Fig. 1

Fig. 2

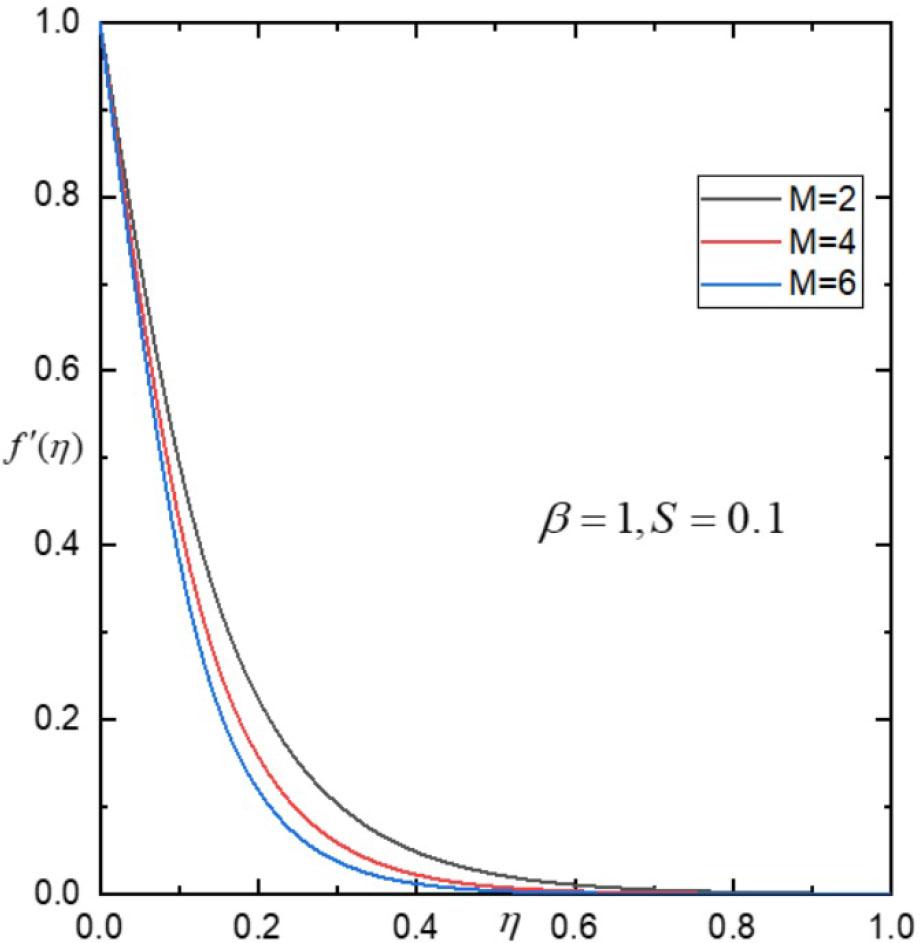
Fig. 3

Fig. 4

Fig. 5

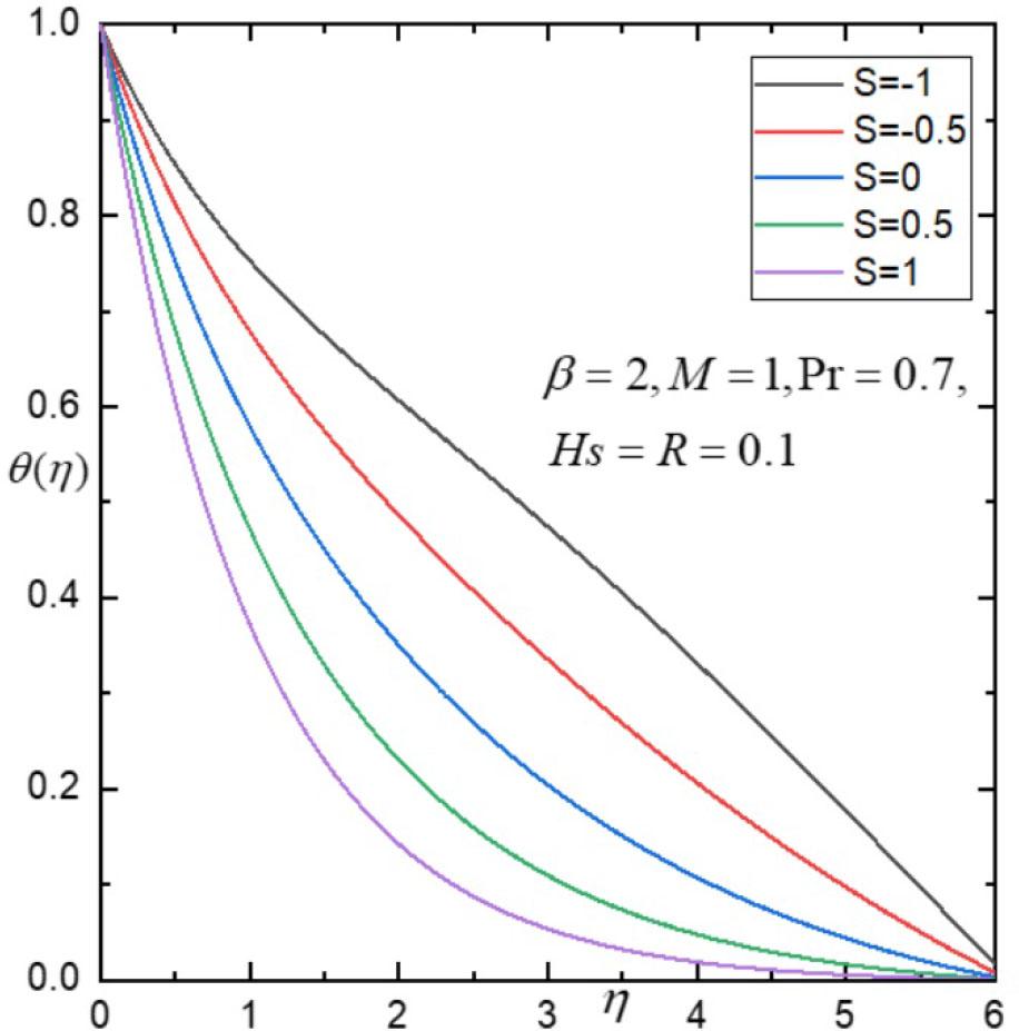
Fig. 6

