In plasma physics, exploring the dynamics of nonlinear electrostatic waves in many physical situations is a fascinating and recently growing field of research; however its investigation started a long time ago. During the last few decades, after the discovery of dust charged grains in the plasma medium a great deal of interest in the minds of modern plasma researchers was triggered, because its presence is found to cause a huge change in the characteristics of waves. The presence and influence of dust particles are beautifully explained by several experts in space and astrophysical plasmas such as in Saturn's rings, Earth's ionosphere and magnetosphere, in Planetary rings and magnetosphere, in Cometary tails, interstellar medium etc. [1, 2, 3, 4, 5, 6, 7] as well as in laboratory plasmas [8]. The existence of nonlinear electrostatic waves in a magnetized plasma consisting of dust particles has been extensively investigated theoretically [1] and experimentally [9]. It has been demonstrated that the dust charged grains don't involve in the wave dynamics but they can modify the propagation of plasma waves and also introduce new wave modes [10], such as dust acoustic waves [11], dust ion acoustic waves [12], dust drift waves [13], dust lattice waves [14], dust cyclotron waves [15] etc.
Dust ion acoustic waves are low frequency waves which involve in the movement of massive ions and form a compression and rarefaction region just like in sound waves in the presence of dust grains. In the context of dust ion acoustic waves, the inertia is attributed to the number density of ions, whereas the thermal pressure of electrons is assumed to establish the restoring force which is responsible for initiating the plasma waves, and the negatively charged dust grains are expected to remain stationary in this scenario. The understanding of the nonlinear propagation of dust ion acoustic solitary waves in an unmagnetized plasma composed of three components - namely, inertial ions, inertialess electrons, and negatively charged dust grains is now theoretically [16, 17, 18, 19, 20] and experimentally [21, 22] well-established. In plasmas, the presence of an external magnetic field plays a significant role in governing the propagation of dust ion acoustic solitary waves. This not only affects the existence and direction of dust ion acoustic modes, similar to those in unmagnetized plasma, but also introduces new modes of propagation and inherent oscillations due to the magnetic field's influence. Numerous studies have delved into how the magnetic field influences the dynamic characteristics of dust ion acoustic waves, considering both linear and nonlinear properties. For instance, Ghosh et al. [23] conducted theoretical investigations into dust ion acoustic waves propagation in a dusty magnetized plasma with charge fluctuations applying the reductive perturbation method. Anowar and Mamun [24] derived a KdV equation to describe the obliquely propagating solitary waves in an adiabatic magnetized dusty plasma, where they found that the solitary wave solution is notably influenced by both the angle of propagation and the external magnetic field. While the oblique propagation of large amplitude dust ion acoustic solitary waves in a magnetized dusty plasma are studied by Saha and Chatterjee [25]. Nonetheless, it has been established by many researchers in various relevant scenarios that the presence of a magnetic field significantly alters the inherent characteristics of dust ion acoustic waves as they propagate through plasmas [26, 27, 28, 29, 30]. Recently, Abdus et al. [31] employed the reductive perturbation approach to theoretically investigate the influence of higher-order nonlinear and dispersive effects on the fundamental characteristics of dust ion acoustic solitary waves in a magnetized dusty plasma.
