Fig. 1

Fig. 2

Fig. 3

Fig. 4

Fig. 5

Fig. 6

Fig. 7

Fig. 8

Comparisons of the values of R(t) for HPM, HCM, LADM and M-VCM for example 1_
| t | R(t) (HPM) | R(t) (HCM for L=5) | R(t) (LADM) | R(t) Morgan-Voyce |
|---|---|---|---|---|
| 0.2 | 10.06108073 | 10.06108073 | 10.06108073 | 10.0610807329 |
| 0.4 | 10.12432405 | 10.12432405 | 10.12432405 | 10.1243240513 |
| 0.6 | 10.18972750 | 10.18972751 | 10.18972750 | 10.1897275117 |
| 0.8 | 10.25728304 | 10.25728317 | 10.25728304 | 10.2572831742 |
| 1.0 | 10.32697698 | 10.32697760 | 10.32697698 | 10.3269776025 |
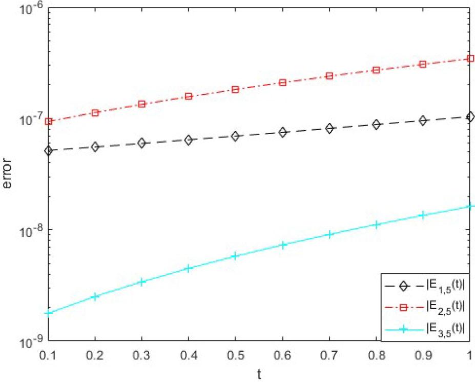
The residual errors for equation (1), ν = 0_02 via M-VCM_
| t | ERS | ERI | ERR |
|---|---|---|---|
| 0.1 | 3.1084×10−7 | 1.0500×10−9 | 2.4970×10−7 |
| 0.2 | 4.0778×10−7 | 2.0300×10−9 | 2.9760×10−7 |
| 0.3 | 5.2230×10−7 | 3.2950×10−9 | 3.5110×10−7 |
| 0.4 | 6.5640×10−7 | 4.0000×10−9 | 4.1066×10−7 |
| 0.5 | 8.1100×10−7 | 6.8300×10−9 | 4.7650×10−7 |
| 0.6 | 9.9065×10−7 | 9.2000×10−9 | 5.4925×10−7 |
| 0.7 | 1.1948×10−7 | 1.2043×10−8 | 6.2904×10−7 |
| 0.8 | 1.4266×10−7 | 1.5405×10−8 | 7.1630×10−7 |
| 0.9 | 1.6880×10−6 | 1.9000×10−8 | 8.1140×10−7 |
| 1 | 1.9819×10−6 | 2.4010×10−8 | 9.1494×10−7 |
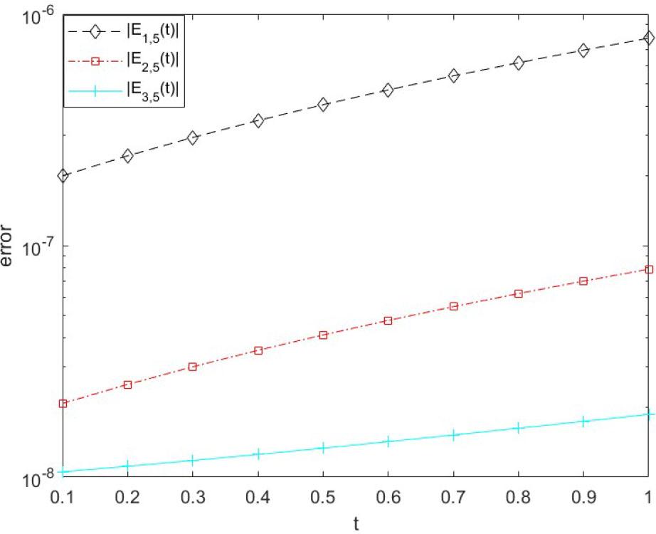
Comparisons of the residual errors ERS for HPM, HCM, LADM and M-VCM for example 1_
| t | ERS (HPM) | ERS (HCM for L=5) | ERS (LADM) | ERS M-VCM |
|---|---|---|---|---|
| 0.2 | 2.2416×10−8 | 1.0080×10−9 | 2.2417×10−8 | 3.8045×10−9 |
| 0.4 | 6.6425×10−7 | 1.0201×10−9 | 6.6427×10−7 | 4.4120×10−9 |
| 0.6 | 4.6388×10−6 | 1.0363×10−9 | 4.6389×10−6 | 5.2320×10−9 |
| 0.8 | 1.7832×10−5 | 1.0566×10−9 | 1.7833×10−5 | 6.3120×10−9 |
| 1.0 | 4.9171×10−5 | 1.9918×10−7 | 4.9172×10−5 | 1.9256×10−7 |
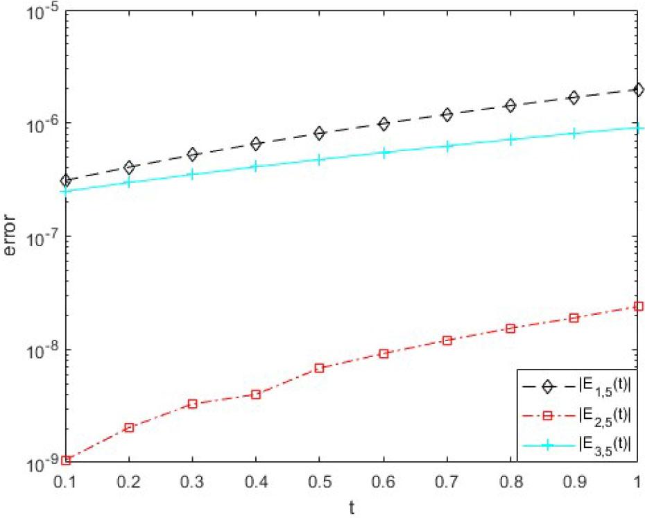
The residual errors for equation (1), ν = 0_005 via M-VCM_
| t | ERS | ERI | ERR |
|---|---|---|---|
| 0.1 | 2.0017×10−7 | 2.0805×10−8 | 1.0544×10−8 |
| 0.2 | 2.4419×10−7 | 2.5143×10−8 | 1.1137×10−8 |
| 0.3 | 2.9299×10−7 | 2.9958×10−8 | 1.1797×10−8 |
| 0.4 | 3.4678×10−7 | 3.5273×10−8 | 1.2529×10−8 |
