Fig. 1

Fig. 2

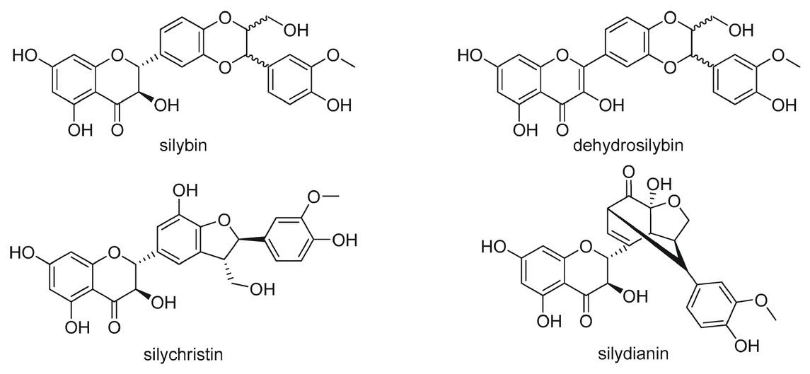
Fig. 3

Fig. 4

Fig. 5

Fig. 6

Fig. 7








© 2021 D. Faixová, G. Hrčková, T. Mačák Kubašková, D. Mudroňová, published by Slovak Academy of Sciences, Institute of Parasitology
This work is licensed under the Creative Commons Attribution-NonCommercial-NoDerivatives 4.0 License.