The velocity distribution function of plasma particles plays a crucial role in influencing the nonlinear behavior of plasma waves. In many instances, the Maxwellian velocity distribution function is the standard choice for describing electron's behavior. However, in recent years, there has been a notable increase in interest regarding the study of particle distribution in plasma using the Boltzmann Gibbs Shannon entropy. This concept was initially introduced by Renyi [32] and has garnered significant attention. In the framework of Boltzmann Gibbs statistics, the famous Maxwellian velocity distribution is relevant for systems existing in a state of macroscopic ergodic equilibrium. However, when it comes to describing systems characterized by stationary non-equilibrium states and long range interactions as seen in the case like plasmas and gravitational systems, the Maxwellian distribution may not be sufficient. Consequently, both theoretical and experimental indications propose that the Boltzmann Gibbs statistics theory falls in explaining the systems that involve the presence of long-range interactions. To describe such systems, Tsallis [33] introduced a new advance statistical framework, now referred to as nonextensive statistics or Tsallis statistics, which represents a generalization of the Boltzmann Gibbs Shannon entropy, in which a nonextensive parameter denoted as q that determines the quantity of the nonextensivity of the system being studied. The Tsallis distribution function shows distinct behaviors based on the values of q. For q < 1, the Tsallis distribution function indicates the plasma with higher number of superthermal particles compared to that of Maxwellian case (superextensivity), whereas for q > 1, the Tsallis distribution function shows the plasma with large number of low-speed particles compared to that of the Maxwellian case (subextensivity). Moreover, if q → 1, the Tsallis distribution is then reduced to common Maxwell-Boltzmann velocity distribution. In the context of plasma physics, there are many investigations [34, 35, 36, 37, 38] in which the idea of matter nonextensivity has been effectively applied. Moreover, various studies have already been done by several researchers to examine different properties of plasma waves, such as electron acoustic waves, ion acoustic waves, dust acoustic waves and dust ion acoustic waves within the context of nonextensive plasma particles by considering either electrons as nonextensive [39, 40, 41, 42, 43, 44], or ions as nonextensive [45, 46], or both electrons and ions as nonextensive [47, 48].
The main objective of our paper is to the study the formation and dynamical behavior of nonlinear dust ion acoustic solitary waves in a three component magnetized plasma consisting of ions, non-thermal electrons and charged dust grains, where the electrons follow a Tsallis q–nonextensive distribution. For this work, we use the reductive perturbation method to investigate the nonlinear dust ion acoustic waves and we emphasize the dust ion acoustic solitary waves of small amplitude.
The paper is organized as follows: in Section 1, we give the usual introduction; in Section 2, we present the basic set governing equations for describing the plasma model; in Section 3, we show the linear dispersion relation and its properties; in Section 4 and Section 5, we focus on the KdV and modified KdV equations respectively by using the reductive perturbation method, where the result and discussion are made and finally we summarize our work in Section 6.
We consider a three dimensional magnetized collisionless plasma model consisting of positively charged inertial ions, negatively charged dust grains and inertialess nonthermal electrons which obey the Tsallis q– nonextensive distribution. As the plasma is quasi-neutral at equilibrium, we have zini0 = ne0 + zdnd0, where ni0, ne0, and nd0 are the particle number density of ion, electron and dust respectively at equilibrium and zi (zd) is the ion (dust) charge number. The constant external magnetic field is considered along z–direction in the plasma, i.e
Here, Te is the characteristic electron temperature,
Where, we have defined
To find the dispersion relation of the low frequency electrostatic waves, we linearize the set of equations (5)–(9), by using the linearization method and then assuming all the perturbed terms are proportional to ei(kxx+kyy+kzz−ωt), where kj is the wave number in j-direction (j = x, y, z) and ω is the wave frequency normalized by ωpi. Thus we get the linear dispersion relation as
Here,
Where ω+ and ω− denotes respectively the fast modes (represents cyclotron wave forms) and slow modes (represents acoustic wave forms) of electrostatic waves, as we considered a constant magnetic field so these modes are normal in the present plasma model. To get positive and real values of ω±, it is satisfactory for the condition that the expression inside the square root in equation (12) should be positive.