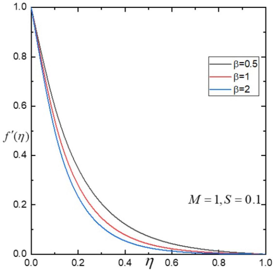
Fig. 7

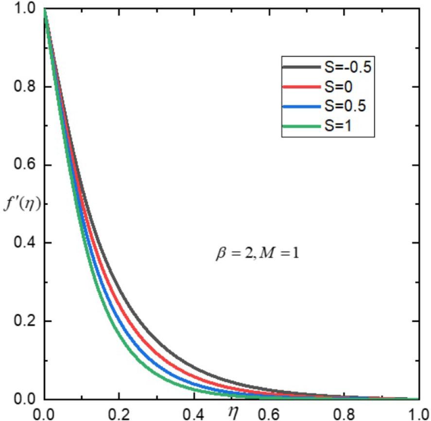
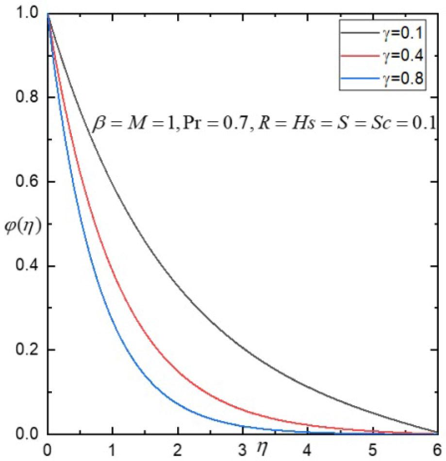
Fig. 8

