Fig. 1

Fig. 2

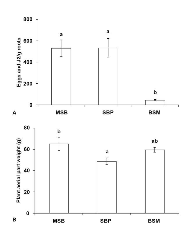
Fig. 3

Effect of soil amendments with formulated M_ sativa biomass, Beta vulgaris pressed pulp and B_ carinata seed meal on the infestation of M_ incognita and growth of potted tomato (cv Regina)_
| Rate (g/kg soil) | Tomato plant weight (g) | Root gall index (0 - 5) | Nematode population (Eggs and J2/) | Reproduction rate (Pf/Pi) | ||||||||
|---|---|---|---|---|---|---|---|---|---|---|---|---|
| aerial part | roots | g root | mL soil | |||||||||
| B. carinata seed meal | ||||||||||||
| 10 | 73.0 ± 1.5* | i** | 37.5 ± 1.2 | f | 2.5 ± 0.3 | cd | 98 ± 5.3 | hi | 2.8 ±0.3 | cd | 0.8 ± 0 | g |
| 20 | 60.5 ± 0.9 | f | 28.0 ± 0.4 | e | 2.0 ± 0 | de | 37 ± 0.6 | ij | 2.0 ± 0.1 | ef | 0.4 ± 0 | h |
| 30 | 52.7 ± 1.1 | de | 27.5 ± 1.0 | de | 1.0 ± 0 | f | 23 ± 0.4 | j | 1.8 ± 0.3 | f | 0.3 ± 0 | h |
| 40 | 50.7 ± 0.8 | cd | 25.3 ± 0.8 | cd | 1.0 ± 0 | f | 19 ± 1.0 | j | 1.0 ± 0 | g | 0.2 ± 0 | h |
| B. vulgaris pressed pulp | ||||||||||||
| 10 | 30.2 ± 0.8 | b | 28.2 ± 0.9 | e | 1.0 ± 0 | f | 906 ± 6.3 | d | 2.8 ± 0.3 | cd | 3.4 ± 0.1 | d |
| 20 | 55.0 ± 1.2 | e | 38.0 ± 0.9 | f | 1.3 ± 0.3 | f | 781 ± 6.5 | e | 2.0 ± 0 | ef | 3.8 ± 0.1 | c |
| 30 | 61.0 ± 0.4 | fg | 45.5 ± 1.0 | h | 1.0 ± 0 | f | 405 ± 3.6 | g | 2.0 ± 0.1 | eg | 2.5 ± 0.1 | f |
| 40 | 47.7 ± 1.5 | c | 19.0 ± 0.9 | b | 1.5 ± 0.3 | ef | 53 ± 2.3 | hij | 1.0 ± 0 | g | 0.3 ± 0 | h |
| M. sativa biomass | ||||||||||||
| 10 | 64.0 ± 2.0 | gh | 29.8 ± 1.0 | e | 2.5 ± 0.3 | cd | 968 ± 28.0 | cd | 3.0 ± 0.2 | cd | 3.9 ± 0.2 | c |
| 20 | 89.7 ± 0.9 | k | 51.8 ± 0.6 | i | 1.5 ± 0.3 | ef | 601 ± 5.6 | f | 2.5 ± 0.3 | de | 4.1 ± 0.2 | c |
| 30 | 83.0 ± 1.1 | j | 52.8 ± 0.6 | i | 1.3 ± 0.3 | f | 436 ± 13.8 | g | 1.0 ± 0 | g | 2.9 ± 0.1 | e |
| 40 | 26.0 ± 0.4 | a | 3.8 ± 0.3 | a | 1.0 ± 0 | f | 114 ± 1.7 | h | 0.8 ± 0.3 | g | 0.2 ± 0 | h |
| Oxamyl | 54.7 ± 1.5 | e | 40.7 ± 1.4 | g | 2.8 ± 0.3 | bc | 1,007 ± 6.6 | bc | 3.2 ± 0.3 | bc | 5.3 ± 0.1 | b |
| Non treated | 47.7 ± 0.6 | c | 24.0 ± 0.4 | c | 4.0 ± 0 | a | 4,710 ± 81.1 | a | 10.2 ± 0.6 | a | 14.9 ± 0.3 | a |
| Non infested | 64.7 ± 1.5 | h | 45.0 ± 0.7 | h | - | - | - | - | - | - | - | - |