Now, we numerically investigate the properties of the slow and fast electrostatic modes for different values of the plasma parameters such as nonextensive parameter q, dust-to-ion number density μ, ion-to-electron temperature ratio σ, obliquely propagation direction via kz and strength of external magnetic field B0 through Ω. Here kz = k cosθ and θ is obliqueness angle of the wave vector
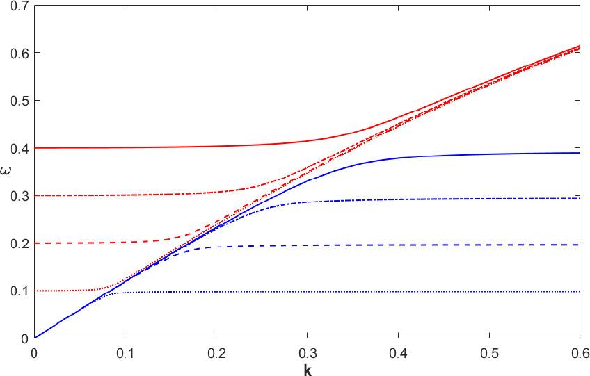
In Figure 1(a)–1(d), we depict the graphs of the dispersion relation (ω, k) for several values of q, σ, μ and θ respectively, in which upper (lower) four red (blue) curves indicates the fast (slow) modes. We have seen from Figure 1(a) that the pulsation of both fast and slow modes decreases with increasing values of parameter q. Which implies that the increasing of electron nonextensivity q causes the phase velocity of both the dust ion cyclotron and dust ion acoustic waves to decrease. Also, from Figure 1(b) and 1(c), we observed that the pulsation of both fast and slow modes increases with σ and μ respectively. This indicates that the phase velocity of both the dust ion cyclotron and dust ion acoustic waves increases with in increase (decrease) of number density of dusts (ions) in the plasma system or in increase (decrease) of the ion (electron) temperature. But from Figure 1(d), we found that the increase of the value of θ, increases the pulsation of fast mode and decreases the pulsation of slow mode. That means the phase velocity of the dust ion cyclotron waves increases and the phase velocity of dust ion acoustic waves decreases with increasing the obliqueness propagation angle θ. We also show the graphs of the dispersion relation (ω, k) for several values of Ω in the Figure 2, and find that the phase velocity of both the dust ion cyclotron and dust ion acoustic waves increases with the increase of external magnetic field strength B0 through Ω.

The dispersion relation of electrostatic waves (a) for q = 0.4 (dotted line), q = 0.8 (dashed line), q = 1.2 ( dot - dashed line), q = 1.6 (solid line) with σ = 0.1, μ = 0.2 and θ = 10°; (b) for σ = 0.0 (dotted line), σ = 0.1 (dashed line), σ = 0.2 (dot-dashed line), σ = 0.3 (solid line) with q = 0.8, σ = 0.1 and θ = 10°; (c) for μ = 0.1 (dotted line), μ = 0.2 (dashed line), μ = 0.3 (dot-dashed line), μ = 0.4 (solid line) with q = 0.8, μ = 0.2 and θ = 10°; (d) for θ = 10° (dotted line), θ = 20° (dashed line), θ = 30° (dot-dashed line), θ = 40° (solid line) with q = 0.6, σ = 0.1 and μ = 0.2. In all the panels, Ω = 0.3 upper red curves shows ω+ and lower blue curves shows ω−.

The dispersion relation of electrostatic waves for Ω = 0.1 (dotted line), Ω = 0.2 (dashed line), Ω = 0.3 (dot-dashed line), Ω = 0.4 (solid line) and q = 0.6, σ = 0.1, μ = 0.2, the upper red curves shows ω+ and lower blue curves shows ω−.
We notice that if the direction of wave propagation is perpendicular to the magnetic field, i.e., if θ = 90°, then kz = 0, so that from equation (12), we have
Thus, in this case only dust ion cyclotron waves are propagated with maximum phase velocity. On the other hand, if the direction of wave propagation is along the magnetic field, i.e., if θ = 0°, then kx = ky = 0 and kz = k, so that equation (12) gives
Hence only dust ion acoustic waves are propagated in this case and they attain maximum phase velocity. The same result is obtain as if the magnetic field were neglected (i.e., if Ω → 0). Thus, we conclude that both slow and fast modes exist and stable in the considered plasma model.