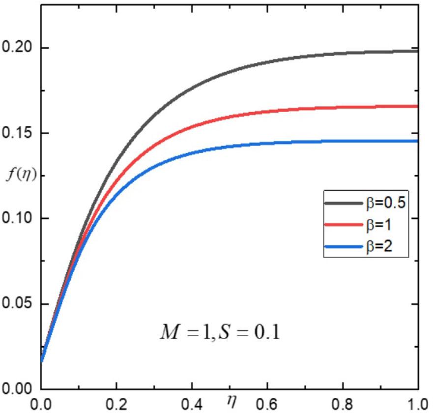
Fig. 9

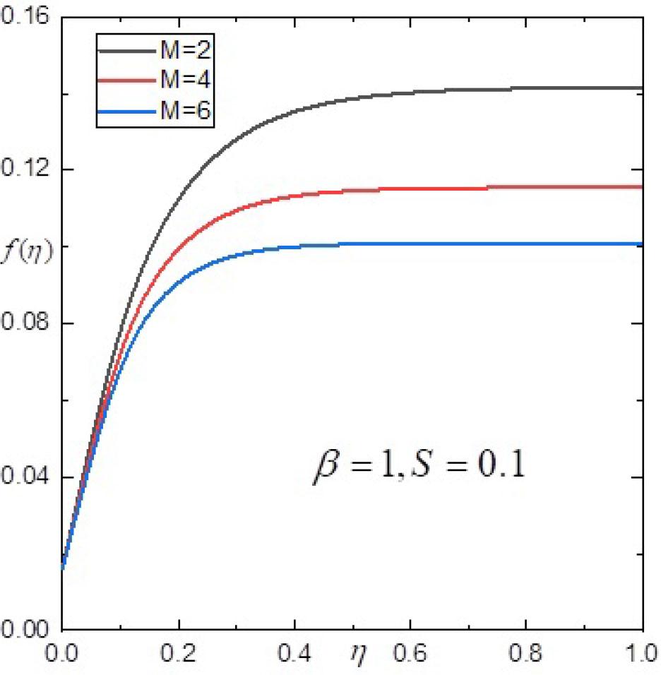
Fig. 10

Fig. 11

Fig. 12

Fig. 13

Fig. 14

Fig. 15

Fig. 16

Comparison of our results with Pramanik [55]_
| Pr | Bidin and Nazar [56] | HWM with S=M=Hs=Sc=γ=0 | Pramanik [55] | Ishak [57] |
|---|---|---|---|---|
| 1 | 0.9547 | 0.9547 | 0.9547 | 0.9548 |
| 2 | 1.4714 | 1.4714 | 1.4714 | 1.4715 |
| 3 | 1.8691 | 1.8691 | 1.8691 | 1.8691 |
| 5 | - | 2.5001 | 2.5001 | 2.5001 |
| 10 | - | 3.6603 | 3.6603 | 3.6604 |
Nomenclature_
| Symbol | Meanings |
|---|---|
| Cp | Specific heat at constant pressure(J/kg°C) |
| B | Magnetic field (Tesla) |
| C | Concentration of the fluid (mol/m3) |
| Cw | Concentration of the wall of the surface (mol/m3) |
| C∞ | Free stream concentration |
| f | Dimensionless stream function |
| Hs | Heat source/sink parameter |
| κT | Coefficient of thermal diffusivity (m2/s) |
| κC | Coefficient of solute diffusivity |
| M | MHD parameter |
| Pr | Prandtl number |
| Q* | Coefficient of heat source (W/m3) |
| R | Radiation parameter |
| S | Suction/blowing parameter |
| Sc | Schmidt number |
| T | Temperature of the fluid (K) |
| Tw | Temperature of the wall of the surface (K) |
| T∞ | Free stream temperature (K) |
| u0 | Reference velocity (m/s) |
| u, v | Velocities in x and y directions (m/s) |
| x, y | Cartesian coordinates (m) |
| Greek Symbols | |
| β | Casson fluid parameter |
| η | Similarity variable |
| γ | Chemical reaction parameter |
| ρ | Density of the fluid (kg/m3) |
| ν | Kinematic viscosity (m2/s) |
| θ | Non dimensional temperature |
| φ | Non dimensional concentration |