Figure 1.

Figure 2.

Figure 3.

Figure 4.

Figure 5.

Figure 6.

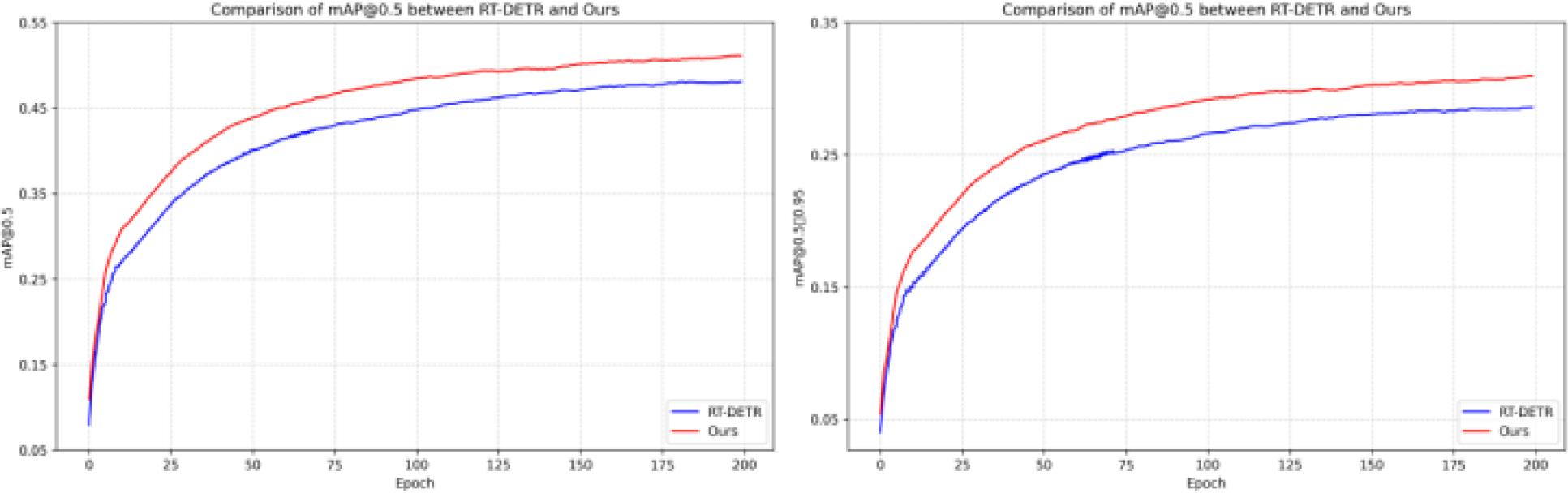
Figure 7.

Figure 8.

Figure 9.

Figure 10.

Figure 11.

EXPERIMENTAL HYPERPARAMETERS
| Hyperparameters | Configurations |
|---|---|
| batch_size | 4 |
| epoch | 200 |
| optimizer | AdamW |
| num_workers | 4 |
| image_size | 640×640 |
The effects of each improvement module
| BasicSCSABlock | CARAFE | MFRC3 | Param/MB | APs/% | APm/% | APl/% | mAP@0.5/% | mAP@0.5:0.95/% | FPS |
|---|---|---|---|---|---|---|---|---|---|
| - | - | - | 19.2 | 19.2 | 39.3 | 54.8 | 48.0 | 28.5 | 81.4 |
| √ | - | - | 18.1 | 19.3 | 39.4 | 54.8 | 48.1 | 28.6 | 80.5 |
| - | √ | - | 18.2 | 19.3 | 39.5 | 57.1 | 48.5 | 28.9 | 70.8 |
| - | - | √ | 34.2 | 20.3 | 42.0 | 56.6 | 50.5 | 30.4 | 49.5 |
| √ | √ | - | 18.2 | 18.9 | 38.9 | 53.2 | 47.6 | 28.3 | 74.7 |
| - | √ | √ | 34.3 | 20.5 | 41.7 | 53.3 | 51.0 | 30.1 | 45.6 |
| √ | - | √ | 27.9 | 21.0 | 42.3 | 52.8 | 50.0 | 29.5 | 63.2 |
| √ | √ | √ | 28.0 | 21.0 | 42.4 | 58.3 | 51.1 | 31.0 | 53.7 |
Comparison with mainstream algorithms
| model | Param/MB | GFLOPs | FPS | mAP@0.5% | mAP@0.5 : 0.95% |
|---|---|---|---|---|---|
| YOLO v5x | 86.2 | 203.8 | 34 | 42.5 | 25.2 |
| YOLO v8n | 3.0 | 8.1 | 119 | 33.5 | 17.8 |
| YOLO v8s | 11.2 | 28.7 | 85 | 37.3 | 21.6 |
| YOLO v10n | 2.69 | 8.2 | 111 | 29.9 | 17.1 |
| YOLO v10s | 8.04 | 24.5 | 143 | 36.4 | 21.4 |
| Defor mable | 40 | 196 | 29 | 42.2 | 27.1 |
| DETR DINO | 47 | 279 | 24 | 46.2 | 29.4 |
| RT-DETR | 19.2 | 30.2 | 81.4 | 48.0 | 28.5 |
| Ours | 28.0 | 56.0 | 53.7 | 51.1 | 31.0 |