To investigate the nonlinear dynamics of small amplitude (DIA) solitary waves, the well-known reductive perturbation method is good enough. So, we use this method to the set of equations (5)–(9), to obtain KdV equation for small amplitude DIA solitary waves in the present plasma model. For this, we introduce a new stretching of independent variables as
Here, due to the drift
By eliminating
From (20), it is seen that the phase velocity U is the function of direction cosine lz, nonextensive parameter q, dust-to-ion number density ratio μ and ion-to-electron temperature ratio σ. Here lz = cosθ and θ is the obliqueness propagating the angle between
Now, for the next higher order terms in ε, we equate the coefficients of ε2 from the equations (6), (7) and (9), and the coefficients of ε5/2 from the equations (5) and (8), we obtain as
Now eliminating
To find the nonlinear solitary wave solutions of the KdV equation (26), we introduce a new transformation ρ = ξ −Cτ, where C is the soliton velocity in the linear ρ–space. Using this transformation in the equation (26) and then integrating twice with the boundary conditions ϕ1 = dϕ1/dρ = d2ϕ1/dρ2 = 0 as |ρ| −→ ∞, we obtain the solitary wave solution as
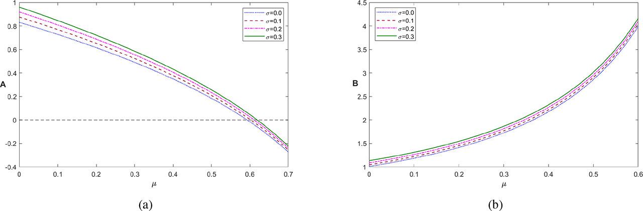
In order to determine the nature of the soliton, we first look at how the different plasma parameters influences the nonlinear term A and the dispersion term B in the considered magnetized plasma model. We have seen from relations (27) and (28) that both A and B are the functions of various plasma parameters namely obliqueness propagating angle θ, nonextensive parameter q, ion-to-electron temperature ratio σ and dust-to-ion number density ratio μ. Also, the dispersion term B is influenced by the external magnetic field B0 through Ω. Here, is interestingly observed that both A and B tend to zero for limiting θ → 90° (i.e. for near to perpendicular propagation), in this case the amplitude φ0 → ∞ and width δ → 0 and thus propagating dust ion acoustic solitary waves does not exist, that is, the waves are electrostatic and abolished for the larger values of θ, and they should instead be electromagnetic in nature [50]. Again, the impact of the external magnetic field disappears for θ = 0° (i.e., for parallel propagation), in this case the terms A and B become to the condition for unmagnetized plasma. Which suggesting to take small values of obliqueness angle θ (0 < θ < 45°) for numerical views as we investigate the electrostatic dust ion acoustic solitary waves in magnetized plasma.
For numerical analysis, the values of the different plasma parameters are chosen the same as those in Section 3. We now depict the variation of A and B versus the nonextensive parameter q for several values of obliqueness angle θ in the Figure 3, and in Figure 4, we showed the variation of A and B versus dust-to-ion number density μ for several values ion-to-electron temperature ratio σ. From Figure 3(a) and Figure 3(b), we found that when the electron nonextensivity q acquires higher values, the nonlinearity A increases while the dispersion B decreases. We also see that the nonlinearity decreases while the dispersion increases with the increase in obliqueness angle θ. Next, we seen from the Figure 4(a) and Figure 4(b) that the term A decreases and B increases with increasing values of μ, that is, nonlinearity reduces while dispersion enhances with increase (decrease) of the number density of dust grains (ions). Also, we found that the variation of σ shows a nominal influence on the terms A and B, i.e., an increase (decrease) in the values of ion (electron) temperature, increases the nonlinearity and decreases the dispersion. In Figure 4(a), we note that the value of the term A decrease to zero at a particular composition value of μ and after that value it falls down. Finally, we have plotted B versus Ω in the Figure 5, which shows that the term B decreases with increase of Ω. In other words, we can say that an increase in the strength of external magnetic field B0, the dispersion gets reduced, whereas the nonlinearity is unaffected whatsoever.