| 0.5 | 4.0577×10−7 | 4.1114×10−8 | 1.3337×10−8 |
| 0.6 | 4.7020×10−7 | 4.7505×10−8 | 1.4226×10−8 |
| 0.7 | 5.4027×10−7 | 5.4471×10−8 | 1.5200×10−8 |
| 0.8 | 6.1622×10−7 | 6.2036×10−8 | 1.6262×10−8 |
| 0.9 | 6.9824×10−7 | 7.0221×10−8 | 1.7416×10−8 |
| 1 | 7.8657×10−7 | 7.9046×10−8 | 1.8661×10−8 |
Comparisons of the residual errors ERI for HPM, HCM, LADM and M-VCM for example 1_
| t | ERI (HPM) | ERI (HCM for L=5) | ERI (LADM) | ERI M-VCM |
|---|---|---|---|---|
| 0.2 | 2.0373×10−8 | 1.0080×10−9 | 2.0375×10−8 | 8.9114×10−9 |
| 0.4 | 5.9888 ×10−7 | 1.0201×10−9 | 5.9892×10−7 | 9.0230×10−9 |
| 0.6 | 4.1424×10−6 | 1.0363×10−9 | 4.1426×10−6 | 9.0493×10−9 |
| 0.8 | 1.5741×10−5 | 1.0566×10−9 | 1.5741×10−5 | 8.9952×10−9 |
| 1.0 | 4.2787×10−5 | 1.9918×10−7 | 4.2789×10−5 | 4.4706×10−7 |
Comparisons of the residual errors ERR for HPM, HCM, LADM and M-VCM for example 1_
| t | ERR (HPM) | ERR (HCM for L=5) | ERR (LADM) | ERR M-VCM |
|---|---|---|---|---|
| 0.2 | 1.5573×10−9 | 1.7802×10−12 | 1.5573×10−9 | 1.9663×10−9 |
| 0.4 | 7.7657×10−9 | 3.5556×10−12 | 7.7656×10−9 | 2.7950×10−9 |
| 0.6 | 2.0477×10−7 | 5.3304×10−12 | 2.0477×10−7 | 3.7913×10−9 |
| 0.8 | 1.1701×10−6 | 7.1090×10−12 | 1.1701×10−6 | 4.9600×10−9 |
| 1.0 | 4.1334×10−6 | 4.5486 ×10−7 | 4.1334×10−6 | 2.4930×10−7 |
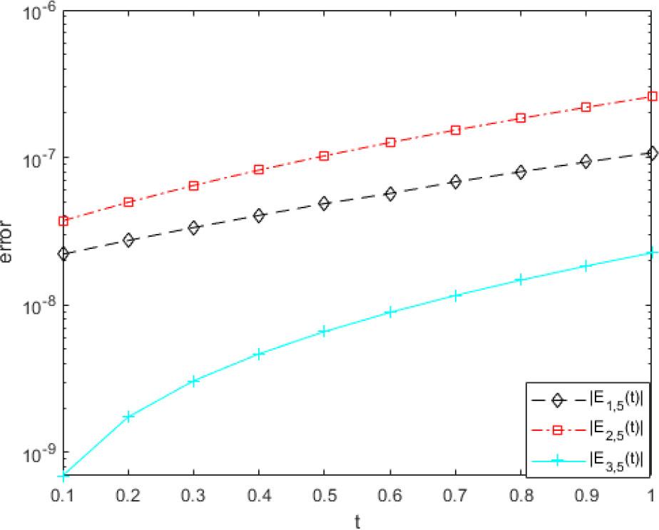
The residual errors for equation (1), ν = 0_01 via M-VCM_
| t | ERS | ERI | ERR |
|---|---|---|---|
| 0.1 | 5.1591×10−8 | 9.3905×10−8 | 1.7736×10−9 |
| 0.2 | 5.5453×10−8 | 1.1294×10−7 | 2.5089×10−9 |
| 0.3 | 5.9708×10−8 | 1.3399×10−7 | 3.4104×10−9 |
| 0.4 | 6.4395×10−8 | 1.5712×10−7 | 4.4980×10−9 |
| 0.5 | 6.9554×10−8 | 1.8243×10−7 | 5.7929×10−9 |
| 0.6 | 7.5227×10−8 | 2.1000×10−7 | 7.3172×10−9 |
| 0.7 | 8.1458×10−8 | 2.3993×10−7 | 9.0941×10−9 |
| 0.8 | 8.8295×10−8 | 2.7229×10−7 | 1.1148×10−8 |
| 0.9 | 9.5794×10−8 | 3.0717×10−7 | 1.3503×10−8 |
| 1 | 1.0402×10−7 | 3.4464×10−7 | 1.6184×10−8 |
The residual errors for equation (1), ν = 0_03 via M-VCM_
| t | ERS | ERI | ERR |
|---|---|---|---|
| 0.1 | 2.2100×10−8 | 3.7200×10−8 | 6.9600×10−10 |
