature. In Figure 2, we observe the effect of F(t) under the different trigonometric functions. All these functions of F(t) shows the characteristic property of the equation (3). In Figure 3, it helps to investigate the periodic behaviour of the equation (3) model with forcing term. In Figure 4, we observe the singular wave behavior of equation (3). In Figure 5, it helps to understand the stable wave character of the power forcing term. All these graphical simulations are firstly plotted. Moreover, they introduce the expected wave behaviors. Thus, these figures help to understand the significance of forcing terms. Hence, it is estimated that these results may be used to estimated the future direction of the problem.
In this paper, first of all, we presented the recently developed RSGEM. RSGEM is based on the main properties of the sine-Gordon equation. With the help of RSGEM, the KdV equation with a forcing term was investigated in detailed manner. We obtained various travelling wave solutions of the model such as hyperbolic, and rational function solutions. We also observed that all these solutions verified the KdV equation with a forcing term (3). Then, we plotted these solutions under the considering various values of the parameters by using computational program. These figures were plotted in 3D, 2D and density (contour) frame. In the next section, we presented the physical meanings of the figures. We observed the importance of the forcing term of the model. The current investigation can help to illustrate the model associated with parameters representing water wave surface. To the best of our knowledge, these solutions of KdV model with forcing term have been firstly literature.