(a) The nonlinear term A and (b) The dispersion term B, versus q for different θ. Where σ = 0.1, μ = 0.2, and Ω = 0.3.

(a) The nonlinear term A and (b) The dispersion term B, versus μ for different σ. Where q = 0.8, μ = 0.2, and Ω = 0.3.

The dispersion term B versus Ω, with q = 0.6, σ = 0.1, μ = 0.2, and θ = 10°.
Thus, from the above discussion, it is clear that the dispersion term B takes positive values while the nonlinear term A takes positive as well as negative values. By this change of signs of the nonlinearity term shows the existence of two types of dust ion acoustic solitary waves having a positive (compressive soliton) and a negative (rarefactive soliton) potentials in our considered plasma model. Now, we can find the critical value μc (say) for which the transition from compressive to rarefactive solitary soliton is seen, by solving the equation A = 0, given in (27) for μ, and we obtained
The equation (30) shows that μ± is a function of nonextensive parameter q and ion-to-electron temperature ratio σ ≠ 0. As the value of μ cannot exceed 1, so we can take μc = μ− as the critical value of dust-to-ion number density ratio for our numerical point of view. It is therefore found out that A > 0 for 0 ≤ μ < μc, which is the portion for the existence of compressive dust ion acoustic solitons and A < 0 for μc < μ < 1, which is the portion for existence of rarefactive dust ion acoustic solitons. We plotted μc against the nonextensive parameter q for distinct values of ion-to-electron temperature ratio σ ≠ 0 in Figure 6, where we see that the value of μc increases with in increase of q and σ as well.

The variation of μc versus q for different values of σ ≠ 0.
Now, our focus is on the domination of the various plasma parameters (namely q, θ, σ, μ, Ω and C) over the behavior of propagating dust ion acoustic solitary waves in the considered plasma model. We have done this by analyzing the small amplitude solitary wave solution provided in equation (29). To see the dynamical effects, we plotted the variation of the wave potential ϕ1(ρ) versus ρ in the Figures 7(a)–7(d), for four distinct values of q, σ and μ ≠ μc respectively. It is seen from Figure 7(a) and Figure 7(b) that the dust ion acoustic solitary wave is compressive and both its amplitude and width reduces as the value of electron nonextensive parameter q is increased, also the amplitude and width of the compressive dust ion acoustic solitary wave slowly decreases as the ion-to-electron temperature ratio σ increased as shown in Figure 7(b). That is the amplitude of the pulse compressive soliton is higher in presence of the cold ions than the hot ions in the considered plasma.

The dust ion acoustic solitary wave potential ϕ1(ρ) versus ρ, (a) for different values of q with q = 0.8, μ = 0.2 and θ = 10°; (b) for different values of σ with q = 0.8, σ = 0.1 and θ = 10°; (c) for different values of μ < μc with q = 0.8, σ = 0.1 and θ = 10°; and (d) for different values of μ > μc with q = 0.8, σ = 0.1 and θ = 10°. In all the panels, Ω = 0.3 and C = 0.04.
In Figure 7(c) and Figure 7(d), the graphs of ϕ1(ρ) versus ρ for distinct values of dust-to-ion number density ratio μ > μc and μ < μc are shown respectively and we found that for μ < μc, the dust ion acoustic solitary wave is compressive while for μ > μc, the dust ion acoustic solitary wave is rarefactive, which is obvious from our above mentioned observation that the propagating dust ion acoustic solitary waves can valid to travel from a positive to negative potentials due to the fluctuation of μ in this plasma model. For q = 0.8 and σ = 0.1, we obtained μc ≈ 0.6 from Figure 6. We have also seen that both the amplitude and width of the compressive (rarefactive) dust ion acoustic solitary waves increases (decreases) with in increase of μ < μc (μ > μc). That means we observed that the propagating soliton is compressive (rarefactive) with less (more) populated negatively charged dust particles in the plasma. Again, the shape of soliton's pulses of compressive dust ion acoustic solitary waves is narrower than the rarefactive dust ion acoustic solitary waves.
