Have a personal or library account? Click to login
δ13C and Intrinsic Water Use Efficiency for Trees in Various Health Conditions – Case Study for Świerklaniec Forest District Forest District Cover

δ13C and Intrinsic Water Use Efficiency for Trees in Various Health Conditions – Case Study for Świerklaniec Forest District Forest District

Open Access
|Jan 2024

Figures & Tables

Fig 1.

Location of the sampling site in Świerklaniec and in Poland scale.

Fig 2.

(A) – RWI record for the healthy tree, the declining tree, and the reference trees (B) – δ13C record for the healthy tree, the declining tree, and the reference trees. RWI, ring width index.

Fig 3.

The static correlation function relating δ13C series for A) the healthy tree, B) the declining tree, and C) the reference trees, to temperature and precipitation. The red colour indicates significant correlations (p < 0.05).

Fig 4.

Comparison of the δ13C correlation with SO2 for A) the healthy tree, B) the declining tree, and C) the reference trees.

Fig 5.

iWUE record for the healthy tree, the declining tree, and the reference trees collated with SO2 emissions. iWUE, intrinsic water use efficiency.

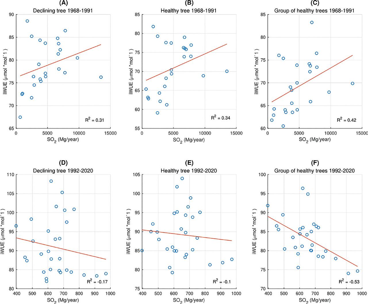
Fig 6.

iWUE and SO2 emission correlation for the healthy tree, the declining tree, and the reference trees, presented in the period of high emission (A–C) – and lower emission (D–F) – of SO2. iWUE, intrinsic water use efficiency.
Language: English
Page range: 125 - 134
Submitted on: Jul 17, 2023
|
Accepted on: Dec 19, 2023
|
Published on: Jan 27, 2024
Published by: Sciendo
In partnership with: Paradigm Publishing Services
Publication frequency: 1 issue per year

© 2024 Barbara Benisiewicz, Sławomira Pawełczyk, Marzena Kłusek, published by Sciendo
This work is licensed under the Creative Commons Attribution-NonCommercial-NoDerivatives 3.0 License.