| 0.2 | 2.7380×10−8 | 4.9700×10−8 | 1.7400×10−9 |
| 0.3 | 3.3490×10−8 | 6.4701×10−8 | 3.0619×10−9 |
| 0.4 | 4.0500×10−8 | 8.2200×10−8 | 4.6670×10−9 |
| 0.5 | 4.8700×10−8 | 1.0270×10−7 | 6.6010×10−9 |
| 0.6 | 5.7000×10−8 | 1.2640×10−7 | 8.9000×10−9 |
| 0.7 | 6.8390×10−8 | 1.5347×10−7 | 1.1605×10−8 |
| 0.8 | 8.0117×10−8 | 1.8420×10−7 | 1.4750×10−8 |
| 0.9 | 9.3220×10−8 | 2.1914×10−7 | 1.8380×10−8 |
| 1 | 1.0780×10−7 | 2.5836×10−7 | 2.2531×10−8 |
The residual errors for equation (1), ν = 0_06 via M-VCM_
| t | ERS | ERI | ERR |
|---|---|---|---|
| 0.1 | 8.5647×10−7 | 5.4000×10−8 | 2.0762×10−7 |
| 0.2 | 9.5890×10−7 | 5.3700×10−8 | 2.4940×10−7 |
| 0.3 | 1.0660×10−6 | 5.2000×10−8 | 2.9568×10−7 |
| 0.4 | 1.1792×10−6 | 4.9930×10−8 | 3.4662×10−7 |
| 0.5 | 1.2972×10−6 | 4.6100×10−8 | 4.0240×10−7 |
| 0.6 | 1.4202×10−6 | 4.0964×10−8 | 4.6333×10−7 |
| 0.7 | 1.5484×10−6 | 3.4200×10−8 | 5.2955×10−7 |
| 0.8 | 1.6819×10−6 | 2.5800×10−8 | 6.0120×10−7 |
| 0.9 | 1.8205×10−6 | 1.5672×10−8 | 6.7870×10−7 |
| 1 | 1.9641×10−6 | 3.7710×10−9 | 7.6213×10−7 |
Comparisons of the values of I(t) for HPM, HCM, LADM and M-VCM for example 1_
| t | I(t) (HPM) | I(t) (HCM for L=5) | I(t) (LADM) | I(t) M-VCM |
|---|---|---|---|---|
| 0.2 | 15.54049369 | 15.54049370 | 15.54049369 | 15.5404936937 |
| 0.4 | 16.08106363 | 16.08106367 | 16.08106363 | 16.081063672 |
| 0.6 | 16.62033527 | 16.62033570 | 16.62033527 | 16.6203357015 |
| 0.8 | 17.15693346 | 17.15693567 | 17.15693345 | 17.156935671 |
| 1.0 | 17.68949465 | 17.68950236 | 17.68949464 | 17.6895023739 |
Comparisons of the values of S(t) for HPM, HCM, LADM and M-VCM for example 1_
| t | S(t) (HPM) | S(t) (HCM for L=5) | S(t) (LADM) | S(t) M-VCM |
|---|---|---|---|---|
| 0.2 | 19.39842557 | 19.39842556 | 19.39842557 | 19.3984255735 |
| 0.4 | 18.79461232 | 18.79461227 | 18.79461232 | 18.7946122770 |
| 0.6 | 18.18993727 | 18.18993677 | 18.18993727 | 18.1899367871 |
| 0.8 | 17.58578366 | 17.58578115 | 17.58578366 | 17.5857811555 |
| 1.0 | 16.98352883 | 16.98352001 | 16.98352883 | 16.9835200246 |