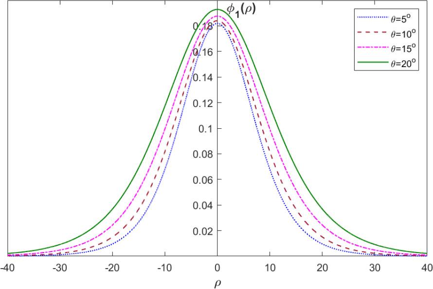
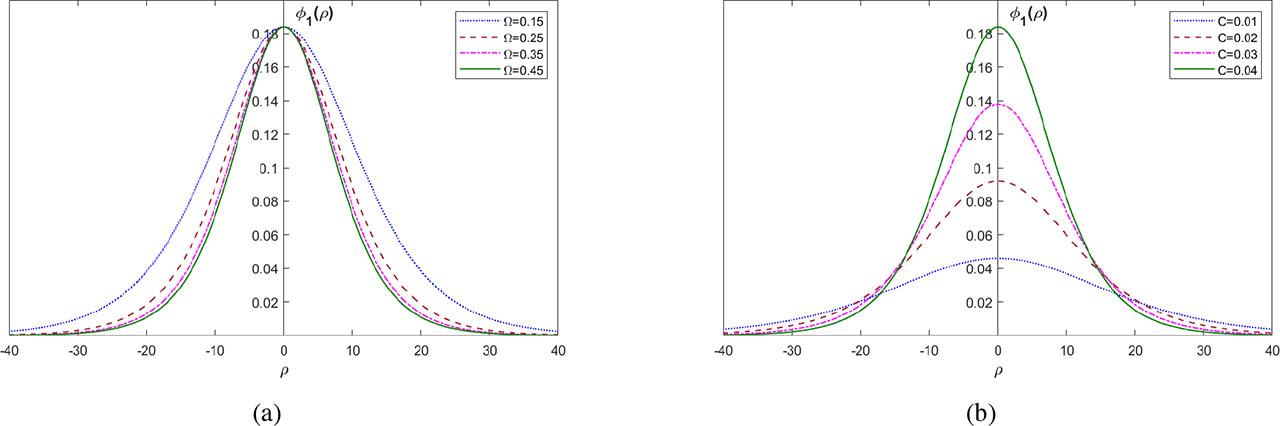
In Figure 8, we plotted the solitary wave potential ϕ1(ρ) versus ρ for four distinct values obliqueness propagating angle θ, and it is seen that both the amplitude and width of the compressive solitary pulses increases as the value of θ increased. For the wave propagates along the external magnetic field B0 (i.e., θ = 0°), the amplitude and width gets smaller and as θ increases, both the amplitude and width increases. That means, we predict that the energy of the propagating dust ion acoustic soliton is directly influenced by the obliqueness propagating angle. Lastly, in Figure 9(a) and Figure 9(b), we depicted ϕ1(ρ) against ρ for four different values of external magnetic field strength B0 through Ω and soliton velocity C respectively and we find that in both the cases the dust ion acoustic solitary wave is compressive. We observed in Figure 9(a) that the width of compressive dust ion acoustic solitary waves reduces with the increase in Ω (i.e., in increase of external magnetic field strength B0), but the amplitude is unchanged by Ω. While in Figure 9(b), we have in an increase of the soliton velocity C, increases the amplitude and decreases the width of the compressive dust ion acoustic solitary waves.

The dust ion acoustic solitary wave potential ϕ1(ρ) versus ρ for different values of θ. Where q = 0.8, σ = 0.1, μ = 0.2, Ω = 0.3 and C = 0.04.

The dust ion acoustic solitary wave potential ϕ1(ρ) versus ρ, (a) for different values of Ω with C = 0.04; (b) for different values of C and Ω = 0.3. Where q = 0.8, σ = 0.1, μ = 0.2 and θ = 10°.
In our plasma model, we reached a conclusion that both the compressive and rarefactive dust ion acoustic soliton occur simultaneously. However, the amplitude of the dust ion acoustic solitary waves becomes infinite at μ = μc, for which the nonlinear term A = 0 and so the dust ion acoustic soliton does not exist in this particular regime. In this context, the KdV equation fails to describe the model. In order to explore dynamics of dust ion acoustic solitary waves in this critical scenario, we consider the higher order nonlinearity and proceed with modified KdV equation in the following section.
To investigate the solitary waves at the critical (number density) region μc, we derive the modified kdV (mKdV) equation for small but finite amplitude dust ion acoustic solitary waves. For this, we use the reductive perturbation method again and introduce a modified stretching of independent variables as
By this approach, we use the following dependent variables in the power series of ε as
Now, on substituting (31) and (32) into the equations (5)–(9) and equating the coefficients of smallest order of ε (i.e., ε2 from (5)–(8) and ε from (9)), we obtain the first order terms which are the same as (15)–(20) given in Section[4.1]. For second order terms of ε, we equate the coefficients of ε3 from (5)–(8) and ε2 from (9) and we obtain
Lastly, for third order terms of ε, we equate the coefficients ε4 from (5) and (8) and ε3 from (9), we get
Now eliminating w3 and n3 from (38)–(40) and using (34)–(37) and then using (15)–(19), we obtain a nonlinear equation in the following type
Where the coefficient A1 is given by
Where
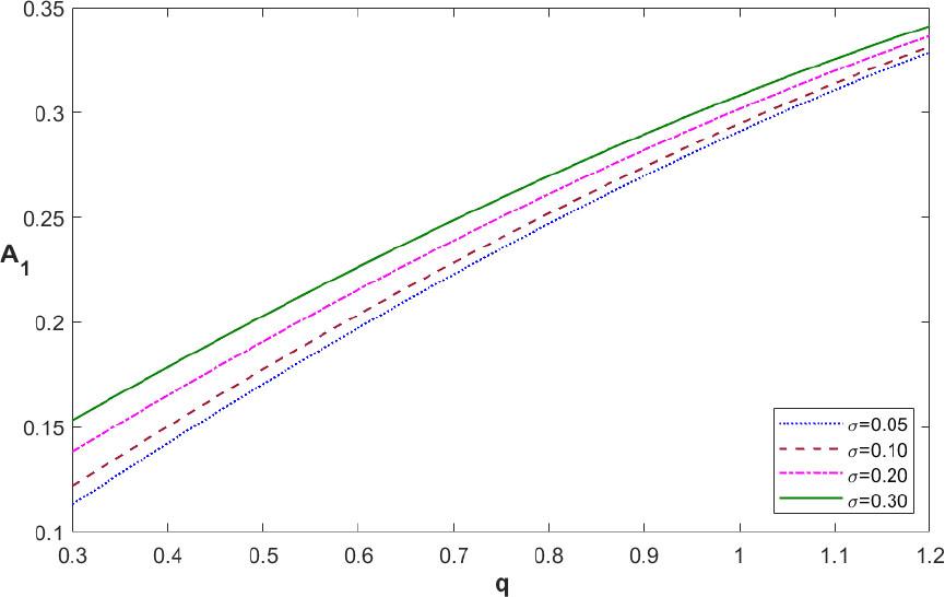
Before examining the dynamical properties of solitons represented by the mKdV equation (43) in the considered plasma model, we first look at the nature of the second order nonlinear term A1 given in equation (42) based on the different plasma parameters. In Figure 10, we showed the variation of A1 versus q at μ = μc for four different values of σ ≠ 0 (from equation (30), μc is undefined when σ = 0), and θ = 10°. And it is seen that A1 acquires positive values and increases with in increase of nonextensive parameter q and ion-to-electron temperature ratio σ respectively at μ = μc. Again, the dispersion term B always takes positive values based on the different plasma parameters as we have discussed before. Therefore, we can say that only compressive dust ion acoustic solitary waves are propagated at the critical region μ = μc in the considered plasma model.

The second order nonlinearity A1 versus q, for different values of σ with θ = 10° and μ = μc.
In Figures 11(a)–11(d), we depicted the solitary wave potential ϕ′ (ρ) given in (44) represented by the mKdV equation (43) versus ρ for distinct values of q, σ, θ and Ω respectively with μ = μc. From Figure 11(a), we have that the amplitude (width) of the compressive modified dust ion acoustic solitary waves is reduces (raises) with increasing values of nonextensive parameter q. In Figure 11(b), it is noticed that the ion-to-electron temperature ratio σ has a minimal role on the pulses of modified compressive dust ion acoustic solitons, still their amplitude is gradually reduces while the width is almost constant as the value of σ gets increased. Finally, from Figure 11(c) and Figure 11(d), the width of the compressive modified dust ion acoustic solitary waves are found to increase and decrease respectively with in increase of the obliqueness propagating angle θ and the external magnetic field strength B0 (through Ω), although in both the cases the amplitude is unchanged.

The modified solitary wave potential ϕ′ (ρ) versus ρ, (a) for different values of q with σ = 0.1, θ = 10° and Ω = 0.3; (b) for different values of σ with q = 0.8, θ = 10° and Ω = 0.3; (c) for different values of θ with q = 0.8, σ = 0.1 and Ω = 0.3, and (d) for different values of Ω with q = 0.8, σ = 0.1 and θ = 10°. in all the panels C = 0.04 and μ = μc.
In this work, we have theoretically studied the formation and nature of small amplitude dust ion acoustic solitary waves in three-component collisonless magnetized plasma containing positively charged inertial ions, negatively charged static dust grains, and inertialess nonthermal electrons which follow the Tsaills q distribution. We have derived the linear dispersion relation by standard procedure, which revels that both slow and fast modes exist in the plasma model and its properties on the various plasma parameters viz Nonextensive parameter (q), Obliqueness propagating angle (θ ), Ion-to-electron temperature ratio (σ), Dust-to-ion number density ratio (μ) and the external magnetic field B0 over (Ω) are explained. We have applied the glorious reductive perturbation method to derive the KdV and mKdV equations that describe the propagation of small amplitude dust ion acoustic solitary waves within our magnetized plasma model. The fluctuation of the first order nonlinearity coefficient A with various plasma parameters (like q, σ, μ, θ, Ω) indicates the existence of two distinct types of solitons, namely compressive and rarefactive. The soliton is compressive or rarefactive accordingly to the value of A, when A > 0, the compressive soliton exists and when A < 0, the rarefactive soliton exists; however the model cannot be adequately described at A = 0. Hence, in this regime, we considered the mKdV equation to describe the plasma model that shows the existence of only compressive solitons in our plasma model. Moreover, we have obtained the solutions ϕ1(ρ) and ϕ′ (ρ) for small amplitude dust ion acoustic solitary waves from the KdV equation and the mKdV equation respectively, and using them as a function of ρ, we have numerically examined the dynamical behavior of propagating dust ion acoustic solitary waves for different plasma parameters such as q, σ, μ, θ and Ω in detailed. Thus, we draw the conclusion that our present theoretical findings should be useful for us to better understand the salient features of coherent nonlinear structures and dynamical nature of small but finite amplitude dust ion acoustic solitons in both astrophysical and space contexts as well as in future laboratory investigations in which the magnetized dusty plasmas with nonextensive particles have existed.
The authors declare that there is not any competing interest regarding the publication of this manuscript.
Not applicable.
M.R.-Conceptualization, Methodology, Formal Analysis, Investigation, Writing-Original Draft. S.N.B.-Supervision, Resources, Writing-Review and Editing, Writing-Original Draft. All authors read and approved the final version of the manuscript.
The authors are grateful to the Department of Mathematics, Gauhati University, Guwahati, for their valuable support while preparing the manuscript.
All data that support the findings of this study are included within the article.
The author affirms that Artificial Intelligence (AI) techniques were not used in creating this content.